ISSN 2307–3489 (Print), ІSSN 2307–6666 (Online)

Наука та прогрес транспорту. Вісник Дніпропетровського
національного університету залізничного транспорту, 201
6, 5 (65)



експлуатація та ремонт засобів ТРАНСПОРТу

експлуатація та ремонт засобів ТРАНСПОРТу

УДК 656.212.5:625.1

И. А. ЕЛОВОЙ1*, Е. Н. ПОТЫЛКИН2*

1*Каф. «Управление грузовой и коммерческой работой», Белорусский государственный университет транспорта,
ул. Кирова, 34, Гомель, Республика Беларусь, 246653, тел.+37 (529) 734 11 40, эл. почта ugkr@belsut.gomel.by,
ORCID 0000-0001-9178-563X
2*Каф. «Управление грузовой и коммерческой работой», Белорусский государственный университет транспорта,
ул. Кирова, 34, Гомель, Республика Беларусь, 246653, тел.+37 (529) 808 77 87, эл. почта gkrt@inbox.ru,
ORCID 0000-0003-3872-8243

РАСЧЕТ ОПТИМАЛЬНЫХ ИНТЕРВАЛОВ ДЛЯ ВЫБОРА

РЕЖИМОВ ВЗАИМОДЕЙСТВИЯ СТАНЦИЙ

И ПУТЕЙ НЕОБЩЕГО ПОЛЬЗОВАНИЯ

Цель. Основной целью работы должно стать получение функциональных зависимостей для расчета оптимальных значений интервалов между подачами вагонов на фронты погрузки, выгрузки по критерию минимизации эксплуатационных затрат. Это позволит обосновывать выбор эффективных режимов взаимодействия железнодорожных станций и путей необщего пользования. Методика. Для достижения поставленной цели использованы методы научного анализа и синтеза, метод Брандона при аппроксимации функции, экспериментально-статистические методы составления математических зависимостей. Результаты. Получены формулы по определению: 1) оптимальных значений интервалов между подачами вагонов на места погрузки-выгрузки по критерию минимизации затрат при режиме взаимодействия железнодорожных станций с путями необщего пользования через расчетные интервалы времени; 2) групп вагонов среднего размера в составе одной подачи на путь необщего пользования; 3) продолжительности маневровой работы по расстановке вагонов у фронтов погрузки-выгрузки. Научная новизна. Усовершенствованы функциональные зависимости для определения оптимальных значений интервалов между подачами вагонов на фронты погрузки, выгрузки по критерию минимизации эксплуатационных затрат. Это стало возможным благодаря полученным формулам, которые учитывают влияние: 1) количества грузовых фронтов, задействованных в маневровых операциях с вагонами у мест погрузки-выгрузки; 2) групп вагонов среднего числа и размера, находящихся на пути необщего пользования; 3) подачи-уборки вагонов среднего размера; 4) наличия выставочных путей для перезарядки фронтов; 5) суммарной полной длины путей, задействованных в перезарядке фронтов погрузки-выгрузки. Практическая значимость. Полученные функциональные зависимости можно использовать при определении параметров цикла подачи-уборки вагонов на фронты погрузки-выгрузки, а также оптимальных значений интервалов между подачами при взаимодействии железнодорожной станции и путей необщего пользования. Использование полученных результатов позволит: 1) выявить слабые позиции при организации работы станции примыкания и путей необщего пользования; 2) уменьшить издержки владельцев железнодорожных путей необщего пользования и железной дороги в целом за счет минимизации экономических и временных потерь и, как следствие, повысить конкурентоспособность железнодорожного транспорта на рынке транспортных услуг.

Ключевые слова: путь необщего пользования; режим взаимодействия; подача-уборка вагонов; маневровые операции; интервал между подачами вагонов



Введение

Пути необщего пользования являются важным элементом в логистической цепи движения ресурсов, поскольку они представляют собой связующие звенья в цепочке перевозочного процесса грузов от отправителя до получателя. На сети Белорусской железной дороги многие из них были построены в советское время, когда в стране функционировала плановая система экономики. В настоящее время в Республике Беларусь развивается рынок транспортных услуг, и современные тенденции его роста способствуют совершенствованию грузовой и коммерческой работы на железнодорожном транспорте, что связано с появлением операторов вагонных парков и конкурирующих перевозчиков, обеспечением погрузки и выгрузки грузов преимущественно на железнодорожных путях необщего пользования, возросшими требованиями клиентов к сокращению сроков доставки и согласования перевозок. Все это требует наличия современных технологических решений, направленных как на оптимизацию взаимодействия железной дороги с грузоотправителями и грузополучателями, так и на совершенствование внутренних технологических процессов, что будет способствовать повышению уровня конкурентоспособности железнодорожного транспорта на рынке транспортных услуг. Следовательно, проблемы взаимодействия железнодорожных станций и путей необщего пользования являются актуальными для Белорусской железной дороги, обуславливая важность данного научного исследования.

Цель

Технологические параметры взаимодействия путей необщего пользования с железнодорожными станциями играют важную роль при обосновании выбора эффективных режимов взаимодействия. Однако при их определении возникает ряд трудностей, связанных с достаточно большой трудоемкостью их определения. Поэтому целью представленной работы является установление аналитических зависимостей оптимальных значений интервалов между подачами вагонов на грузовые фронты по экономическому критерию, позволяющих минимизировать затраты в процессе взаимодействия железнодорожных станций с путями необщего пользования.

Методика

Для достижения поставленной цели при проведении данного исследования использованы методы научного анализа и синтеза, метод Брандона при аппроксимации функции, экспериментально-статистические методы составления математических зависимостей [8].

Результаты

Вопросами эксплуатации железнодорожных подъездных путей с середины 20-го века занимались Ферапонтов Г. В, Сотников И. Б. В их трудах рассмотрены проблемы взаимоотношения железных дорог и ветвевладельцев, дано описание единых технологических процессов, обобщены опыт передачи железнодорожных подъездных путей в ведение железных дорог и практика организации работы на них, дан анализ использования подвижного состава на подъездных путях [13, 14]. Проблемами же организации процессов грузовой работы как на местах необщего пользования, так и на местах общего пользования занимались Смехов А. А. и Лазарев Х. М., Григорюк В. Ф. В их работах представлены решения оптимизации грузовой работы, сопутствующих и предшествующих элементов грузовой работы и др. [5, 10]. В 80-е годы исследованиями по применению математических методов и ЭВМ для расчетов оптимального использования грузоподъемности и вместимости вагонов, технического оснащения грузовых фронтов и управления ими, для оптимального планирования работы кранов на контейнерных пунктах и выбора их наивыгоднейших параметров, для автоматизации коммерческих операций занимались Правдин Н. В., Дыканюк М. Л., Негрей В. Я. [11].

В настоящее время в области взаимодействия железнодорожных станций с путями необщего пользования также ведутся исследования. Серазетдиновой А. Д. разработана методика управления вагонопотоками на путях необщего пользования в условиях изменения их структуры и интенсивности, учитывающая оперативную загруженность станций. [12]. Теоретическими исследованиями и разработкой научно обоснованных подходов к моделированию взаимоотношений корпорации «Российские железные дороги» с регионами и хозяйствующими субъектами для повышения эффективности взаимодействия занималась Афанасьева Н. А. Она разработала: показатель оценки эффективности сотрудничества корпорации «Российские железные дороги» с регионами страны; методику обоснования совместной программы развития транспортной инфраструктуры в регионе с учетом интересов корпорации и региона; показатель оценки развития региона вследствие реализации совместных программ [1]. Кроме того, среди современных ученых, занимающихся исследованием взаимодействия железнодорожных станций с путями необщего пользования, следует выделить Гарлицкого Е. И., Вернигору Р. В., Козаченко Д. Н. [3, 4, 7], а также иностранных Gert-Joost Peek, Jyh-Cherng Jong, Lorenzo Mussone [15, 16, 17].

Анализ трудов ученых показал, что традиционно применяются три основных режима их взаимодействия: через равные интервалы времени, по расписанию, по уведомлению.

Каждый из представленных режимов характеризуется циклом подачи-уборки вагонов на путь необщего пользования или маневровый район, который включает в себя ряд последовательно выполняемых операций: ожидание подачи вагонов, подача, ожидание и выполнение маневровых операций по расстановке групп вагонов у мест погрузки, выгрузки, ожидание уборки вагонов, уборка. Формулы, с помощью которых принято определять численные значения этих элементов, сведены в табл. 1.

Таблица 1

Формулы для определения составляющих цикла подачи-уборки вагонов

Table 1

Formulas for determining the components of cycle of cars delivery-removal

Наименование операции (величины) (параметра)

Формула

Примечания

Продолжительность полурейса

αрт, βрт – коэффициенты, учитывающие время необходимое для изменения скорости движения локомотива и каждого вагона на 1 км/ч при разгоне соответственно, и время, необходимое для изменения скорости движения на 1 км/ч при торможении;

m – количество вагонов в составе, вагонов;

v – допустимая скорость движения при маневрах, км/ч;

lп/р – длина полурейса, м;

количество путей, с которых переставляются вагоны;

количество вагонов, переставляемых на путь сборки;

количество групп формирования на пути накопления;

А, Б – нормативные коэффициенты, мин;

среднее количество сортируемых вагонов [9];

υвх, υобсл – коэффициенты вариации входящего потока требований и продолжительности обслуживания соответственно;

ρ – загрузка обслуживающего устройства;

λ – интенсивность поступления требований, требований/ч [2]

Технологическое время на сборку вагонов

Технологическое время на сортировку вагонов

Продолжительность ожидания выполнения операции


Взаимодействие железнодорожной станции и пути необщего пользования предусматривает подачу вагонов на фронты погрузки выгрузки в среднем через интервал времени . При этом, как правило, накопление вагонов на состав подачи происходит на пути станции примыкания (рис. 1).

Рис. 1. Накопление вагонов на состав подачи
на пути станции примыкания

Fig.1. Accumulation of cars for the train of supply
to the tracks of connecting station

Вагоно-часы накопления вагонов для подачи на грузовые фронты i-го маневрового района составляют

, (1)

где – продолжительность накопления вагонов на состав подачи, ч/подачу; – размер подачи (уборки) на i-й маневровый район, вагонов.

Приняв, что продолжительность накопления вагонов на состав подачи одинакова и равна (рис. 1), размер подачи (уборки) на i-й маневровый район (путь необщего пользования) рассчитывается по формуле

, (2)

где – интенсивность накопления (поступления) вагонов на пути для подачи на фронты погрузки, выгрузки i-го маневрового района (пути необщего пользования); – коэффициент неравномерности.

Приняв во внимание то, что для подачи на фронты погрузки, выгрузки i-го маневрового района (пути необщего пользования) на путь накопления поступает вагонов в количестве , интенсивность накопления можно представить в следующем виде:

, (3)

где – среднесуточное количество вагонов, поступающих на маневровый район (путь необщего пользования).

Затраты на накопление вагонов рассчитываются по формуле

, (4)

где – стоимость одного вагоно-часа, ден.ед./вагоно-час.

Приняв, что подачу вагонов, накопленных на состав подачи, на i-й маневровый район выполняет один локомотив, затраты на выполнение маневровой работы определяются по формуле

, (5)

где – стоимость одного локомотиво-часа, ден.ед./локомотиво-час; – продолжительность выполнения маневровой работы на i-ом маневровом районе (пути необщего пользования) одним локомотивом, ч,

, (6)

где – продолжительность подачи вагонов на i-й маневровый район, ч; – продолжительность маневровых операций с вагонами у мест погрузки, выгрузки на i-ом маневровом районе, ч; – продолжительность уборки вагонов с i-ого маневрового района, ч.

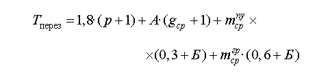
Особое внимание следует уделить маневровым операциям с вагонами у мест погрузки-выгрузки, которые представляют собой совокупность последовательных полурейсов с учетом смены направления движения локомотива, укладки тормозных башмаков, перекрытия концевых кранов, разъединения тормозных рукавов, расцепки и т.п. В настоящее время продолжительность выполнения указанных маневровых операций принято определять суммированием продолжительностей полурейсов и смен направления движения. Однако данный способ является громоздким, но в то же время достаточно точным. В то же время маневровые операции с вагонами у мест погрузки, выгрузки можно представить в виде набора операций по сборке и сортировке групп вагонов, при этом нужно учесть путевое развитие маневрового района, где расположены фронты погрузки, выгрузки. Анализ схем путевого развития путей необщего пользования на сети Белоруской железной дороги позволил выделить среди них два основных типа: 1) схемы, на которых есть выставочный путь; 2) схемы, на которых нет выставочного пути. Продолжительность маневровых операций с вагонами у мест погрузки, выгрузки будет различной для представленных схем. На рис. 2 приведена технология их выполнения на путях необщего пользования, где есть выставочный путь.

Рис. 2. Последовательность маневровых операций по расстановке вагонов у мест погрузки,
выгрузки при наличии выставочного пути:
I, II – погрузочно-выгрузочные пути; III – выставочный путь

Fig. 2. The sequence of shunting operations
for car spotting at the places of loading, unloading
in the presence of goods siding:
I, II – loading and unloading tracks; III – goods siding

В таком случае маневровая работа с вагонами включает в себя две сборки и одну сортировку вагонов (рис. 2), а ее продолжительность составляет

.

Подставляя в формулу вместо , равенства из табл. 1, после упрощения и введения средних значений переменных, получается:

,

где – среднее число групп вагонов, находящихся на пути необщего пользования (маневровом районе), которые задействованы в перезарядке, групп; – средний размер подачи (уборки) вагонов; – средний размер группы вагонов; p – число путей, на которые поступают вагоны в процессе выполнения маневровых операций с вагонами у мест погрузки-выгрузки.

Технология выполнения маневровых операций у пунктов погрузки, выгрузки на путях необщего пользования в случае отсутствия выставочного пути приведена на рис. 3.

Рис.3. Последовательность операций
по расстановке вагонов у мест погрузки, выгрузки при отсутствии выставочного пути:
I, II, III – погрузочно-выгрузочные пути

Fig. 3. The sequence of shunting operations
for car spotting at the places of loading, unloading
in the absence of goods siding:
I, II, III – loading and unloading tracks

Продолжительность выполнения маневровых операций с вагонами у мест погрузки, выгрузки по технологии, представленной на рис. 3, рассчитывается по формуле

.

Значения продолжительностей маневровой работы, полученные по представленным формулам, значительно отличаются от эмпирических данных. Представленный способ расчета по формулам сортировки, сборки является простым, однако недостаточно точным. Неточность этого способа обоснована тем, что формулы, приведенные в табл. 1, приспособлены для определения продолжительности маневровой работы на железнодорожных станциях, которые в отличие от путей необщего пользования характеризуются территориальной сосредоточенностью путей, компактностью стрелочных зон и др. Поэтому для повышения точности расчета данным способом необходимо ввести дополнительные переменные. На основании анализа собранных статистических данных установлено, что продолжительность выполнения маневровых операций с вагонами у мест погрузки, выгрузки зависит от: суммарной полной длины путей, задействованных в маневровых операциях, среднего размера группы вагонов, количества вагонов в составе подачи, количества путей, на которые поступают вагоны в процессе выполнения маневровой работы с вагонами у мест погрузки, выгрузки, наличия выставочных путей, среднего числа групп вагонов, находящихся на пути необщего пользования (маневровом районе), количества фронтов погрузки, выгрузки. В общем виде искомая функция будет зависеть от следующих параметров

(7)

где – сумма полных длин путей, задействованных при выполнении маневровых операций с вагонами у мест погрузки-выгрузки, м; Nф – количество грузовых фронтов, задействованных при выполнении маневровых операций с вагонами у мест погрузки-выгрузки.

С помощью методов регрессионного анализа, которые относятся к экспериментально-статистическим методам составления математических моделей, установлены зависимости продолжительности маневровых операций
с вагонами у мест погрузки-выгрузки. При наличии выставочного пути в маневровом районе (пути необщего пользования), используемого для расстановки вагонов, функция имеет следующий вид:

При отсутствии выставочного пути

Среди достоинств полученных зависимостей следует выделить соблюдение технологии: формула (7) основана на том, что в процессе выполнения маневровых операций с вагонами у мест погрузки, выгрузки выполняются последовательно сборка, сортировка, сборка вагонов; формула (4) – сборка, сортировка, сборка, сортировка. Это предоставляет возможность для дальнейшего установления целесообразности осуществления маневровой работы у мест погрузки-выгрузки на путях необщего пользования крупных промышленных предприятий по технологии: сборка на фронтах, уборка вагонов на пути накопления, подача вагонов на фронты погрузки, выгрузки. К недостаткам можно отнести отсутствие зависимости функции F от длины стрелочной зоны. Однако анализ путей необщего пользования на сети Белорусской железной дороги показал, что большинство из них имеют путевое развитие с длиной стрелочной зоны до 100 м, что учтено коэффициентами А и Б.

Однако при использовании полученных формул могут возникнуть проблемы, связанные с определением среднего размера группы вагонов. Весомый вклад в исследование средней величины группы вагонов внес Сотников Е. А. Однако следует отметить, что в полученной им зависимости среднее число назначений, на которые прибывают вагоны в одном поезде, находятся в интервале, зависящем от общего количество назначений. В связи с этим возникают трудности при использовании этой формулы при выполнении расчетов. Поэтому на основании статистических данных с помощью уравнения множественной регрессии методом Брандона получена аналитическая зависимость среднего размера группы вагонов в составе одной подачи-уборки от зависящих параметров. Особенность метода заключается в том, что порядок расположения выбранных факторов не безразличен для точности обработки результатов наблюдений: чем больше влияние на исследуемую величину оказывает выбранный параметр, тем меньше должен быть его порядковый номер. Основываясь на значениях коэффициентов детерминированности, определена последовательность использования переменных и получена формула для определения средней величины группы вагонов в составе подачи (уборки)

.

На основании формул (1) и (2) можно определить суммарные затраты на выполнение маневровой работы и накопление, приходящиеся на один вагон

.

Функция непрерывна и дифференцируема по . Поэтому оптимальное значение можно определить из уравнения

. (8)

В ходе решения данного уравнения введены следующих обозначения:

,

,

,

,

,

,

,

где υвх1, υвх2, υвха – коэффициенты вариации входящего потока, подач, уборок вагонов, автомобилей соответственно; υобсл1, υобсл2, υобслa – коэффициенты вариации продолжительности обслуживания, подач, уборок вагонов, автомобилей соответственно; ρлок – загрузка локомотива; Qп – объем грузопереработки, тонно-операций в сутки; qп – эксплуатационная норма выработки механизма, отнесенная к 1 ч его работы, т/ч; у – количество погрузочно-разгрузочных механизмов на грузовом фронте; γ – доля от общей загрузки механизмов при обслуживании входящего потока вагонов; Т – продолжительность работы грузового фронта
в течении суток, ч; ta продолжительность обслуживания одного автомобиля, ч [10].

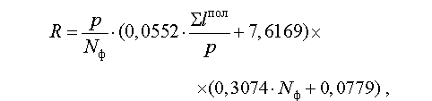
Решив уравнение (8), относительно в случае наличия выставочного пути в маневровом районе (пути необщего пользования) получено

.

При недетерминированном потоке подач вагонов в продолжительности маневровой работы на маневровом районе (пути необщего пользования) необходимо учесть возможные ожидания [10]. В результате получена формула по определению оптимального интервала между подачами вагонов на фронты погрузки, выгрузки по критерию минимизации эксплуатационных затрат в случае наличия выставочного пути в маневровом районе:

. (9)

Следует отметить, что представленные формулы работают в условиях, когда производится расстановка вагонов у фронтов погрузки-выгрузки в пределах одного маневрового района. В случае, если за одну подачу-уборку обслуживаются несколько районов, то следует выполнить суммирование с введением коэффициента сдвоенных операций при перестановке вагонов из одного маневрового района в другой.

На основании полученных зависимостей построен график, представленный на рис. 4, отражающий зависимость оптимального по критерии минимизации затрат интервала между подачами вагонов от интенсивности их накопления и числа путей.

Как видно из рис. 4 значения интервалов между подачами, полученные по формуле (9), заключены в пределах от 3 до 9 часов. На основании чего можно сделать вывод об адекватности разработанной модели, отражающей реальную действительность.

Стоит учесть, что главная цель оптимизационных расчетов заключается в определении наиболее чувствительных элементов, влияющих на интервал между подачами вагонов на пути необщего пользования. В связи с этим проведено исследование степени влияния исходных параметров на относительные изменения целевой функции по упрощенной схеме, в которой действие каждого параметра оценивается в отдельности, в то время как остальные величины принимаются постоянными. Рассмотренные параметры имеют неодинаковую физическую сущность и размерность. Поэтому для их сравнения между собой по степени влияния на целевую функцию Fп все они приводятся к безразмерному виду, т. е. находится процент отклонения определенного параметра от его расчетного или оптимального значения [6]. Относительные приращения исследуемого параметра и целевой функции рассчитываются по формулам:

,

,

где pri – исследуемый параметр; Δpri – погрешность параметра.

В результате исследования построен график зависимости ΔFi=f(Δpi), представленный на рис. 5.

Рис. 4. График зависимости оптимального
по критерию минимизации затрат интервала
между подачами от интенсивности накопления вагонов при различном числе путей

Fig. 4. A dependence graph of the optimal interval
between car deliveries according to the criterion
of minimizing the costs on the intensity of cars
accumulation at the different number of tracks

На основании анализа рис. 5 и полученных результатов можно сделать вывод о том, что по степени влияния каждого из параметров на целевую функцию их следует располагать в следующей последовательности:

1) среднесуточное количество вагонов, поступающих на путь необщего пользования ();

2) суммарная полная длина путей, задействованных при маневрах ();

3) число таких путей ();

4) среднее число групп вагонов, находящихся на пути необщего пользования (маневровом районе) ();

5) количество грузовых фронтов, задействованных в маневровых операциях с вагонами
у мест погрузки-выгрузки ().

Рис. 5. График зависимости относительных
изменений целевой функции от относительных
приращений параметров

Fig. 5. A dependence graph of the relative changes
in the objective function on the relative increments
of the parameters

Полученные зависимости предоставляют возможности для дальнейших исследований взаимодействия железнодорожной станции примыкания и станции, формирующей в ее адрес передаточные поезда, а также взаимодействия путей необщего пользования и станции примыкания в условиях функционирования вагонов грузоотправителей, грузополучателей.

Научная новизна и практическая
значимость

Научная новизна представленной работы заключается в следующем:

усовершенствованы функциональные зависимости для определения оптимальных значений интервалов между подачами вагонов на грузовые фронты при детерминированном и недетерминированном потоках подач вагонов на пути необщего пользования;

предложены формулы по определению продолжительности выполнения маневровых операций с вагонами у мест погрузки-выгрузки, зависящие от следующих параметров: суммарной полной длины путей, задействованных при маневрах; среднего размера группы вагонов; среднего размера подачи-уборки вагонов; количества путей, на которые поступают вагоны в процессе выполнения маневровой работы; наличия выставочных путей для перезарядки у грузовых фронтов; среднего числа групп вагонов, находящихся на пути необщего пользования (маневровом районе); количества грузовых фронтов, задействованных в маневровых операциях с вагонами у мест погрузки-выгрузки. При этом способ расчета продолжительности расстановки вагонов является простым в отличие от существующего, основанного на суммировании продолжительностей выполнения полурейсов и смен направления движения, который является достаточно трудоемким.

Практическая значимость работы состоит в возможности использования полученных зависимостей при определении параметров цикла подачи-уборки вагонов на грузовые фронты, оптимальных значений интервалов между подачами при взаимодействии железнодорожной станции и пути необщего пользования. Применение результатов исследования позволит: снизить издержки владельца пути необщего пользования, железной дороги, повысить конкурентоспособность железнодорожного транспорта на рынке транспортных услуг

Выводы

Выявленные функциональные зависимости для определения интервалов между подачами вагонов, продолжительности выполнения маневровых операций с вагонами у мест погрузки-выгрузки целесообразно использовать в расчетах при обосновании выбора оптимальных режимов взаимодействия железнодорожных станций с путями необщего пользования. Наличие интервала позволяет применить теорию взаимодействия и брать ее за основу при исследовании режимов взаимодействия системы, включающей в себя станцию формирования передач, железнодорожную станцию примыкания, пути необщего пользования, фронты погрузки-выгрузки вагонов. Данное взаимодействие можно рассматривать с позиции грузовладельца. Это связано с выявлением слабых позиций при организации работы станции примыкания и пути необщего пользования, устранение которых напрямую влияет на повышение конкурентоспособности железнодорожного транспорта на рынке транспортных услуг.

Обобщая выше приведенный материал, можно сделать следующие выводы:

1) в настоящее время у транспортного комплекса Республики Беларусь существует острая необходимость в развитии инфраструктуры путей необщего пользования, а также совершенствовании технологии их взаимодействия с железнодорожными станциями примыкания с целью удовлетворения всех требований клиентов Белорусской железной дороги ввиду увеличения числа вагонов грузоотправителей, грузополучателей;

2) совершенствование технологии работы технических станций Белорусской железной дороги невозможно без глубокого научного исследования режимов их взаимодействия с путями необщего пользования;

3) полученные в результате работы зависимости создают предпосылки для дальнейшего исследования режимов взаимодействия железнодорожных станций и путей необщего пользования в условиях наличия основной доли вагонов грузоотправителей, грузополучателей, а также организации отстоя таких вагонов при сезонной и других видах неравномерностей.

СПИСОК ИСПОЛЬЗОВАННЫХ ИСТОЧНИКОВ

  1. Афанасьева, Н. А. Организация взаимодействия ОАО «РЖД» с субъектами Российской Федерации : автореф. дис. … канд. техн. наук : 05.02.22 / Афанасьева Наталья Александровна ; Урал. гос. ун-т путей сообщ. – Екатеринбург, 2010. – 23 с.

  2. Вентцель, Е. С. Исследование операций. Задачи, принципы, методология : учеб. пособие для вузов / Е. С. Вентцель. – 3-е изд., стереотип. – Москва : Дрофа, 2004. – 208 с.

  3. Вернигора, Р. В. Проблемы функционирования железнодорожных подъездных путей Украины в современных условиях / Р. В. Вернигора // Восточно-Европ. журн. передов. технологий. – 2012. – Т. 4, 3 (58). – С. 64–68.

  4. Гарлицкий, Е. И. Совершенствование технологии обслуживания железнодорожных путей необщего пользования : дис. … канд. техн. наук : 05.22.08 / Гарлицкий Евгений Игоревич ; Моск. гос. ун-т путей сообщ. – Москва, 2014. – 149 с.

  5. Григорюк, В. Ф. Оптимизация взаимодействия пунктов погрузки и выгрузки вагонов / В. Ф. Григорюк. – Москва : Транспорт, 1986. – 79 с.

  6. Еловой, И. А. Интегрированные логистические системы доставки ресурсов: теория, методология, организация / И. А. Еловой, И. А. Лебедева ; под науч. ред. В. Ф. Медведева ; Белорус. гос. ун-т трансп. – Минск : Право и экономика, 2011. – 461 с. – (Серия «Мировая экономика»).

  7. Козаченко, Д. Н. Комплексный анализ железнодорожной инфраструктуры металлургического комбината на основе графоаналити-ческого моделирования / Д. Н. Козаченко, Р. В. Вернигора, Н. И. Березовый // Вісн. Дніпропетр. нац. ун-ту залізн. трансп. ім. акад. В. Лазаряна. – Дніпропетровськ, 2012. – Вип. 4. – С. 55–60.

  8. Красовский, Г. И. Планирование эксперимента / Г. И. Красовский, Г. Ф. Филаретов. – Минск : Изд-во БГУ, 1982. – 302 с.

  9. Местная работа на железных дорогах / О. С. Кирьянова, Г. А. Мухаммедов, А. С. Перминов, Д. М. Чернюгов. – Москва : Транспорт, 1975. – 184 с.

  10. Оптимизация процессов грузовой работы / А. А. Смехов, Х. М. Лазарев, А. Т. Дерибас и [др.]. – Москва : Транспорт, 1993. – 264 с.

  11. Правдин, Н. В. Прогнозирование грузовых потоков / Н. В. Правдин, М. Л. Дыканюк, В. Я. Негрей. – Москва : Транспорт, 1987. – 249 с.

  12. Серазетдинова, А. Д. Методика управления вагонопотоками на путях необщего пользования, учитывающая оперативную загруженность станций : автореф. дис. … канд. техн. наук : 05.22.08 / Серазетдинова Альфия Данисовна ; Урал. гос. ун-т путей сообщ. – Екатеринбург, 2010. – 19 с.

  13. Сотников, И. Б. Взаимодействие станций и участков железных дорог. (Исследование операций на станциях) / И. Б. Сотников. – Москва : Транспорт, 1976. – 268 с.

  14. Ферапонтов, Г. В. Эксплуатация железнодорожных подъездных путей / Г. В. Ферапонтов. – Москва : Транспорт, 1972. – 296 с.

  15. Jong, J.-C. Support System to Optimize Railway Stopping Patterns / J.-C. Jong, C.-S. Suen, S. Chang // Transportation Research Record: J. of the Transportation Research Board. – 2012. – Vol. 2289. – P. 24–33. doi: 10.3141/2289-04.

  16. Mussone, L. R. An analytical approach to calculate the capacity of a railway system / L. R. Mussone, R. W. Calvo // European J. of Operational Research. – 2013. – Vol. 228. – Iss. 1. – P. 11–23. doi: 10.1016/j.ejor.2012.12.027.

  17. Peek, G.-J. Creating Synergy In and Around Stations: Three Strategies for Adding Value / G.-J. Peek, M. van Hagen // Transportation Research Record: J. of the Transportation Research Board. – 2002. – Vol. 1793. – P. 1–6. doi: 10.3141/1793-01.

І. О. ЄЛОВИЙ1*, Є. М. ПОТИЛКІН2*

1*Каф. «Управління вантажною та комерційною роботою», Білоруський державний університет транспорту,
вул. Кірова, 34, Гомель, Республіка Білорусь, 246653, тел.+37 (529) 734 11 40, ел пошта
ugkr@belsut.gomel.by,
ORCID 0000-0001-9178-563X
2*Каф. «Управління вантажною та комерційною роботою», Білоруський державний університет транспорту,
вул. Кірова, 34, Гомель, Республіка Білорусь, 246653, тел.+37 (529) 808 77 87, ел пошта
gkrt@inbox.ru,
ORCID 0000-0003-3872-8243

РОЗРАХУНОК ОПТИМАЛЬНИХ ІНТЕРВАЛІВ

ДЛЯ ВИБОРУ РЕЖИМІВ ВзаємодіЇ СТАНЦІЙ

ТА ШЛЯХІВ незагального
користування

Мета. Основною метою роботи повинно стати отримання аналітичних залежностей для розрахунку оптимальних значень інтервалів між подачами вагонів на фронти навантаження, вивантаження за критерієм мінімізації експлуатаційних витрат. Це дозволить обґрунтовувати вибір ефективних режимів взаємодії залізничних станцій та шляхів незагального користування. Методика. Для досягнення поставленої мети використано методи наукового аналізу та синтезу, метод Брандона при апроксимації функції, експериментально-статистичні методи складання математичних залежностей. Результати. Отримані формули по визначенню: 1) оптимальних значень інтервалів між подачами вагонів на місця навантаження-розвантаження за критерієм мінімізації витрат при режимі взаємодії залізничних станцій зі шляхами незагального користування через розрахункові інтервали часу; 2) групи вагонів середнього розміру в складі однієї подачі на шлях незагального користування; 3) тривалості маневрової роботи щодо розстановки вагонів у фронтах навантаження-вивантаження. Наукова новизна. Удосконалено функціональні залежності для визначення оптимальних значень інтервалів між подачами вагонів на фронти навантаження, вивантаження за критерієм мінімізації експлуатаційних витрат. Це стало можливим завдяки отриманим формулам, які враховують вплив: 1) кількості вантажних фронтів, задіяних у маневрових операціях із вагонами у місцях навантаження-вивантаження; 2) груп вагонів середнього числа і розміру, які перебувають на шляху незагального користування; 3) подачі-прибирання вагонів середнього розміру; 4) наявності виставкових шляхів для перезарядки фронтів; 5) сумарної повної довжини шляхів, задіяних у перезарядці фронтів навантаження-вивантаження. Практична значимість. Отримані функціональні залежності можна використовувати при визначенні параметрів циклу подачі-прибирання вагонів на фронти навантаження-вивантаження, а також оптимальних значень інтервалів між подачами при взаємодії залізничної станції та шляхів незагального користування. Використання отриманих результатів дозволить: 1) виявити слабкі позиції при організації роботи станції примикання та шляхів незагального користування; 2) зменшити витрати власників залізничних колій незагального користування і залізниці в цілому за рахунок мінімізації економічних та тимчасових втрат і, як наслідок, підвищити конкурентоспроможність залізничного транспорту на ринку транспортних послуг.

Ключові слова: шлях незагального користування; режим взаємодії; подача-прибирання вагонів; маневрові операцїі; інтервал між подачами вагонів

I. A. ELOVOY1*, Y. N. POTYLKIN2*

1*Dep. «Freight and Commercial Work Management», Belarusian State University of Transport, Kirov St., 34, Gomel,
Republic of Belarus, 246653, tel: + 37 (529) 734 11 40, e-mail ugkr@belsut.gomel.by, ORCID 0000-0001-9178-563X
2*Dep. «Freight and Commercial Work Management», Belarusian State University of Transport, Kirov St., 34, Gomel,
Republic of Belarus, 246653, tel:+37 (529) 808 77 87,e-mail. gkrt@inbox.ru, ORCID 0000-0003-3872-8243

Calculation of optimal INTERVALS

TO CHOOSE THE modeS of INTERACTION

BETWEEN STATIONS AND NON-PUBLIC TRACKS

Purpose. The article is aimed to obtain the operational dependences for calculating the optimal intervals between car supply on loading and unloading fronts, unloading according to the criterion of minimizing operating costs. This will allow substantiating the choice of effective modes of interaction between railway stations and non-public tracks. Methodology. Methods of scientific analysis and synthesis, the method of Brandon at the approximation of the function, experimental and statistical methods of compiling the mathematical dependences were used in order to achieve the purpose. Findings. There were obtained the formulas for determination of: 1) optimal values of intervals between the car supplies to the places of loading and unloading according to the criterion of cost minimization in conditions of interaction between railway stations and non-public tracks through determined time periods; 2) medium-sized car groups in one supply on the non-public track, 3) the duration of the shunting work on car spotting in loading and unloading fronts. Originality. Operational dependences were improved for the determination of optimal values of intervals between the car supplies to the fronts of loading, unloading according to the criterion of minimizing the operational costs. Since the obtained formulas take into account the influence of: 1) the number of freight fronts involved in shunting operations with the cars near the points of loading and unloading; 2) the average number and size of the car groups, which are on the non-public tracks; 3) average size of the car supply-removal; 4) the presence of the goods siding for the fronts recharging; 5) total length of the tracks involved in recharging of the loading and unloading fronts. Practical value. The obtained operational dependences can be used in determining the parameters of supply-removal cycle to the loading and unloading fronts, the optimal values of the intervals between supplies in the interaction between the railway station and non-public tracks. Obtained results will allow: 1) identifying weak positions in the organization of connecting station operation and non-public tracks; 2) reducing the costs of the owners of non-public tracks and the general railway by minimizing the economic and time losses and, as a consequence, increasing the competitiveness of railway transport in the transport market.

Keywords: non-public track; mode of interaction; car supply-removal; shunting operations; interval between cars supplies

REFERENCES

  1. Afanasyeva N.A. Organizatsiya vzaimodeystviya OAO «RZhD» s subyektami Rossiyskoy Federatsii. Avtoreferat Diss. [Organization of JSC «Russian Railways» interaction with the subjects of the Russian Federation. Author’s abstract]. Ekaterinburg, 2010. 23 p.

  2. Venttsel Ye.S. Issledovaniye operatsiy. Zadachi, printsipy, metodologiya [Operations research. Objectives, principles, methodology]. Moscow, Drofa Publ., 2004. 208 p.

  3. Vernigora R.V. Problemy funktsionirovaniya zheleznodorozhnykh podyezdnykh putey Ukrainy v sovremennykh usloviyakh [Problems of functioning of railway sidings of Ukraine in modern conditions]. Vostochno-Evropeyskiy zhurnal peredovyh tehnologiy – Eastern European Journal of Advanced Technologies, 2012, vol. 4, no. 3 (58), pp. 64-68.

  4. Garlitskiy Ye.I. Sovershenstvovaniye tekhnologii obsluzhivaniya zheleznodorozhnykh putey neobshchego polzovaniya. Kand. Diss. [Improvement of the technology of service of railway tracks of uncommon use. Cand. Diss.]. Moscow, 2014. 149 p.

  5. Grigoryuk V.F. Optimizatsiya vzaimodeystviya punktov pogruzki i vygruzki vagonov [Optimization of interaction of loading and unloading points of cars]. Moscow, Transport Publ., 1986. 79 p.

  6. Elovoy I.A., Lebedeva I.A. Integrirovannyye logisticheskiye sistemy dostavki resursov: teoriya, metodologiya, organizatsiya [Integrated logistics systems of resources delivery: the theory, methodology, organization]. Minsk, Pravo i ekonomika Publ., 2011. 461 p.

  7. Kozachenko D.N., Vernigora R.V., Berezovyy N.I. Kompleksnyy analiz zheleznodorozhnoy infrastruktury metallurgicheskogo kombinata na osnove grafoanali-ticheskogo modelirovaniya [Comprehensive analysis of the railway infrastructure of metallurgical plant on the basis of graphical-analytic simulation]. Vіsnyk Dnіpropetrovskoho natsіonalnoho unіversitetu zalіznichnoho transportu іmeni akademika V. Lazaryana [Bulletin of Dnipropetrovsk National University of Railway Transport named after Academician V. Lazaryan], 2012, issue 4, pp. 55-60.

  8. Krasovskiy G.I., Filaretov G.F. Planirovaniye eksperimenta [Planning of experiment]. Minsk, BGU Publ., 1982. 302 p.

  9. Kiryanova O.S., Mukhammedov G.A., Perminov A.S., Chernyugov D.M. Mestnaya rabota na zheleznyh dorogakh [Local work on railways]. Moscow, Transport Publ., 1975. 184 p.

  10. Smekhov A.A., Lazarev Kh.M., Deribas A.T. Optimizatsiya protsessov gruzovoy raboty [Optimization of freight operations]. Moscow, Transport Publ., 1993. 264 p.

  11. Pravdin N.V., Dykanyuk M.L., Negrey V.Ya. Prognozirovaniye gruzovykh potokov [Prediction of cargo flows]. Moscow, Transport Publ., 1987. 249 p.

  12. Serazetdinova A.D. Metodika upravleniya vagonopotokami na putyakh neobshhego pol-zovaniya, uchityvayushhaya operativnuyu zagruzhennost stantsiy. Avtoreferat Diss. [Methodology of the car traffic volumes control on the tracks of uncommon use taking into account the operational workload of the stations. Author’s abstract]. Ekaterinburg, 2010. 19 p.

  13. Sotnikov I.B. Vzaimodeystviye stantsiy i uchastkov zheleznykh dorog [Interaction of stations and railroad sections]. Moscow, Transport Publ., 1976. 268 p.

  14. Ferapontov G.V. Ekspluatatsiya zheleznodorozhnykh podyezdnykh putey [Operation of railway sidings]. Moscow, Transport Publ., 1972. 296 p.

  15. Jong J.C., Suen C.S., Chang S. Support System to Optimize Railway Stopping Patterns. Transportation Research Record: Journal of the Transportation Research Board, 2012, vol. 2289, pp. 24-33. doi: 10.3141/2289-04.

  16. Mussone L., Calvo R.W. An analytical approach to calculate the capacity of a railway system. European Journal of Operational Research, 2013, vol. 228, issue 1, pp. 11-23. doi: 10.3141/2289-04.

  17. Peek G.J., Hagen M. Creating Synergy In and Around Stations: Three Strategies for Adding Value. Transportation Research Record: Journal of the Transportation Research Board, 2002, vol. 1793, pp. 1-6. doi: 10.3141/1793-01.


Статья рекомендована к публикации д.т.н., проф. А. К. Головничем (Республика Беларусь); д.т.н., проф. Д. Н. Козаченко (Украина)


Поступила в редколлегию: 11.05.2016

Принята к печати: 23.09.2016