ISSN 2307–3489 (Print), ІSSN 2307–6666 (Online)

Наука та прогрес транспорту. Вісник Дніпропетровського
національного університету залізничного транспорту, 201
6, 5 (65)



залізнична колія

УДК [625.14-047.58]:629.4.016.5

Д. М. курган1*

1*Каф. «Колія та колійне господарство», Дніпропетровський національний університет залізничного транспорту
імені академіка В. Лазаряна, вул. Лазаряна, 2, Дніпро, Україна, 49010, тел. +38 (056) 373 15 42,
ел. пошта kurhan.d@gmail.com, ORCID 0000-0002-9448-5269

Основи математичного опису

хвильової моделі розповсюдження

напружень в залізничній колії

Мета. В сучасних наукових дослідженнях неодноразово наводились практичні приклади виникнення динамічних ефектів роботи залізничної колії, які виходять за межі статичних розрахункових схем. Особливої актуальності такі питання набувають на ділянках, де швидкість руху поїздів наближається до швидкостей розповсюдження хвиль у шарах підрейкової основи. Адекватним інструментом для вивчення таких питань може бути застосування хвильової теорії розповсюдження напружень. Метою даної роботи є створення математичного опису основних принципів хвильової моделі розповсюдження напружень в залізничній колії, які можуть бути використані як основа для практичних розробок відповідних розрахункових систем. Методика. Модель напружено-деформованого стану залізничної колії на основі хвильової теорії розповсюдження напружень полягає в поєднанні рівнянь геометрії обрису частини простору системи, що залучена до взаємодії на дану мить часу, і рівнянь динамічної рівноваги її деформації. Вирішення задачі базується на використанні законів теорії пружності. Фронт хвилі описується рівняннями еліпсоїда. При визначенні зміни в часі положення поверхні еліпсоїда застосовується векторний підхід. Результати. Рівняння геометрії руху хвилі визначають обсяги речовини шарів підрейкової основи, які беруть участь у взаємодії на дану мить. Визначення динамічної рівноваги деформованого стану простору, обмеженого фронтом хвилі, дає змогу розрахувати як самі напруження й деформації, так і їх зміну за час сприйняття навантаження. Таким чином, у роботі отримані математичні описи процесів, що мають місце при сприйнятті навантаження елементами залізничної колії при високих швидкостях руху. Наукова новизна. Набули подальший розвиток задачі моделювання взаємодії колії та рухомого складу, зокрема, з урахуванням динамічного прогину підрейкової основи. Вперше представлені основи математичного опису хвильової моделі розповсюдження напружень в залізничній колії, які можуть бути використані для виконання практичних розрахунків. Практична значимість. Отримані автором дані можуть бути використані для обґрунтування конструкції колії або встановлення відповідних значень допустимих швидкостей для впровадження руху поїздів із високими швидкостями.

Ключові слова: залізнична колія; взаємодія колії та рухомого складу; хвильова модель; високошвидкісний рух; теорія пружності

Вступ

Збільшення швидкостей руху поїздів є одним із напрямків розвитку залізничного транспорту України [7, 9, 10]. Вирішення таких задач вимагає не тільки відповідних технічних засобів, а й методично-розрахункових. Багато моделей та методик, що використовуються для аналізу напружено-деформованого стану залізничної колії, базуються на допущеннях і гіпотезах адекватних тільки для певних рівнів швидкості руху. Так межі застосовування має припущення щодо тотожності статичного і динамічного прогину колії (гіпотеза Н. П. Петрова), припущення щодо миттєвого залучення до взаємодії всіх шарів підрейкової основи тощо. При достатньо високих швидкостях руху виникають ефекти, для опису яких потрібно враховувати динаміку прогину рейкової колії.

В сучасних наукових дослідженнях неодноразово наводились практичні приклади виникнення динамічних ефектів роботи залізничної колії, які виходять за межі статичних розрахункових схем. Особливо актуальними такі питання є на ділянках, де швидкість руху поїздів наближається до швидкостей розповсюдження хвиль в шарах підрейкової основи.

Так, на ділянці залізниці, що проходить по набережній Стілтон у Великобританії, фіксувалась різка зміна прогинів колії на швидкостях 180 км/год. Пояснення знайшли у наявності під баластом м’яких ґрунтів, а саме торфу та мулистої глини [21].

У Голландії на ділянці між Амстердамом і Утрехтом виконувались тести з вимірювання швидкостей розповсюдження хвиль в ґрунті для можливості проходження французького поїзда TGV зі швидкостями більше 160 км/год на ділянках з насипами, що складалися із слабких ґрунтів [21].

На південно-заході Швеції на ділянці Гетеборг–Мальме швидкість швидкісного поїзда X2000 була обмежена до 160 км/год через хвильові явища в ґрунті [18].

Питання щодо появи запізнювання прогину рейки при високих швидкостях руху порушувалися в роботі австрійських авторів [1], де, окрім теоретичних міркувань, показані результати експериментальних підтверджень відповідних ефектів на дослідних ділянках біля Відня при швидкостях руху більше 230 км/год.

Ті чи інші засоби врахування динаміки прогину залізничної колії зустрічаються при вирішенні різноманітних задач. Як правило, вони носять характер корегування вже існуючих методів розрахунку. Наприклад, в роботі [15] наводиться розгорнутий аналіз розповсюдження напружень в баласті з урахуванням динамічних явищ через коефіцієнти, також роботу баласту досліджено в роботі [13]. В роботах [12, 16] розглянуто використання георешіток для збільшення модуля пружності підрейкової основи і зменшення вібрацій. В роботі [20] запропоновано моделювання розповсюдження хвиль в ґрунті залізничної колії в комп’ютерній системі PLAXIS (finite element method). В роботах [17, 19] розглянуто вібрації в ґрунті та стійкість насипу залежно від профілю земляного полотна. В роботі [11] обґрунтовано розрахункову методику визначення критичних значень хвиль Релея для залізничної колії.

Аналіз вказаних вище та інших досліджень показав, що важливим фактором при вирішенні поставлених питань є динамічна рівновага системи саме для відокремленого простору підрейкової основи, який вступив у взаємодію на дану мить часу. Адекватним інструментом для цього може бути застосування хвильової теорії розповсюдження напружень.

Мета

Метою цієї роботи є створення математичного опису основних принципів хвильової моделі розповсюдження напружень в залізничній колії, який може бути використаний як основа для практичних розробок відповідних розрахункових систем.

Методика

Модель напружено-деформованого стану залізничної колії на основі хвильової теорії розповсюдження напружень полягає в поєднанні рівнянь геометрії обрису частини простору системи, що залучена до взаємодії на дану мить часу, і рівнянь динамічної рівноваги її деформації.

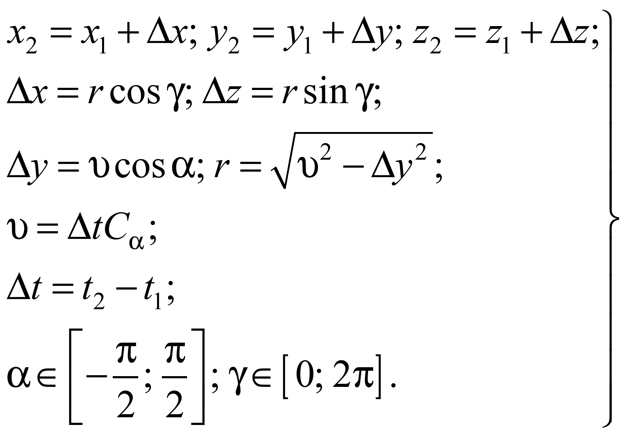
Для отримання первинних загальних положень рівнянь розповсюдження напружень в товщі матеріалу приймемо низку положень: розглядається тривимірний простір у декартовій системі координат; сила до об’єкта прикладається в точці, яка співпадає з початком координат; напрямок дії сили співпадає з віссю «y», а поверхня об’єкта, на якій розташована точка прикладання сили, лежить в площині «xz»; простору, який вступив у взаємодію з силою на мить , відповідає множина точок, обмежена поверхнею – фронт хвилі, яку можна описати рівняннями еліпсоїда, рис. 1.

Рис. 1. Поверхня фронту хвилі
у прийнятій системі координат

Fig. 1. The surface of the wave front
in the adopted coordinate system

Тоді положення точок, які належать поверхні еліпсоїду, будуть підпорядковані рівнянню

(1)

де , – поперечна та поздовжня швидкість розповсюдження хвилі відповідно.

Швидкості розповсюдження хвиль в речовині є параметрами, які залежать від її фізичних характеристик і можуть бути визначені за формулами

, (2)

де – модуль пружності Юнга; – коефіцієнт Пуассона; – щільність речовини.

Геометричне положення точок еліпсоїда будемо знаходити у векторному вигляді, рис. 2. Довжина вектора за напрямком з формули (1) буде визначатися як

(3)

де – швидкість розповсюдження хвилі за напрямком

(4)

Рис. 2. Вектор для визначення геометричного місця точки на поверхні еліпсу

Fig. 2. The vector for determining the point locus
on the surface of the ellipse

Векторний підхід можна застосовувати при визначені положення поверхні еліпсоїда для моменту часу відносно попереднього кроку розрахунку для часу , рис. 3.

Рис. 3. Вектор розширення еліпсоїда на кроці

Fig. 3. Vector of ellipsoid expansion on step

Тоді вектор буде визначати розширення еліпсоїда у заданому напрямку : , а координати кінця вектору будуть підпорядковані виразу

(5)

Для загального випадку, коли точка прикладання і напрямок дії сили може бути вільним, для кожної точки виконується перетворення координат з урахуванням зміщення та повороту системи виміру.

Приклад еліпсоїдної поверхні, побудованої за викладеною методикою, для одного кроку розрахунку показано на рис. 4 (для візуального сприйняття задано великі значення часового та кутових кроків розрахунку).

Рис. 4. Приклад побудови поверхні еліпсоїда

Fig. 4. Example of the ellipsoid surface construction

Визначимо рівняння динамічної рівноваги напруженого стану об’єкту. Для спрощення викладок розглянемо розрахунок напружень в одномірній системі координат – в стержні, як в об’єкті найпростішої форми. Крім того, така форма дає змогу розглядати тільки поздовжнє розповсюдження пружної хвилі, вважаючи, що у тонкому стержні поперечною складовою можна нехтувати. За основу взята методика описана Г. Кольським [5].

На протязі стержня визначимо елемент елементарної довжини , рис. 5.

Рис. 5. Розрахунковий елемент по довжині стержня

Fig. 5. Calculable element at grip length

Вирішення задачі базується на використанні законів теорії пружності [8]. На стінку елемента діють рівномірно розподілені напруження . Стінка має площу . Тоді напруження, які виникнуть на протилежній стінці елемента при проходженні по ньому пружній хвилі

. (6)

де – зміна напружень по довжині елементу.

Відповідно до другого закону Ньютона, виразивши масу через об’єм і щільність, можна записати рівняння

. (7)

де – абсолютна деформація елемента.

Після вилучення із сторін рівняння однакових величин формула (7) прийме вид

. (8)

Напруження можна виразити через модуль пружності

. (9)

де – відносна деформація елемента.

Підставивши формулу (9) до формули (8), отримаємо рівняння розповсюдження хвиль повздовж стержня

. (10)

Таким чином, формули (1−5) дають геометрію розповсюдження хвилі напружень, яка відокремлює простір, що приймає участь у взаємодії з прикладеною силою, а формули (6−10) встановлюють динамічну рівновагу даного процесу.

Результати

Для розрахунків напружень в тілі вільного обрису розглянемо рух хвилі с кроком . На кожному кроці будемо мати еліпсоїдну поверхню – фронт хвилі відповідно до поздовжньої і поперечної швидкостей руху з урахуванням геометричної форми об’єкта

, (11)

де – множина точок, які належать даному об’єкту.

Порушення умови (11) при розв’язанні рівнянь (5) буде показувати перехід хвилі до наступного об’єкту (або вихід у повітря), що буде потребувати зміни характеристик розповсюдження у відповідності до фізичних властивостей нового об’єкту.

Будемо поділяти об’єкт на сегменти обмежені еліпсоїдними поверхнями суміжних кроків руху хвилі. Перехід від одної еліпсоїдної поверхні до наступної відбувається через множину векторів.

Розглянемо -й сегмент, обмежений двома сферичними поверхнями, рис. 6. Введемо низку позначень: , – напруження, що діють на попередню і наступну стінку сегменту; і –площа попередньої і наступної стінки сегменту відповідно; – амплітуда коливань часток речовину об’єкту в межах сегменту; – маса сегменту, визначається виходячи з об’єму, обмеженого сферами, і щільності речовини; – відстань між стінками сегменту по осі дії сили.

Рис. 6. Поділення об’єкту на сегменти,
як простори між суміжними обрисами фронтів хвилі

Fig. 6. Object segmenting as the spaces
between adjacent outlines of the wave fronts

Такі показники як маса, площі, відстані визначаються виходячи з геометрії розповсюдження хвиль, тому будемо вважати їх відомими. Тоді аналогічно до формули (7)

. (12)

Ця формула показує, що різниця потенціалів напружень на суміжних стінках сегменту урівноважується коливаннями маси часток речовини з прискоренням.

Напруження, що входять у формулу (12) не є постійними по всій площі стінки (на відміну від стержня на рис. 5), а тому потрібно визначити закон розподілу напружень по поверхні еліпсоїда. В різних секторах еліпсоїда будуть виникати різні напруження. Під напруженнями будемо мати на увазі такі, що діють за напрямком по горизонтальній площадці,
рис. 7. Поодиноким випадком є напруження , напрямок яких співпадає з напрямком дії прикладеного навантаження.

Рис. 7. Напруження, які діють за напрямком
по горизонтальній площадці

Fig. 7. Stresses acting in the direction
on the horizontal platform

Для подальших дій потрібно мати функцію приведення напружень для будь-якого місця сегменту до напружень, які співпадають з напрямком дії сили (), рис. 8.

Рис. 8. Визначення функції розподілу напружень
по обрису еліпсоїда

Fig. 8. Determination of the stress distribution function on the ellipsoid outlines

Виходячи з положень вирішення задачі Буссинеску [8] , відповідно до рис. 8 можна записати

. (13)

де – допоміжний коефіцієнт пропорційності.

Поєднавши вирази (13), можна отримати залежність

, (14)

яка (при постійних значеннях швидкостей розповсюдження) не залежить від параметра часу.

Виразимо швидкість за одним напрямком через іншу

. (15)

Тоді, виходячи з (2)

. (16)

В остаточному вигляді формулу (14) можна записати у вигляді

, (17)

де

. (18)

Таким чином, функцію розподілу напружень по поверхні еліпсу отримано у вигляді рівняння (17), а її чисельні значення залежать тільки від виду речовини (через коефіцієнт Пуассона).

Визначаючи напруження, крім їх значень, необхідно чітко вказувати напрямок дії і положення площадки (для напружень в точці –умовної), по якій вони діють. Для більшості задач напружено-деформованого стану залізничної колії, коли йде мова про напруження на якійсь глибині, маються на увазі нормальні напруження, що діють по горизонтальній площадці. Тому для подальших обчислень необхідно навести співвідношення між різними видами напружень.

При виконанні практичних розрахунків простір кожного сегменту буде поділено на окремі елементи відповідно до кутових кроків (див. вираз (5)). Кожен елемент буде визначатися як простір, обмежений чотирма суміжними векторами. За геометрією векторів визначаються такі параметри елементу як кут нахилу, площа стінки, на яку діють напруження, об’єм тощо.

Розглянемо напруження, що діють в елементі сегменту на умовній площадці, перпендикулярній до напрямку , рис. 9.

Рис. 9. Напруження, які діють за напрямком
по різним площадкам

Fig. 9. Stresses acting in the direction
on different platforms

Виходячи із збереження потенціалу дії напружень

, (19)

де , , – напруження і площини, показані на рис. 9.

Тоді, враховуючи, що , маємо

, (20)

Розташування елементів в сегменті відбувається по обрису двовісного еліпсу, тому, на відміну від розташування по колу (див. рис. 8), площадка , розташована під кутом до площадки не є перпендикулярною до напрямку . Потрібна для розрахунків площадка, яка б була перпендикулярна до напрямку , буде повернута відносно горизонтального положення на кут , рис. 10.

Рис. 10. Співвідношення потенціалів в елементі
на площадках різного розташування

Fig. 10. Potential correlation in the element
on the platforms of different locations

Співвідношення між площами площадок
(з рис. 10)

. (21)

Використовуючи наведені співвідношення і формулу (17) можна записати

, (22)

де – повні напруження за напрямком , які діють на стінку, повернуту на кут відносно горизонтального положення. Саме потенціал цих напружень у вигляді проекції на вертикальну вісь можна розглядати як реакцію, що урівноважує дію прикладеною сили.

Тоді загальний потенціал по еліпсоїдній поверхні, що входить до формули (12), можна записати у вигляді

, (23)

Динамічну рівновагу простору, який деформується між суміжними обрисами фронтів хвилі, описує рівняння (12). Потенціал по поверхні сегменту буде визначатися як сума потенціалів по кожному елементу, направлених на компенсацію дії прикладеною сили, рис. 11.

Рис. 11. Дія напружень на окремий сегмент сферичного елементу

Fig. 11. Effects of stress on separate segment
of the spherical element

Тоді поєднання формул (12) і (23) дає основне рівняння динамічної рівноваги сегменту

, (24)

де – врахування дисипації речовини, в даному випадку цей параметр унеможливлює виникнення швидких деформацій (течі речовини).

Для об’єкта в цілому складається система з рівнянь (24), кількість рівнянь буде відповідати кількості сегментів, на які поділяється об’єкт. З кожним кроком додається ще одна поверхня і одне рівняння.

Результатом розв’язання такої системи рівнянь будуть значення напружень для кожного сегменту об’єкту (системи об’єктів) на розрахункову мить часу. Це дає можливість, використовуючи встановлені вище залежності, визначити необхідні характеристики напружено-деформованого стану.

Вертикальні (нормальні) напруження, що діють по горизонтальній площадці (див. рис. 7)

, (25)

Вертикальна абсолютна деформація

, (26)

де – висота сегменту за напрямком (див. рис. 11).

Наведена методика описує коливання стискання-розтягування і призначена для опису роботи об’єктів підрейкової основи (шпали, баласт, земляне полотно тощо). Рейка має незначні розміри поперечного перетину у порівнянні з довжиною і опирається на основу, що має суттєво меншу жорсткість у порівнянні з її власною. Такий випадок більш адекватно будуть описувати повздовжні коливання вигину балки.

За основу візьмемо методику опису коливань балки при проходженні повздовжньої хвилі [5].

Розрахункова сема показана на рис. 12 для елементу балки довжиною . Балка вигинається під дією згинаючого моменту , який змінюється по її довжині. Згинаючий момент повинен урівноважуватися поперечною силою , яка теж змінюється по довжині балки.

Рівняння руху балки по осі «y» буде мати вигляд

, (27)

де – площа поперечного перетину; – переміщення.

Рис. 12. Розрахункова схема вигину елементу балки

Fig. 12. Calculation scheme of beam element bending

Приймемо умову, що

, (28)

Тоді рівняння рівноваги моментів відносно середини елементу балки буде мати вигляд

, (29)

після скорочень

, (30)

Приймемо наступні умови

, (31)

де – радіус кривизни нейтральної осі (класично балка представлена як сукупність паралельних волокон, вище за нейтральну вісь вони розтягуються, а нижче – стискаються); – жорсткість балки.

Перетворимо (28), використовуючи (31)

, (32)

Виходячи з (27) і (32),

, (33)


Якщо врахувати, що балка знаходиться у просторі, який має модуль пружності (рейка спирається на пружну основу) [3], рівняння (32) прийме вигляд

. (34)

Рішення цього диференційного рівняння будемо шукати у вигляді

. (35)

Тоді функції і повинні задовольняти умовам

. (36)

Функція відображає статичний прогин балки по довжині і її рішення для рейки відомо [2, 4]

, (37)

де – коефіцієнт відносної жорсткості;

, (38)

Тоді, виходячи з (36),

(39)

Коефіцієнти і можуть бути визначені виходячи з граничних умов, які, у тому числі, повинні враховувати дисперсію коливань по довжині балки [5]. Для практичних розрахунків розв’язання рівняння (35) будемо шукати із умови взаємного прогину рейки (), яка опирається на опори, і прогину підрейкової основи в місцях опор () від сил, що передаються на ці опори від рейки ()

. (40)

Прогин підрейкової основи визначається як сума деформацій сегментів всіх шарів за відповідними координатами, визначені за розв’я-занням системи рівнянь (24).

Отримані рівняння і залежності було покладено в основу при створенні комп’ютерної програми для розрахунків за хвильовою моделлю розповсюдження напружень в залізничній колії, яка була використана для вирішення низки задач [6, 14].

Наукова новизна та практична
значимість

Набули подальший розвиток задачі моделювання взаємодії колії і рухомого складу, зокрема з урахуванням динамічного прогину підрейкової основи.

Вперше представлені основи математичного опису хвильової моделі розповсюдження напружень в залізничній колії, які можуть бути використані для виконання практичних розрахунків.

Запропоновані теоретичні обґрунтування процесів, що мають місце при сприйнятті навантаження елементами залізничної колії при високих швидкостях руху.

Отриманні дані можуть бути використані для обґрунтування конструкції колії або встановлення відповідних значень допустимих швидкостей для впровадження руху з високими швидкостями.

Висновки

При високих швидкостях руху, які наближаються до швидкостей розповсюдження хвиль в шарах підрейкової основи, виникають динамічні ефекти, які не можуть бути описані існуючими розрахунковими методами основаними на ототожнені динамічного і статичного прогину.

Для моделювання динаміки роботи рейкової колії важливим фактором є врахування обсягів речовини шарів підрейкової основи, які беруть участь у взаємодії на дану мить. Адекватним інструментом для вирішення цієї задачі є представлення процесу розповсюдження напружень як рух хвиль.

Тоді поєднанні рівнянь геометрії обрису частини простору системи, що залучена до взаємодії на дану мить часу, і рівнянь динамічної рівноваги її деформації дає змогу створення моделі напружено-деформованого стану залізничної колії на основі хвильової теорії розповсюдження напружень.

СПИСОК використаних джерел

  1. Брандль, Х. Взаимодействие оснований и сооружений высокоскоростных железных дорог / Х. Брандль, А. Паульмичл // Развитие городов и геотехн. стр-во. – 2007. – № 11. –
    С. 157–164.

  2. Даніленко, Е. І. Залізнична колія / Е. І. Да-ніленко : підруч. для ВНЗ. – Київ : Інпрес, 2010. – Т. 2. – 456 с.

  3. Даніленко, Е. І. Новітні дослідження бічної пружності рейкових ниток при спільній дії вертикальних і горизонтальних сил / Е. І. Даніленко // Наука та прогрес транспорту. – 2015. – № 6 (60). – С. 65–77. doi : 10.15802/stp2015/57021.

  4. Даніленко, Е. І. Правила розрахунків залізничної колії на міцність і стійкість : ЦП-0117 / Е. І. Даніленко, В. В. Рибкін. – Киів : Транспорт України, 2004. – 64 с.

  5. Кольский, Г. Волны напряжения в твердых телах / Г. Кольский. – Москва : Иностр. лит., 1955. – 192 с.

  6. Курган, Д. Моделирование взаимодействия пути и подвижного состава с учетом времени прогиба подрельсового основания / Д. Курган // Проектирование развития региональной сети железных дорог : сб. науч. тр. / Дальневост. гос. ун-т путей сообщ. – Хабаровск, 2015. – Вып. 3. – С. 167–175.

  7. Курган, Н. Б. Предпосылки создания высокоскоростных магистралей в Украине / Н. Б. Курган // Укр. залізниці. – 2015. – № 5–6. – С. 16–21.

  8. Ландау, Л. Д. Теоретическая физика. Т. VII. Теория упругости / Л. Д. Ландау, Е. М. Лифшиц. – Москва : Наука, 1987. – 248 с.

  9. Транспортна стратегія України на період до 2020 року [Електронний ресурс] : схвалено розпорядж. Кабінету Міністрів України від 20 жовт. 2010 р. № 2174-р. – Режим доступу: http://zakon1.rada.gov.-ua/laws/show/2174-2010-%D1%80. – Назва з екрана. – Перевірено : 15.09.2016.

  10. Угода про асоціацію між Україною, з однієї сторони, та Європейським Союзом, європейським співтовариством з атомної енергії і їхніми державами-членами, з іншої сторони [Електронний ресурс]. – Режим доступу: http://www.km-u.gov.ua/kmu/docs/EA/00_Ukraine-EU_Association_Agreement_%28body%29.pdf. – Назва з екрана. – Перевірено : 15.09.2016.

  11. Connolly, D. P. Use of Conventional Site Investigation Parameters to Calculate Critical Velocity of Trains from Rayleigh Waves / D. P. Connolly, M. C. Forde // Transportation Research Record: J. of the Transportation Research Board. – 2015. – Vol. 2476. – P. 32–36. doi: 10.3141/2476-05.

  12. Fischer, S. Investigation of inner shear resistance of geogrids built under granular protection layers and railway ballast / S. Fischer // Наука та прогрес транспорту. – 2015. – 5 (59). – P. 97106. doi:10.15802/stp20-15/53169

  13. Fisher, Sz. A vasúti zúzottkövek aprózódásvizsgálata egyedi laboratóriumi módszerrel / Sz. Fisher // Sínek Világa. – 2015. – № 57 (3). – P. 12–19.

  14. Kurhan, D. M. Features of perception of loading elements of the railway track at high speeds of the movement / D. M. Kurhan // Наука та прогрес транспорту. – 2015. – № 2 (56). – P. 136145. doi: 10.15802/stp20-15/42172.

  15. Mosayebi, S. Some Aspects of Support Stiffness Effects on Dynamic Ballasted Railway Tracks / S. Mosayebi, J. Zakeri, M. Esmaeili // Periodica  Polytechnica Civil Engineering. – 2016. – Vol. 3 (60). – P. 427–436. doi: 10.3311/PPci.7933.

  16. Oliver, T. Mechanical Stabilization of Unbound Layers to Increase Pavement Performance and Incorporation of Benefits into M-E analysis / T. Oliver, M. Wayne, J. Kwon // Procedia Engineering. – 2016. – Vol. 143. – P. 896–910. doi : 10.1016/j.proeng.2016.-06.153.

  17. Petrenko, V. Simulation of subgrade embankment on weak base / V. Petrenko, I. Sviatko // Наука та прогрес транспорту. – 2015. – № 4 (58). – P. 198–204. doi:10.15802/stp2015/49286.

  18. Rail movement and ground waves caused by high-speed trains approaching track-soil critical velocities / V. V. Krylov, A. R. Dawson, M. E. Heelis, A. C. Collop // Proc. of The Institution of Mechanical Eng. Part F: J. of Rail and Rapid Transit. – 2000. – Vol. 214. – Iss. 2. – P. 107–116. doi: 10.1243/095440-9001531379.

  19. Railway cuttings and embankments: Experimental and numerical studies of ground vibration / G. Kouroussis, D. P. Connolly,
    B. Olivier [et al.] // Science of the Total Environment. – 2016. – Vol. 557–558. – P. 110–122. 10.1016/j.scitotenv.20-16.03.016.

  20. Study of ground vibrations induced by railway traffic in a 3D FEM model formulated in the time domain: experimental validation / J. F. Ruiz, P. A. Costa, R. Calçada [et al.] // Structure and Infrastructure Engineering. – 2016. – P. 1–13. doi: 10.1080/15732479.2016.11-72649.

  21. Woldringh, R. F. Embankment design for high speed trains on soft soils / R. F. Woldringh, B. M. New // Proc. of the 12th Europ. Conf. on Soil Mechanics and Geotechnical Engineering (7.06–10.06.1999). – Amsterdam, The Netherlands, 1999. – Vol. 3. – P. 1703–1712.

Д. Н. курган1*

1*Каф. «Путь и путевое хозяйство», Днепропетровский национальный университет железнодорожного транспорта
имени академика В. Лазаряна, ул. Лазаряна, 2, Днипро, Украина, 49010, тел. +38 (056) 373 15 42,
эл. почта kurhan.d@gmail.com, ORCID 0000-0002-9448-5269

Основы математического описания

волновой модели РАСПРОСТРАНЕНИЯ

напряжений в железнодорожном пути

Цель. В современных научных исследованиях неоднократно приводились практические примеры проявления динамических эффектов работы железнодорожного пути, которые выходят за границы статических расчетных схем. Особенно актуальны такие вопросы для участков, где скорость движения поездов приближается к скоростям распространения волн в слоях подрельсового основания. Адекватным инструментом для изучения таких вопросов может быть использование волновой теории распространения напряжений. Цель данной работы – создание математического описания основных принципов волновой модели распространения напряжений в железнодорожном пути, которые могут быть использованы как основа для практических разработок соответствующих расчетных систем. Методика. Модель напряженно-деформированного состояний железнодорожного пути на основе волновой теории распространения напряжений заключается в объединении уравнений геометрии очертания части пространства системы, задействованной во взаимодействии на данный момент времени, и уравнений динамического равновесия ее деформации. Решение задачи основывается на использовании законов теории упругости. Фронт волны описывается уравнениями эллипсоида. При определении изменения во времени положения поверхности эллипсоида используется векторный подход. Результаты. Уравнения геометрии движения волны определяют объемы материала слоев подрельсового основания, участвующих во взаимодействии на данный момент времени. Определение динамического равновесия деформированного состояния пространства, ограниченного фронтом волны, дает возможность рассчитать как сами напряжения и деформации, так и их изменения за время восприятия нагрузки. Таким образом, в работе получены математические описания процессов, которые возникают при восприятии нагрузки элементами железнодорожного пути при высоких скоростях движения. Научная новизна. Получили дальнейшее развитие задачи моделирования взаимодействия пути и подвижного состава, в частности, с учетом динамического прогиба подрельсового основания. Впервые представлены основы математического описания волновой модели распространения напряжений в железнодорожном пути, которые могут быть использованы для выполнения практических расчетов. Практическая значимость. Полученные автором данные могут быть использованы для обоснования конструкции пути или установления соответствующих значений допустимых скоростей для внедрения движения поездов с высокими скоростями.

Ключевые слова: железнодорожный путь; взаимодействие пути и подвижного состава; волновая модель; высокоскоростное движение; теория упругости

D. M. KURHAN1*

1*Dep. «Track and Track Facilities», Dnipropetrovsk National University of Railway Transport named
after Academician V. Lazaryan, Lazaryan St., 2, Dnipro, Ukraine, 49010, tel. +38 (056) 373 15 42,
e-mail kurhan.d@gmail.com, ORCID 0000-0002-9448-5269

The basis of mathematical description

for wave model OF stresses propagation

in railway track

Purpose. Modern scientific research has repeatedly cited practical examples of the dynamic effects of railway track operation that go beyond the static calculation schemes. For the track sections where the train speed is approaching to the velocity of wave propagation in the slab track layers such issues are of particular relevance. An adequate tool for the study of such issues can be the use of the wave theory of stress propagation. The purpose of the article is the creation of a mathematical description of the basic principles of the stress propagation wave model in the railway track, which can be used as a basis for the practical development of the relevant calculation system. Methodology. The model of stress-strain states of the railway track on the basis of the stress wave propagation theory is to bring together the equations of the geometry of the outline of the space systems that is involved in the interaction at a given time, and the dynamic equilibrium equations of deformation. The solution is based on the use of the laws of the theory of elasticity. The wave front is described by an ellipsoid equation. When determining the variation in time of the surface position of the ellipsoid a vector approach is used. Findings. The geometry equations of the wave motion determine the volumes of material layers of the slab track involved in the interaction at a given time. The dynamic equilibrium determination of the deformed condition of the space bounded by the wave front makes it possible to calculate both the stresses and strains, and their changes during the time of the load perception. Thus, mathematical descriptions of the processes that occur in the perception of the load by the elements of railway track at high speeds were obtained. Originality. The simulation tasks of the track and rolling stock interaction, in particular taking into account the dynamic deflection of slab track were further developed. For the first time the article presents the basics of the mathematical description of the wave stress propagation model in the railroad track, which can be used to perform practical calculations. Practical value. The obtained data can be used to justify the track construction or establishing appropriate values of permissible speeds for the introduction of train motion with high speeds.

Keywords: railway track; track and rolling stock interaction; wave model; high-speed movement; theory of elasticity

REFEReNCEs

  1. Brandl Kh., Paulmichl A. Vzaimodeystviye osnovaniy i sooruzheniy vysokoskorostnykh zheleznykh dorog. [The interaction of the grounds and structures of high-speed railways]. Razvitiye gorodov i geotekhnicheskoye stroitelsttvo – Urban Development and Geotechnical Construction, 2007, no. 11, pp. 157164.

  2. Danilenko E.I. Zaliznychna koliia. Tom 2 [Railway track. Vol. 2.]. Kyiv, Inpres Publ., 2010. 456 p.

  3. Danilenko E.I. Novitni doslidzhennia bichnoi pruzhnosti reikovykh nytok pry spilnii dii vertykalnykh i horyzontalnykh syl [Recent research of the lateral flexibility of rail threads under combined action of vertical and horizontal forces]. Nauka ta prohres transportu – Science and Transport Progress, 2015, no. 6 (60), pp. 65-77. doi: 10.15802/stp2015/57021.

  4. Danilenko E.I., Rybkin V.V. Pravyla rozrakhunkiv zaliznychnoi kolii na mitsnist i stiikist: TsP-0117 [The computation rules of the railway track for strength and stability: TsP-0117]. Kyiv, Transport Ukrainy Publ., 2004. 64 p.

  5. Kolskiy G. Volny napryazheniya v tverdykh telakh [Stress waves in solids]. Moscow, Inostrannaya literatura Publ., 1955. 192 p.

  6. Kurhan D. Modelirovaniye vzaimodeystviya puti i podvizhnogo sostava s uchetom vremeni progiba podrelsovogo osnovaniya [Modeling the interaction of railway track and rolling stock including the time for deflection of the slab track]. Proyektirovaniye razvitiya regionalnoy seti zheleznykh dorog [Design of development of the regional railway network], 2015, issue 3, pp. 167-175.

  7. Kurhan N.B. Predposylki sozdaniya vysokoskorostnykh magistraley v Ukraine [Background of the high-speed railways in Ukraine]. Ukrainski zaliznytsi – Ukrainian Railways, 2015, no 5-6, pp. 16-21.

  8. Landau L.D., Lifshits L.D. Teoreticheskaya fizika. T. VII. Teoriya uprugosti [Theoretical physics. Vol. VII. Elastic theory]. Moscow, Nauka Publ., 1987. 248 p.

  9. Transportna stratehiia Ukrainy na period do 2020 roku (The transport strategy of Ukraine for the period till 2020 year). Available at: http://zakon1.rada.gov.ua/laws/show/2174-2010-%D1%80 (Accessed 15 September 2016).

  10. Uhoda pro asotsiatsiiu mizh Ukrainoiu, z odniiei storony, ta Yevropeiskym Soiuzom, yevropeiskym spivtovarystvom z atomnoi enerhii i yikhnimy derzhavamy-chlenamy, z inshoi storony (The Association agreement between Ukraine, on the one hand, and the European Union, the European atomic energy community and their member States, on the other hand). Available at: http://www.kmu.gov.ua/kmu/docs/EA/00_Ukraine-EU_Association_Agreement_%28body%29.pdf (Accessed 15 September 2016).

  11. Connolly D.P., Forde M.C. Use of Conventional Site Investigation Parameters to Calculate Critical Velocity of Trains from Rayleigh Waves. Transportation Research Record: Journal of the Transportation Research Board, 2015, no. 2476, pp. 32-36. doi: 10.3141/2476-05.

  12. Fischer S. Investigation of inner shear resistance of geogrids built under granular protection layers and railway ballast. Nauka ta prohres transportu – Science and Transport Progress, 2015, no. 5 (59), pp. 97-106. doi: 10.15802/stp2015/53169.

  13. Fisher Sz. A vasúti zúzottkövek aprózódásvizsgálata egyedi laboratóriumi módszerrel. Sínek Világa, 2015, no. 57 (3), pp. 12-19.

  14. Kurhan D.M. Features of perception of loading elements of the railway track at high speeds of the movement. Nauka ta prohres transportu – Science and Transport Progress, 2015, no. 2 (56), pp. 136-145. doi: 10.15802/stp2015/42172.

  15. Mosayebi S., Zakeri J., Esmaeili M. Some Aspects of Support Stiffness Effects on Dynamic Ballasted Railway Tracks. Periodica Polytechnica Civil Engineering, 2016, vol. (60) 3, pp. 427-436. doi: 10.3311/PPci.7933.

  16. Oliver T., Wayne M., Kwon J. Mechanical Stabilization of Unbound Layers to Increase Pavement Performance and Incorporation of Benefits into ME analysis. Procedia Engineering, 2016, vol. 143, pp. 896-910. doi : 10.1016/j.proeng.2016.-06.153.

  17. Petrenko V., Sviatko I. Simulation of subgrade embankment on weak base. Nauka ta prohres transportu – Science and Transport Progress, 2015, no. 4 (58), pp. 198-204. doi: 10.15802/stp2015/49286.

  18. Krylov V.V., Dawson A.R., Heelis M.E., Collop A.C. Rail movement and ground waves caused by high-speed trains approaching track-soil critical velocities. Proc. of The Institution of Mechanical Engineers. Part F: Journal of Rail and Rapid Transit, 2000, vol. 214, no. 2, pp. 107-116. doi: 10.1243/0954409001531379.

  19. Kouroussis G., Connolly D.P., Olivier B., Laghrouche O., Costa P.A. Railway cuttings and embankments: Experimental and numerical studies of ground vibration. Science of the Total Environment, 2016, vol. 557, pp. 110-122. doi: 10.1016/j.scitotenv.2016.03.016.

  20. Ruiz J.F., Cogsta P.A., Calçada R., Rodríguez Luis E.M., Colaço A. Study of ground vibrations induced by railway traffic in a 3D FEM model formulated in the time domain: experimental validation. Structure and Infrastructure Engineering, 2016, pp. 1-13. doi: 10.1080/15732479.2016.1172649.

  21. Woldringh R.F., New B.M. Embankment design for high speed trains on soft soils. Proc. of the 12th European Conf. on Soil Mechanics and Geotechnical Engineering (7.06-10.06.1999), 1999, vol. 3, pp. 1703-1712.


Стаття рекомендована до друку д.т.н., проф. В. Д. Петренком (Україна), д.т.н., проф.
Е. І. Даніленком (Україна)


Надійшла до редколегії: 17.05.2016

Прийнята до друку: 14.09.2016

doi © Д. М. Курган, 2016