УДК 656.212.5:629.46

О. АНАЗАРов1*

1*Каф. «Станції та вузли», Дніпропетровський національний університет залізничного транспорту
імені академіка В. Лазаряна, вул. Лазаряна, 2, Дніпропетровськ, Україна, 49010, тел. +38 (067) 636 43 22,
ел. пошта lyo8771@>mail.ru, ORCID 0000-0001-8837-2041

ЗНИЖЕННЯ ШВИДКОСТІ ВІДЧЕПІВ

НА ПОЧАТКУ СОРТУВАЛЬНИХ КОЛІЙ,

ОСНАЩЕНИХ СИСТЕМОЮ РОЗПОДІЛЕНОГО

РЕГУЛЮВАННЯ ШВИДКОСТІ

Мета. Чітка та безперебійна робота сортувальних гірок залежить від якості технічних засобів та технології регулювання швидкості відчепів. На більшості сортувальних гірок використовується технологія інтервально-прицільного регулювання швидкості відчепів. У статті необхідно проаналізувати способи зниження швидкості скочування відчепів до безпечного рівня на початку сортувальних колій, оснащених системою розподіленого регулювання швидкості. Методика. Запропоновано три принципово різні способи зниження швидкості скочування відчепів на початку сортувальних колій. За допомогою моделювання процесу скочування відчепів із гірки, оснащеної системою розподіленого регулювання швидкості, проведений аналіз способів зниження швидкості скочування відчепів до безпечного рівня на початку сортувальних колій. Результати. За результатами аналізу встановлено недоцільність використання протиухилу на спускній частині гірки за останнім розділовим стрілочним переводом. Точкові регулятори швидкості вагонів можна використовувати для зниження швидкості скочування відчепів на початку сортувальних колій, але це приводить до погіршення умов розділення на останніх розділових стрілочних переводах довгих відчепів із наступними за ними короткими відчепами. Зниження швидкості скочування відчепів на початку сортувальних колій можна здійснювати за допомогою балкових вагонних уповільнювачів на стаціонарній парковій гальмовій позиції. Алгоритм керування парковою гальмовою позицією доволі простий. Всі відчепи треба випускати з неї із безпечною швидкістю. Якщо точність реалізації заданої швидкості виходу відчепів із паркової гальмової позиції невисока, то є можливість ліквідувати погрішність точковими регуляторами швидкості вагонів. Наукова новизна. Авторами виявлена суперечлива взаємозалежність між показниками якості розділення відчепів на розділових стрілочних переводах спускної частини гірки та якістю заповнення сортувальних колій вагонами в умовах обладнання сортувальної гірки системою розподіленого регулювання швидкості відчепів. Практична значимість. Результати дослідження можуть бути використані в разі оснащення сортувальної гірки системою розподіленого регулювання швидкості відчепів.

Ключові слова: сортувальна гірка; сортувальна колія; ухил колії; відчеп; точкові вагонні уповільнювачі; гальмова позиція; система розподіленого регулювання швидкості

Вступ


Проблемою регулювання швидкості відчепів займаються багато вчених у світі [2, 3, 7-9, 12]. Актуальним для залізничного транспорту України залишається питання впровадження інноваційних технологій, які підвищують якість і зменшують вплив людського та інших факторів на процес розпуску составів з гірки в цілому, та на процес накопичення вагонів на сортувальних коліях зокрема [1, 11, 13 ]. На сортувальних гірках, оснащених системою розподіленого регулювання швидкості, за допомогою точкових регуляторів швидкості вагонів забезпечують або інтервальне і прицільне регулювання швидкості відчепів, або лише прицільне регулювання [5]. Використання точкових регуляторів швидкості вагонів у сортувальному парку теоретично дозволяє накопичувати состави без вікон і без осаджувань маневровим локомотивом з боку гірки, а також забезпечує підхід відчепів до вагонів, які накопичуються на сортувальній колії, з безпечною швидкістю [4, 13]. Є досвід використання точкових регуляторів швидкості вагонів і на спускній частині гірки [10]. Точкові регулятори швидкості вагонів на спускній частині гірки налаштовують на утримання максимально можливого рівня швидкості всіх відчепів в межах стрілочної зони. В залежності від конструкції сортувальної гірки та точкових регуляторів швидкості вагонів цей рівень коливається в межах 3 … 5 м/с. На сортувальних коліях точкові регулятори швидкості вагонів налаштовують на швидкість спрацьовування від 1 до 1,4 м/с.

Мета

Метою дослідження є аналіз та оцінка впливу способів зниження швидкості скочування відчепів до безпечного рівня на початку сортувальних колій на показники якості розділення відчепів на розділових стрілочних переводах спускної частини гірки та якості заповнення сортувальних колій вагонами в умовах обладнання сортувальної гірки системою розподіленого регулювання швидкості відчепів.

Методика

Технологію забезпечення якісного заповнення вагонами сортувальної колії з використанням точкових регуляторів швидкості вагонів можна розділити на два етапи, пов'язані з рішенням наступних задач:

1) знизити швидкість скочування відчепів до безпечного рівня швидкості підходу відчепів до вагонів на сортувальній колії;

2) підтримувати цей рівень швидкості протягом усього шляху скочування відчепа до точки прицілювання.

Другу задачу вирішують за допомогою системи розподіленого регулювання швидкості відчепів. Система являє собою низку точкових регуляторів швидкості вагонів, розташованих на сортувальній колії після паркової гальмової позиції. Щільність розташування точкових регуляторів швидкості вагонів на сортувальній колії та ухил сортувальної колії визначаються шляхом пошуку раціонального співвідношення між цими величинами [6].

У якості точкових регуляторів швидкості вагонів використовують або точкові вагонні уповільнювачі, або точкові вагонні пришвидшувачі-уповільнювачі. Але точкові прискорювачі-уповільнювачі не працюють автономно, вони потребують живлення від зовнішнього джерела енергії, тому більш поширене використання точкових вагонних уповільнювачів.

Що стосується першої задачі, те її можна вирішувати різними способами:

1) за допомогою влаштування на початку сортувальних колій паркової гальмової позиції, обладнаної балковими вагонними уповільнювачами;

2) за допомогою точкових вагонних уповільнювачів, які налаштовані на контрольну швидкість спрацьовування, яка поступово падає до рівня безпечної, починаючи від граничного стовпчика за останнім розділовим стрілочним переводом до початку зони накопичення вагонів;

3) за допомогою протиухилу на початку сортувальних колій (природної гальмової позиції).

Аналіз доцільності використання кожного із трьох способів зниження швидкості вагонів на сортувальних коліях до безпечного рівня дозволило виявити переваги й недоліки кожного з них у порівнянні з традиційною технологією з використанням стаціонарної паркової гальмової позиції, обладнаної балковими вагонними уповільнювачами.

В порівнянні з сортувальними гірками, не оснащеними системою розподіленого регулювання швидкості, алгоритм керування парковою гальмовою позицією значно спрощується, тому що всі відчепи можна випускати з гальмової позиції з однаковою швидкістю. Якщо точність реалізації заданої швидкості виходу відчепів із паркової гальмівної позиції невисока, є можливість ліквідувати погрішність точковими регуляторами швидкості вагонів, розташованими на сортувальній колії.

Дослідження виконано за допомогою моделювання процесу скочування відчепів з гірки, оснащеної системою розподіленого регулювання швидкості.

Результати

У результаті дослідження другого способу зниження швидкості відчепів з використанням точкових вагонних уповільнювачів виявлене збільшення ризику нерозділення відчепів на останніх розділових стрілочних переводах спускної частини гірки підчас послідовного скочування довгого легкого відчепа й наступного за ним короткого відчепа.

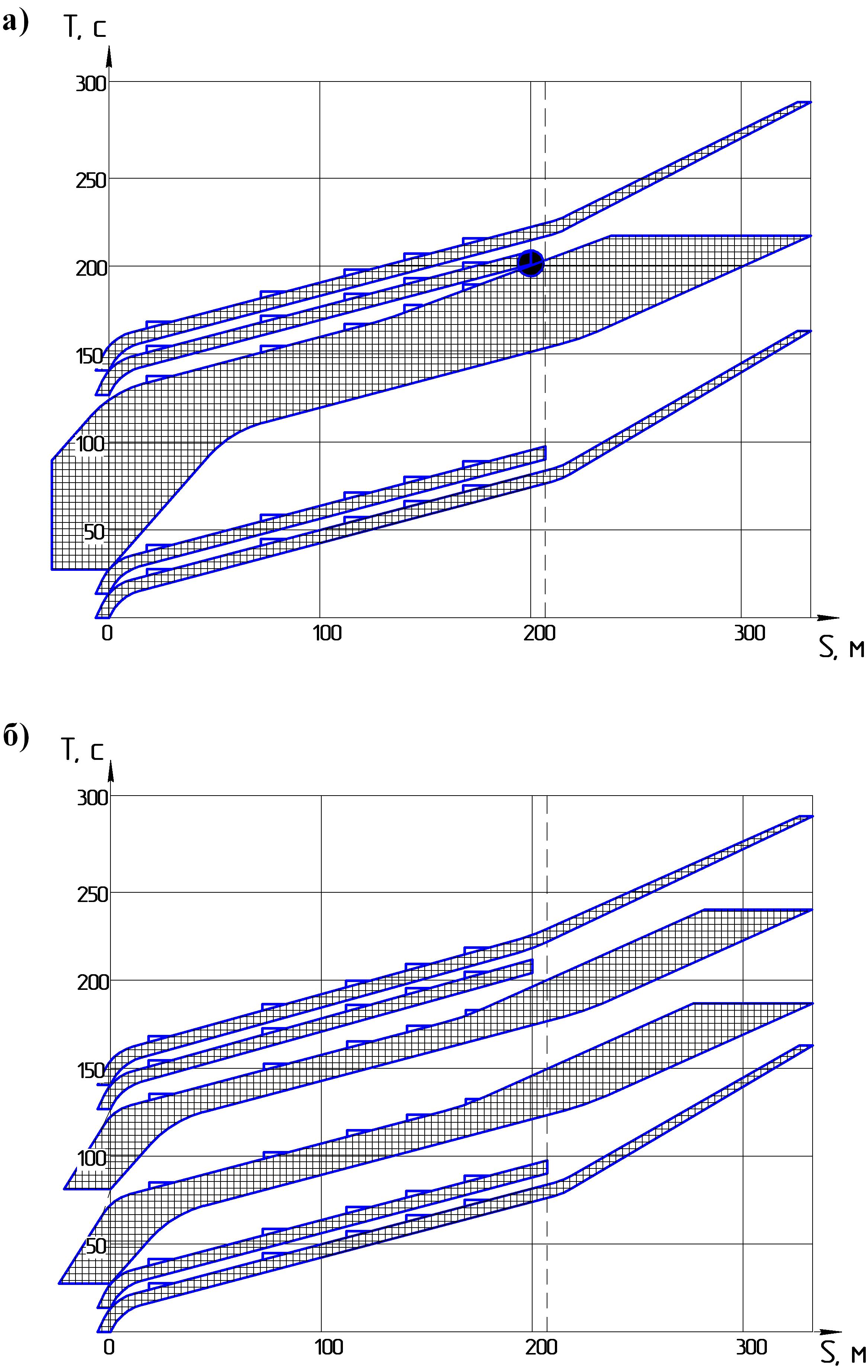
На рисунку показано, як міняється з часом положення відчепів, що скочуються з гірки в послідовності: одновагонний (короткий) відчеп – восьмивагонний (довгий) відчеп – одновагонний відчеп. Причому положення відчепів показане координатами першого й останнього автозчепних пристроїв відповідних відчепів.

На фрагменті а рисунка показані графіки скочування з гірки послідовності відчепів: короткий – довгий – короткий. Одновагонний відчеп, який скочується після восьмивагонного, наздоганяє його на останньому розділовому стрілочному переводі. Відбувається нерозділення відчепів. У результаті одновагонний відчеп прямує на чужу колію.

Таке відбувається тому, що, коли перші осі довгого відчепа вже гальмуються точковими вагонними уповільнювачами, налаштованими на меншу швидкість спрацьовування, останні осі ще перебувають у стрілочній зоні. Це призводить до того, що наступний короткий відчеп, осі якого гальмуються точковими вагонними уповільнювачами, налаштованими на більшу контрольну швидкість спрацьовування, може наздогнати попередній довгий відчеп.

Рис. 1.-– Графіки залежності тривалості скочування з гірки відчепів від їхнього положення в послідовності: а) одновагонний – восьмивагонний – одновагонний,

б) те саме, але восьмивагонний відчеп розділений навпіл

Fig. 1. Dependency graph of rolling down duration of cuts from humps from their position in the sequence: a) single-car – octagon-car - single-car,

b) it is the same, but octagoh-car is bisected


Швидкість довгого відчепа падає через гальмування його перших осей точковими вагонними уповільнювачами, налаштованими на меншу контрольну швидкість спрацьовування, чім ті, які розташовані в стрілочній зоні спускної частини гірки.

Цю проблему можна вирішити технічно або технологічно.

У якості технічного рішення пропонується відсунути далі від стрілочної зони початок зони установлення точкових вагонних уповільнювачів з меншою контрольною швидкістю спрацьовування, чім на спускній частині гірки. Але це може призвести до того, що ми не встигнемо знизити швидкість розрахункового відчепа з хорошими ходовими властивостями до безпечного рівня у випадку, коли сортувальна колія майже повністю заповнена вагонами й координата точки прицілювання розташована на початку сортувальної колії. У такий спосіб збільшується ризик ушкодження вагонів і вантажів через перевищення безпечної швидкості підходу відчепів до вагонів на сортувальній колії.

У якості технологічного рішення пропонується додатково розчіплювати довгі відчепи на більш короткі складачем на гірці. На фрагменті б рисунка показані графіки скочування з гірки восьмивагонного відчепа, розділеного на два чотиривагонні відчепи. Таким чином вирішують проблему нерозділення відчепів, але це призводить до небажаного додаткового навантаження на складача на сортувальній гірці.

Третій спосіб зниження швидкості відчепів на початку колій накопичення запропонований як альтернативний для зменшення кількості точкових регуляторів швидкості вагонів на сортувальних коліях.

Для зниження швидкості скочування відчепів до безпечного рівня на спускній частині гірки за останнім розділовим стрілочним переводом може бути запроектований протиухил, крутість якого має обмеження по максимально можливій різниці ухилів суміжних ділянок профілю 25 ‰. Довжина протиухилу розраховується таким чином, щоб за несприятливих умов наприкінці протиухилу швидкість розрахункового відчепа з поганими ходовими властивостями була на рівні 1,4 м/с.

Дослідження показало, що недоліки цього способу такі ж, як і у випадку використання точкових вагонних уповільнювачів для зниження швидкості відчепів на сортувальних коліях до безпечного рівня. До того ж є ще й ризик зупинки розпуску состава через неподолання протиухилу відчепом з поганими ходовими властивостями. Таке може трапитися у випадку зниження швидкості насуву состава на гірку або через перегальмування відчепів із поганими ходовими властивостями на гальмових позиціях спускної частини гірки в разі оснащення лише сортувальних колій системою розподіленого регулювання швидкості відчепів.

Наукова новизна та практична
значимість

Запропоновано три альтернативні способи зниження швидкості відчепів до безпечного рівня на початку сортувальних колій, проаналізовано вплив кожного способу на показники якості розділення відчепів на спускній частині гірки та показники якості заповнення сортувальних колій вагонами в умовах обладнання сортувальної гірки системою розподіленого регулювання швидкості відчепів.

Висновки

1. Проведений аналіз способів зниження швидкості скочування відчепів до безпечного рівня на початку сортувальних колій недоцільно використовувати протиухил на спускній частині гірки за останнім розділовим стрілочним переводом. Точкові регулятори швидкості вагонів можна використовувати для зниження швидкості скочування відчепів на початку сортувальних колій, але це приводить до погіршення умов розділення на останніх розділових стрілочних переводах довгих відчепів із наступними за ними короткими відчепами. Для усунення цієї проблеми рекомендується додатково розчіпляти довгі відчепи, особливо у випадках, коли за ними прямують короткі відчепи з розділенням на останніх розділових стрілочних переводах.

2. Недоцільно відсовувати зону розташування точкових вагонних уповільнювачів для зниження швидкості відчепів до безпечного рівня убік зони накопичення вагонів на сортувальних коліях, тому що тоді збільшується ризик не встигнути загальмувати важкі відчепи з гарними ходовими властивостями до безпечної швидкості підходу до вагонів на сортувальній колії. Питання де починати зону розташування точкових вагонних уповільнювачів для зниження рівня швидкості відчепів потребує додаткових досліджень.

3. Зниження швидкості скочування відчепів на початку сортувальних колій можна здійснювати за допомогою балкових вагонних уповільнювачів на стаціонарній парковій гальмовій позиції. Алгоритм керування парковою гальмовою позицією доволі простий. Всі відчепи треба випускати з неї з безпечною швидкістю. Якщо точність реалізації заданої швидкості виходу відчепів із паркової гальмової позиції невисока, то є можливість ліквідувати погрішність точковими регуляторами швидкості вагонів.

СПИСОК ВИКОРИСТАНИХ ДЖЕРЕЛ

  1. Бобровский, В. И. Анализ влияния параметров продольного профиля сортировочной горки на динамику скатывания отцепов / В. И. Бобровский, А. И. Колесник // Транспортні системи та технології перевезень : зб. наук. пр. Дніпропетр. нац. ун-ту залізн. трансп. ім. акад. В. Лазаряна. – Дніпропетровськ, 2012. – Вип. 3.C. 10–14.

  2. Бобровський, В. І. Регулювання швидкості скочування відчепів на автоматизованих сортувальних гірках / В. І. Бобровський, А. С. Дорош // Розвиток наукової та інноваційної діяльності на транспорті : тези доп. 77 міжнар. наук.-практ. конф. (21.0423.04.2015) / Укр. держ. акад. залізн. трансп. – Харків, 2015. – С. 281–282.

  3. Козаченко, Д. М. Дослідження допустимих режимів гальмування відчепів на сортувальних гірках / Д. М. Козаченко // Восточно-Европ. журн. передовых технологий. – 2013. – № 4/3 (64). – С. 25–28.

  4. Назаров, А. А. Анализ возможности применения систем квазинепрерывного регулирования скорости отцепов типа DOWTY на сортировочных горках / А. А. Назаров // Зб. наук. пр. Київ. ун-ту економіки і технологій трансп. Серія: «Транспортні системи і технології». – Київ, 2003. – Вып. 4. С. 61–66.

  5. Назаров, О. А. Ефективність систем розподіленого регулювання швидкості вагонів на сортувальних коліях / О. А. Назаров // Вісн. Дніпропетр. нац. ун–ту залізн. трансп. ім. акад. В. Лазаряна. – Дніпропетровськ, 2010. – Вип. 34. – С. 193198.

  6. Назаров, А. А. Определение рационального соотношения между уклоном сортировочного пути и плотностью расстановки точечных регуляторов скорости отцепов / А. А. Назаров // Транспортні системи та технології перевезень : зб. наук. пр. Дніпропетр. нац. ун-ту залізн. трансп. ім. акад. В. Лазаряна. – Дніпропетровськ, 2012. – Вип. 3. – С. 77–80.

  7. Огар, О. М. Дослідження ефективності застосування технології гравітаційно-прицільного гальмування відчепів / О. М. Огар, К. В. Таратушка // Транспортні системи та технології перевезень : зб. наук. пр. Дніпропетр. нац. ун-ту залізн. трансп. ім. акад. В. Лазаряна. – Дніпропетровськ, 2015. – Вип. 9. – С. 49–56. doi: 10.15802/tstt2015/49354.

  8. Analysis of Hump Automation in China / C. Zhang, Y. Wei, G. Xiao [et al.] // Traffic and Transportation Studies : Proc. оf Second Intern. Conf. (31.0702.08.2000). Beijing, China, 2000. – P. 285290. doi: 10.1061/40503(277)45.

  9. Dorosh, A. S. Determination of Braking Optimal Mode of Controlled Cut of Design Group / A. S. Dorosh // Наука та прогрес транспорту. 2015. № 3 (57). С. 3644. doi: 10.15802/stp2015/46044.

  10. Dreyer, A. I. Sentrarand Marshalling Yard: the mechanical engineering involvement / A. I. Dreyer, J. S. F. Marais, H. J. Steyn // Die siviele ingenieur in Suid-Afrika. 1982. Nov. – Р. 608–611, 613–614.

  11. Lanchin, W. Speed Control and Braking System Automation of Wagon Parking System / W. Lanchin, M. M. Santos, A. B. Lugli // Industry Applications (Induscon) : 11th IEEE/IAS Intern. Conf. (7.1210.12.2014). – Juiz de Fora, 2014. – Р. 16. doi: 10.1109/INDUSCON.2014.7059395.

  12. Probabilistic Approach for the Determination of Cuts Permissible Braking Modes on the Gravity Humps / V. Bobrovskyi, D. Kozachenko, A. Dorosh, E. Demchenko, T. Bolvanovska, A. Kolesnik // Transport problems. Problemy transportu. – 2016. Vol. 11. – Iss. 1. P. 147155. doi: 10.20858/tp.2016.11.1.14.

  13. Zhang, C. Analysis of Over-speed Coupling Accidents on Hump based on Fuzzy Petri Net / C. Zhang, Y. Li // Industrial Engineering and Engineering Management (IE&EM) : 17th Intern. Conf. (29.10–31.10.2010). – Xiamen, 2010. – Р. 1014–1018. doi: 10.1109/ICIEEM.2010.5646453.

А АНАЗАРов1*

1*Каф. «Станции и узлы», Днепропетровский национальный университет железнодорожного транспорта имени академика В. Лазаряна, ул. Лазаряна, 2, Днепропетровск, Украина, 49010, тел./факс +38 (067) 636 43 22, эл. почта lyo8771@mail.ru, ORCID 0000-0001-8837-2041


СНИЖЕНИЕ СКОРОСТИ ОТЦЕПОВ В НАЧАЛЕ

СОРТИРОВОЧНЫХ ПУТЕЙ, Оснащенных

СИСТЕМОЙ РАСПРЕДЕЛЕННОГО

РЕГУЛИРОВАНИЯ СКОРОСТИ


Цель. Четкая и бесперебойная работа сортировочных горок зависит от качества технических средств и технологии регулирования скорости отцепов. На большинстве сортировочных горок используется технология интервально-прицельного регулирования скорости отцепов. В статье необходимо проанализировать способы снижения скорости скатывания отцепов до безопасного уровня в начале сортировочных путей, оснащенных системой распределенного регулирования скорости. Методика. Предложены три принципиально разные способы снижения скорости скатывания отцепов в начале сортировочных путей. С помощью моделирования процесса скатывания отцепов с горки, оснащенной системой распределенного регулирования скорости, проведен анализ способов снижения скорости скатывания отцепов до безопасного уровня в начале сортировочных путей. Результаты. По результатам анализа установлена нецелесообразность использования противоуклона на спускной части горки за последним разделительным стрелочным переводом. Точечные регуляторы скорости вагонов можно использовать для снижения скорости скатывания отцепов в начале сортировочных путей, но это приводит к ухудшению условий разделения на последних разделительных стрелочных переводах длинных отцепов со следующими за ними короткими отцепами. Снижение скорости скатывания отцепов в начале сортировочных путей можно осуществлять с помощью балочных вагонных замедлителей на стационарной парковой тормозной позиции. Алгоритм управления парковой тормозной позицией довольно прост. Все отцепы надо выпускать из нее с безопасной скоростью. Если точность реализации заданной скорости выхода отцепов с парковой тормозной позиции невысокая, то есть возможность ликвидировать погрешность точечными регуляторами скорости вагонов. Научная новизна. Авторами выявлена противоречивая взаимозависимость между показателями качества разделения отцепов на разделительных стрелочных переводах спускной части горки и качеством заполнения сортировочных путей вагонами в условиях оборудования сортировочной горки системой распределенного регулирования скорости отцепов. Практическая значимость. Результаты исследования могут быть использованы в случае оснащения сортировочной горки системой распределенного регулирования скорости отцепов.

Ключевые слова: сортировочная горка; сортировочный путь; уклон пути; отцеп; точечные вагонные замедлители; тормозная позиция; система распределенного регулирования скорости


O. A. NAZAROV1*


1*Dep. «Stations and Junctions», Dnipropetrovsk National University of Railway Transport named after Academician V. Lazaryan, Lazaryan St., 2, Dnipropetrovsk, Ukraine, 49010, tel./fax +38 (067) 636 43 22, e-mail lyo8771@mail.ru, ORCID 0000-0001-8837-2041


REDUCTION IN CUTS SPEED AT THE BEGINNING

OF A
MARSHALLING TRACKS, EQUIPPED

WITH SYSTEM OF DISTRIBUTED SPEED CONTROL


Purpose. The article discusses ways to reduce the rolling cut speed to a safe level at the beginning of the sorting sidings equipped with quasi-continuous speed control system. Equipment of a hump yard by quasi-continuous speed control of cuts will allow excluding at the most the human factor from process of regulation of speed of cuts on roll-down parts of a hump yard. Methodology. The analysis of the ways to reduce rolling cut speed to a safe level at the beginning of the sorting sidings inappropriate use opposite slope on the roll-out part of the hump after the last separation switch point. Spot regulators cars speed can be used to reduce the rolling speed cut at the beginning of the sorting sidings, but this leads to a deterioration of conditions in the last division separating switch points long cut the following short cut them. Findings. To resolve this problem, we recommend further uncouple cut long, especially when they are followed by short cut the division on the last dividing switch points. It is inappropriate to remove the location of the zone of point of wagon retarders for reducing cut speed to a safe level in the direction of the accumulation zone wagons in sorting sidings, because then increases the risk not to have time to brake hard to cut from the good driving characteristics to a safe approach speed to the cars on the sorting siding. Originality. The question where to start location point of wagon retarders zone to reduce speed to cut level requires additional research. Reducing rolling cut the speed at the beginning of the sorting sidings can be carried out using the beam on a stationary wagon retarders park brake position. Practical value. Control Algorithm park brake position is quite simple. All produce should be cut from it at a safe speed. If the accuracy of the implementation of the set speed output to cut from the park brake position is low, it is possible to eliminate the error of point regulators cars speed.

Keywords: hump; sorting siding; slope of siding; cut; point car retarders; brake position, quasi-continuous speed control system


references

  1. Bobrovskiy V.I., Kolesnik A.I. Analiz vliyaniya parametrov prodolnogo profilya sortirovochnoy gorki na dinamiku skatyvaniya ottsepov [Analysis of the effect of the parameters of longitudinal profile hump on the dynamics of rolling unhook]. Zbirnyk naukovykh prats Dnipropetrovskoho natsionalnoho universytetu zaliznychnoho transportu imeni akademika V. Lazariana «Transportnі sistemi ta tekhnologії perevezen» [Proc. «Transport systems and transportation technologies»], 2012, issue 3, pp. 10-14.

  2. Bobrovskyi V.I., Dorosh A.S. Rehuliuvannia shvydkosti skochuvannia vidchepiv na avtomatyzovanykh sortuvalnykh hirkakh [Rolling-down speed control of cuts on automated humps ]. Tezy dopovidei 77-yi mizhnarodnoi naukovo-praktychnoi konferentsii «Rozvytok naukovoi ta innovatsiinoi diialnosti na transporti» (21.04-23.04.2015) [Proc. of 77th Int. Sci. and Practical. Conf. «Development of Scientisic and innovative activity at transport»]. Kharkiv, 2015, pp. 281-282.

  3. Kozachenko D.M. Doslidzhennia dopustymykh rezhymiv halmuvannia vidchepiv na sortuvalnykh hirkakh [Research of permissible braking modes of cuts on humps]. Vostochno-Yevropeyskiy zhurnal peredovykh tekhnologiy – East Europian Journal of Advaced Technologies, 2013, no. 3 (64), vol 4, pp. 25-28.

  4. Nazarov A.A. Analiz vozmozhnosti primeneniya sistem kvazinepreryvnogo regulirovaniya skorosti ottsepov tipa DOWTY na sortirovochnykh gorkakh [Application possibility analysis of systems of quasi-continuous speed control of cuts, type DOWTY on humps]. Zbirnyk naukovykh prats Kyivskoho univiversytetu ekonomiky i tekhnolohii transportu. Seriia «Transportni systemy i tekhnolohii» [Proc. of Kyiv University of Economy and Transport Technology. Series «Transport systems and transportation technologies»]. Kyiv, 2004, issue 4, pp. 61-66.

  5. Nazarov O.A. Efektyvnist system rozpodilenoho rehuliuvannia shvydkosti vahoniv na sortuvalnykh koliiakh [The effectiveness of the systems of distributed control the speed of the car at the sorting path]. Visnyk Dnipropetrovskoho natsionalnoho universytetu zaliznychnoho transportu imeni akademika V. Lazariana [Bulletin of Dnipropetrovsk National University of Railway Transport named after Academician V. Lazaryan], 2010, issue 34, pp. 193-198.

  6. Nazarov A.A. Opredeleniye ratsionalnogo sootnosheniya mezhdu uklonom sortirovochnogo puti i plotnostyu rasstanovki tochechnykh regulyatorov skorosti ottsepov [Determination of rational betweenness by slope of sorting siding and dencity of placing of point cut speed regulators]. Zbirnyk naukovykh prats Dnipropetrovskoho natsionalnoho universytetu zaliznychnoho transportu imeni akademika V. Lazariana «Transportnі sistemi ta tekhnologії perevezen» [Proc. «Transport systems and transportation technologies»], 2012, issue 3, pp. 77-80.

  7. Ohar O.M., Taratushka K.V. Doslidzhennia efektyvnosti zastosuvannia tekhnolohii hravitatsiino-prytsilnoho hal-muvannia vidchepiv [Research of efficiency of application of technology of gravitational-targeted inhibition of cuts]. Zbirnyk naukovykh prats Dnipropetrovskoho natsionalnoho universytetu zaliznychnoho transportu imeni akademika V. Lazariana «Transportnі sistemi ta tekhnologії perevezen» [Proc. «Transport systems and transportation technologies»], 2015, issue 9, pp. 49-56. doi: 10.15802/tstt2015/49354.

  8. Zhang C., Wei Y., Xiao G., Wang Z., Fu J. Analysis of Hump Automation in China . Traffic and Transportation Studies, 2000, pp . 285–290. doi: 10.1061/40503(277)45.

  9. Dorosh A.S. Determination of Braking Optimal Mode of Controlled Cut of Design Group. Nauka ta prohres transportu – Science and Transport Progress, 2015, no. 3 (57), pp. 3644. doi: 10.15802/stp2015/46044.

  10. Dreyer A.I., Marais J.S.F., Steyn H.J. Sentrarand Marshalling Yard: the mechanical engineering involvement. Die siviele ingenieur in Suid-Afrika, 1982, November, pp. 608-611, 613-614.

  11. Lanchin W., Santos M.M.,Lugli A.B. Speed Control and Braking System Automation of Wagon Parking System. Industry Applications (Induscon): 11th IEEE/IAS Intern. Conf. (7.12–10.12.2014). Juiz de Fora, 2014, pp. 1-6. doi: 10.1109/INDUSCON.2014.7059395.

  12. Bobrovskyi V., Kozachenko D., Dorosh A., Demchenko E., Bolvanovska T., Kolesnik A. Probabilistic Approach for the Determination of Cuts Permissible Braking Modes on the Gravity Humps. Transport problems Problemy transportu, 2016, vol. 11, issue 1, pp. 147-155. doi: 10.20858/tp.2016.11.1.14.

  13. Zhang C., Li Y. Analys is of Over-speed Coupling Accidents on Hump based on Fuzzy Petri Net. Industrial Engineering and Engineering Management (IE&EM): 17Th Intern. Conference on (29.10-31.10.2010). Xiamen, IEEE, 2010, pp. 1014-1018. doi: 10.1109/ICIEEM.2010.5646453.


Стаття рекомендована до публікації д.т.н., проф. В. І.Бобровським (Україна); д.т.н., проф. О. М. Огарем (Україна)



Надійшла до редколегії: 21.03.2016

Прийнята до друку: 04.07.2016



© О. А Назаров 2016