ISSN 2307–3489 (Print), ІSSN 2307–6666 (Online)

Наука та прогрес транспорту. Вісник Дніпропетровського
національного університету залізничного транспорту, 2016, № 3 (63)



РУХОМИЙ СКЛАД І ТЯГА ПОЇЗДІВ

UDc 621. 822.6.031:621.891

L. M. BONDARENKO1, M. O. BABYAK2, S. O. YAKOVLEV3*, S. O. ISTIN4,
G. YU. MOSKALEV5

1Dep. «Applied Mechanics», Dnipropetrovsk National University of Railway
Transport named
after Academician V. Lazaryan, Lazaryan St., 2,
Dnipropetrovsk, Ukraine
, 49010, tel. +38 (056) 793 19 19, e-mail admin_diit@inbox.ru,
ORCID 0000-0000-0001-6602-2745
2Dep. «Transportation Technologies», Lviv branch of Dnipropetrovsk National
University of Railway Transport named after
Academician V. Lazaryan,
I. Blazhkevich St., 12a, Lviv, Ukraine, 79052, tel. +38 (097) 907 50 72, e-mail babjk@mail.ru,

ORCID 0000-0001-5125-9133
3*Dep. «Military Training of Specialists of the State Special Service of Transport»,
Dnipropetrovsk National University of Railway Transport named after
Academician V. Lazaryan, Lazaryan St., 2, Dnipropetrovsk, Ukraine
, 49010,
tel. +38 (056) 793 19 19, e-mail Sergei_jak@mail.ru, ORCID 0000-0002-6431-4303
4Dep. «Military Training of Specialists of the State Special Service of Transport»,
Dnipropetrovsk National University of Railway Transport named after
Academician V. Lazaryan, Lazaryan St., 2, Dnipropetrovsk, Ukraine
, 49010,
tel. +38 (056) 793 19 19, e-mail admin_diit@inbox.ru, ORCID 0000-0002-8114-8722
5Dep. «Military Training of Specialists of the State Special Service of Transport»,
Dnipropetrovsk National University of Railway Transport named after
Academician V. Lazaryan, Lazaryan St., 2, Dnipropetrovsk, Ukraine
, 49010,
tel. +38 (056) 793 19 19, e-mail admin_diit@inbox.ru, ORCID 0000-0002-9335-7716

RELATIONSHIP BETWEEN ROLLING

AND SLIP RESISTANCE
IN ROLLING BEARINGS

Purpose. About one of the causes of slip rolling is known from the second half of the 19th century, it was believed that the slip resistance appears at the place of contact due to different speeds on the arc of contact. Only in the mid-20th century it was proved that this resistance is negligible in rolling resistance. However (for some unknown reason) it is ignored the fact that in practice in rolling bearings may rotate both the inner ring with a stationary outer one, and vice versa almost in equal relations. It is not taken into account the fact that the ball or roller in the rolling bearings runs the different distance along the roller path of the outer and inner bearing cages in one revolution. This fact is not taken into account in determining the calculated values for the friction coefficient of a rolling bearing reduced to the shaft. Therefore, the aim of this work is to determine the influence of path length on the track riding the outer and inner race of the bearing on the determination of the calculated value of the coefficient of friction of rolling bearings is given to the shaft. Methodology. The solution technique is based on the theory of plane motion of a rigid body, the theory of Hertzian contact deformation and the analytical dependencies for determination of coefficient of rolling friction. Findings. The obtained dependences on determination of rolling resistance of the balls or rollers along the bearing tracks of inner and outer bearing cages as well as path difference metering of the rolling on them allows to analytically obtain the rolling resistance and slipping for any size of bearings and different devices of bearing units. It is also possible at the design stage of rolling nodes to handle not only the design but also the content of the node. Originality. Using the analytical dependences for determination of the rolling resistance of bodies at point and line contacts, and also account for the difference in the path of the rolling ball or roller on the outer and inner cages of the bearing one can more accurately find the rolling resistance in the bearings.
Practical value. The obtained dependences allow designing the bearing units with minimal energy consumption.

Keywords: bearing; slip; rolling; contact; voltage; resistance

Introduction

It is considered that ball and roller bearings can replace the slipping friction by rolling friction appearing during the rolling of balls or rollers on the inner and outer beating cage in the rotating pair [4, 10, 13]. However, for some unknown reason it is ignored the fact that in practice in rolling bearings may rotate both the inner ring with a stationary outer one, and vice versa almost in equal relations.

The rolling resistances appearing at this have different values and during the rotation of outer ring the causes are analogous to the problem considered by the ancient Greek mathematician Heron [3] when moving two cylinders of different diameters with a rigid connection. However, without having even the laws of friction and even more the laws of rolling his arguments have philosophical nature.

Without complete rejecting the influence of slipping friction on the resistance in the rolling bearings let us note that the first analytical dependence on its definition obtained O. Reynolds [15]. However, his theory was wrong, because he believed that the reason of rolling resistance lies in the slipping in the contact place. If so (it was not doubted, because of sizable reputation of the author), the rolling bearings were also lubricated as the slipping bearings. Another reason Reynolds could not have imagined as yet there was no theory of Hertzian contact deformation. Only 90 years later, D. Tabor [16] showed by experiments that the role of slipping during rolling is small. The theoretical dependences for the determination of the rolling friction coefficient also belong to him. At the linear contact the rolling friction coefficient is

(1)

at the point contact

(2)

where is the half-width of the contact area according to Hertz; – is the coefficient of hysteresis losses.

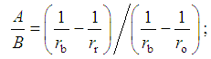
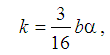
Since the experimental determination of the coefficient requires considerable time and money, the works [1, 2, 6, 9] proposed the experimentally-analytical dependence to determine, which contains only generally accepted dimensions and mechanical contacts.

By analogy with (1) and (2) the formulas are obtained in the form

(3)

(4)

where r – is the radius of the rolling body in meters.

The unresolved parts of the problem should include solution of the two following problems.

One of the first is the problem related to the Reynolds mistake. Since the main reason of the rolling resistance is the slip, in the works [7, 10, 14] the rolling friction coefficients of the roller along the outer and inner cages are taken as the equal and the tangential force from the reaction of the roller (Fig. 1, a)

(5)

а

b


Fig. 1. To the determination of tangential force during rotation of the inner cage [10] (a) and velocity
of the points of the outer cage and the ball (b)

The second problem to be solved is accounting which cage is the rotating one. In practice in rolling bearings may rotate both the inner ring with a stationary outer one, and vice versa. The reference literature does not take into account this fact. For example, the efficiency coefficient of the groove pulley is given equal, although any cage can rotate, especially with fixed blocks.

The peculiarity of the bearing functioning is that the balls (rollers) run different distances per revolution of inner or outer cage.

At the simplified diagram of the bearing the problem can be solved as follows. If the outer cage rotates with angular velocity (Fig. 1, b), the velocity of the point 1 as the point belonging to the outer cage is

(6)

where the letters i, o, b – is belonging of the sizes and velocities to the inner, outer cages and the ball; n – is the rotation frequency of both inner and outer cages.

Naturally, the instantaneous velocity center of this cage will be located at the point 2 of the contact with the ball. Assuming that the slippage between the outer cage and the ball is absent, then .

The length of the roller track on the outer cage is, and on the inner one is and the difference of distance will be. That is, at this distance the roller slipping on the inner cage will take place.

In the case of inner cage rotation with the fixed outer cage, the difference suggests that on the outer cage the roller will pass a distance equal to the distance on the inner cage.

Purpose

The article is aimed to find analytically reduced coefficient of friction of the ball and roller bearings taking into account the different values of the rolling friction coefficient on the outer and inner cages and take into account the difference in the rolling distance over them.

Methodology

The solution technique is based on the theory of plane motion of a rigid body, the theory of Hertzian contact deformation and the analytical dependencies for determination of coefficient of rolling friction.

Findings

1. Ball bearing (Fig. 1).

The number of balls in the bearing [8] according to the assembly condition

(7)

The force acting on the most loaded ball

(8)

Ball radius

(9)

The radius of raceway of the bearing track

(10)

If the number of balls is the load on bearing Q (for example, at z = 10)

(11)

where – is the angle between the balls (here ).

On that basis the load on the side balls is

(12)

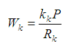
The value of half-widths of the contact areas in the formulas (5) and (6) are determined using the expressions:

(13)

where – is the coefficient depending on the equation of contact ellipse

In formulas (6)–(9) D – is the outer diameter of the bearing; d – is the inner diameter of the bearing; – is the radius of the bearing track of the inner ring. With for the most loaded ball one should substitute the value, and for the lateral ball depending on the number of balls.

When the ball rolling on the outer ring

(14)

where is determined as the function

where – is the radius of the bearing track of the outer ring.

To take into account the influence of the bearing size on the efficiency coefficient of the groove pulley and the resistance coefficient to the motion of the crane wheels let us consider two rolling bearing of one series, but with substantially different sizes.

1.1. The bearing no. 304: d=20 mm, D=52, static load Q= 7.94 kN, average diameter mm, mm, number of balls z=7 at

Half-width of the contact areas of the ball loaded by the force : with the inner cage ; with the outer ring . Accordingly, loaded by the force N of the lateral balls: ; . The rolling resistance of the most loaded ball: on the inner ring with a coefficient of rolling friction , on the outer ring ; two lateral balls on the inner ring and at .

Let us find the work of forces of rolling friction per revolution of the inner and outer rings:

during rotation of the inner ring

during rotation of the outer ring

The total work of the rolling friction forces of the balls on the inner and outer rings, excluding the sliding friction of balls , taking into account the slipping

,

i.e. the half of the rolling resistance at f=0,1 (grease) accounts for slipping in this ball bearing during rotation of the outer ring.

Using this bearing it is difficult to determine the coefficient values of motion resistance and the friction of bearing reduced to the trunnion, which are used for calculation of the resistances in the running gears of the cranes and groove pooleys because of the small value of Q.

1.2. Bearing no. 312: d=20 mm, D=130 mm, Q=4,94 kN, , , , , ; ; .

By analogy with the preceding bearing let us write: , , ; , at , ; , .

The work of forces of the rolling friction: at the rotation of the ring, N/m

of the outer ring taking into account the slipping friction of the balls due to the different diameters of the inner and outer rings, N/m

In this bearing the slipping resistance 3 times exceeds the rolling resistance.

The values in the formulas (15) and (16) considering the coefficient that takes into account the friction of flanges (supporting cranes, central drive, conical wheel rim)

With two bearings no. 312 with a total static load the movement of the crane wheel with the diameter along the rail KR-70 with a radius of curvature is possible [12].

Rolling resistance with this diameter should be determined taking into account the hysteresis loss coefficient [2, 6, 7, 8]

(17)

where – in meters.

Comparison of the formulas (6) and (15) shows that that for this class of problems the coefficient is quite accurately determined by the exponential.

Half-width of the contact area with the circuit of contact «cylinders with mutually perpendicular axes» [11] is equal to

(18)

where – is a coefficient depending on the ratio and equal to ; at this mm, mm with the value recommended in the work [8] for the diameters of 400 mm, 500, 560 and 630 mm.

Rolling resistance of the wheel

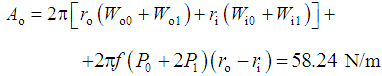
(19)

is equal to 365.3 N and the work of the rolling friction force per revolution of the inner cage will be , and with accounting of the flange friction is .

Thus, the work of the friction forces per one revolution of the inner cage of the bearing will be , and during rotation of the outer bearing cage , i.e. it is about 2.7 times more.

On the basis of these data the motion resistance coefficient is , and at the recommended value with the rolling bearings and wheel diameters from 200 to 400 mm [11].

The data obtained for the bearing no. 304 are used for determination of the efficiency coefficient of the running and stationary blocks with rotation of the inner (Fig. 2, a, b, c) and outer (conventional design) rings.

а

b


Fig. 2. Recommended supports of the blocks
with the rotation of the inner ring of the bearings

Based on the static carrying capacity of the one bearing for the scheme «a» we will take as equal to this value. The breaking tension of the rope will be taken as

the rope with diameter corresponds to this, diameter of the block .

Effective work when rotating the block for one revolution

The work of friction forces in the bearing during rotation of the inner ring

Efficiency coefficient of the block scheme «а»

During rotation of the outer ring N/m and

i.e. the difference in the efficiency coefficient of the block is 1.8%.

At the scheme «b» (the running block) the value Q with the same bearings is 15.88 kN and the work of effective force per revolution will be the same value as in the previous scheme, the value of the efficiency coefficient will be the same.

It should be noted that the recommended value of efficiency coefficient for the rolling bearing is 0.970.98, which is close to the obtained value

In spite of slight difference in the values of efficiency coefficient when rotating the inner and outer ring of the bearings (1.8%), it should be noted that even at the five bearings, this difference is about 9.6%, which, obviously, should be taken into account when calculating and designing.

Here, during the calculation of the friction works the work for the rope bend on the block is not taken into account. However, as shown in [12], a decrease in the rope contact angle of block does not lead to decrease in its efficiency coefficient, which is clearly associated with a decrease in pressure on the balls, and naturally a decrease of friction forces in the same degree.

It should also be noted that the diameter of the worn-in rolling bearing sleeve equal to the inner diameter of the rolling bearing no. 312 with and we obtain the moment on the trunnion , where is a coefficient of sliding friction.

With the known work of the frictional forces during rotation of the outer ring in one revolution the required value of the coefficient is and a one order less than its value with the liquid lubricant.

2. Roller bearing. Let us consider the bearing of the medium narrow series no. 2306 with the following dimensions: , , the diameter roller , the number of rollers, the radius of the bearing track of the inner ring , and the same of the outer ring .

The force acting on the most loaded roller [10]

(22)

on the lateral rollers

(23)

The works [5, 6] proved that if the load is applied to a group of bodies according to the cosine law, to determine the resistance to their rolling the entire load can be applied to a single body, i.e. the rolling resistance of all five rollers on the inner ring at the linear contact is determined using the expression:

(24)

on the outer ring

(25)

The rolling friction coefficient is determined from the formula (1) with and will be , accordingly.

The rolling resistance of the rollers: on the outer cage is , on the inner one is .

The work of friction forces of the rolling and slipping

On the inner and outer cages

with the coefficient of friction rolling of the rollers on the inner cage .

Coefficient of the motion resistance is:

at the rolling of the inner cage ;

at the rolling of the outer cage with the recommended value [12] for the wheels with diameter up to 700 mm .

Originality and practical value

Analytical dependences for determining the reduced coefficient of friction for steel wheels and pulleys efficiency coefficient of the groove pulleys were obtained.

These formulas make it possible for the designer to operate not only the design, but also the materials of units at the design stage of rolling units.

Conclusions

Analysis of the obtained formulas and calculation results makes it possible to make the following conclusions and recommendations:

because of the different diameters of the bearing tracks of the inner and outer rings of the rolling bearings and, consequently, because of the different path of the balls or rollers during rotation of the outer ring (with fixed inner one) occurs balls or rollers slipping on the inner ring;

value of sliding friction in rolling bearings is approximately 50% from the total in ball bearings and about 30% in roller bearings (as a result of different diameter of balls and rollers); consequently, the efficiency coefficient of the groove pulley decreases by about 2%, and the resistance coefficient of the crane wheels by about 15%;

when constructing the rolling units of rolling bearings the preference should be given to the rotation of the inner cage, especially for machines with their serial connection (railway trains, belt conveyors, etc.).

LIST OF REFERENCE LINKS

  1. Астахов, В. Н. Оценка режимов трения и смазки в подшипниках осевого подвешивания локомотивов / В. Н. Астахов, Е. Н. Лысиков, П. Е. Коновалов // Вісн. Дніпропетр. нац. ун-ту залізн. трансп. ім. акад. В. Лазаряна. – Дніпропетровськ, 2012. – Вип. 40. – С. 55–61.

  2. Бондаренко, Л. М. Деформаційні опори в машинах / Л. М. Бондаренко, М. П. Довбня, В. С. Ловейкін. – Дніпропетровськ : Дніпро-VAL, 2003. – 200 с.

  3. Бондаренко, Л. Н. Соотношения между работами сил трения качения и скольжения в парадоксе Герона / Л. Н. Бондаренко, Т. В. Матвиец, В. Д. Бондаренко // Efektivní nástroje moderních věd–2011 : materiály VI mezinárodní vědecko-praktická konference
    (27.05–05.06.2011). – Praha, 2011. – P. 27–79.

  4. Волков, Н. Н. Подшипники качения колесных пар вагонов и локомотивов. Исследование, расчет и конструирование / Н. Н. Волков, Н. В. Родзевич. – Москва : Машиностроение, 1972. – 167 с.

  5. Гура, Г. С. Качение тел с трением. Фреттинг : монография / Г. С. Гура. – Сочи : Дория, 2009. – 295 с.

  6. Джонсон, К. Механика контактного взаимодействия / К. Джонсон. – Москва : Мир, 1989. – 510 с.

  7. Дяченко, П. В. Моделювання впливу підшип-ників кочення на демпфування коливань у зачепленні зубчастих коліс / П. В. Дяченко // Вісн. Дніпропетр. нац. ун-ту залізн. трансп. ім. акад. В. Лазаряна. – Дніпропетровськ, 2011. – Вип. 36. – С. 16–24.

  8. Иванов, М. Н. Детали машин / М. Н. Иванов. – Москва : Высш. шк., 1975. – 551 с.

  9. Карпенко, В. А. Взаимозаменяемость, стандартизация и технические измерения : учеб. пособие для вузов / В. А. Карпенко. – Севастополь : Изд-во СевНТУ, 2007. – 372 с.

  10. Кожевников, С. Н. Теория механизмов и машин / С. Н. Кожевников. – Москва : Машиностроение, 1969. – 584 с.

  11. Писаренко, Г. С. Справочник по сопротивлению материалов / Г. С. Писаренко, А. П. Яковлев, В. В. Матвеев. – 2-е изд., перераб. и доп. – Киев : Наук. думка, 1988. – 736 с.

  12. Справочник по кранам. В 2 т. Т. 2 / М. П. Алек-сандров, М. М. Гохберг, А. А. Ковин [и др.]. – Ленинград : Машиностроение,1988. – 559 с.

  13. Умови кочення без проковзування тіл при різних схемах дотику / Л. М. Бондаренко, С. О. Яковлєв, І. Е. Крамар, О. І. Шаптала // Conduct of modern science–2014 (30.11–7.12.2014) : Materials of the X Intern. Sci. and Practical Conf. – Sheffield, 2014. – T. 23. – P. 12–17.

  14. Multi-scale finite element modeling to describe rolling contact fatigue in a wheel–rail test rig / M. Pletz, W. Daves, W. Yao [et al.] // Tribology International. – 2014. – Vol. 80. – P. 147–155. doi: 10.1016/j.triboint.-2014.07.005.

  15. Reynolds, O. On rolling friction / O. Reynolds // Proc. of the Royal Society of London. – 1874. – Vol. 23. – Iss. 156-163. – P. 506–509. doi: 10.1098/rspl.1874.0080 .

  16. Tabor, D. The mechanism of Rolling Friction. II. The Elastic Range / D. Tabor // Proc. of the Royal Society A: Mathematical, Physical and Engi-neering Sciences. – 1955. – Vol. 229. – Iss. 1177. – P. 198–220. doi: 10.1098/rspa.1955.0082.

Л. М. Бондаренко1, Н. О. Бабяк2, С. О. Яковлєв3*, С. О. ІстІн4,
Г. Ю. МоскалЬОв5

1Каф. «Прикладна механіка», Дніпропетровський національний університет
залізничного транспорту імені академіка
В. Лазаряна, вул. Лазаряна, 2,
Дніпропетровськ, Україна, 49010, тел. +38 (056) 793 19 19,
ел. пошта admin_diit@inbox.ru, ORCID 0000-0000-0001-6602-2745

2Каф. «Транспортні технології», Львівська філія, Дніпропетровський
національний університет
залізничного транспорту імені академіка В. Лазаряна,
вул. І. Блажкевич, 12а, Львів, Україна
, 79052, тел. +38 (097) 907 50 72,
ел. пошта babjk@mail.ru,
ORCID 0000-0001-5125-9133
3*Каф. «Військова підготовка фахівців Державної спеціальної служби
транспорту»
, Дніпропетровський національний університет залізничного
транспорту імені академіка В. Лазаряна, вул. Лазаряна, 2, Дніпропетровськ,
Україна, 49010, тел. +38 (056) 793 19 19, ел. пошта Sergei_jak@mail.ru,

ORCID 0000-0002-6431-4303

4Каф «Військова підготовка фахівців Державної спеціальної служби
транспорту
», Дніпропетровський національний університет залізничного
транспорту імені академіка В. Лазаряна, вул. Лазаряна, 2, Дніпропетровськ,
Україна, 49010, тел. +38 (056) 793 19 19, ел. пошта admin_diit@inbox.ru,

ORCID 0000-0002-8114-8722

5Каф. «Військова підготовка фахівців Державної спеціальної служби
транспорту»
, Дніпропетровський національний університет залізничного
транспорту імені академіка В. Лазаряна, вул. Лазаряна, 2, Дніпропетровськ,
Україна, 49010, тел. +38 (056) 793 19 19, ел. пошта admin_diit@inbox.ru,

ORCID 0000-0002-9335-7716

СПІВВІДНОШЕННЯ МІЖ ОПОРОМ КОЧЕННЮ та

КОВЗАННЮ
В ПІДШИПНИКАХ КОЧЕННЯ

Мета. Про одну з причин ковзання при коченні відомо з другої половини XIX століття, тоді вважалося, що опір ковзанню з’являється в місці контакту внаслідок різних швидкостей на дузі контакту. Лише в середині XX століття було доведено, що цей опір складає незначну величину опору коченню. Проте (з невідомої причини) не враховується та обставина, що в підшипниках кочення на практиці майже в рівних відносинах може обертатися як внутрішнє кільце при нерухомому зовнішньому, так і навпаки. При цьому не враховувалася та обставина, що кулька або ролик у підшипниках кочення за один оборот проходить різний шлях по доріжці катання зовнішньої та внутрішньої обойм підшипника. Ця обставина не враховується й при визначенні розрахункової величини коефіцієнта тертя підшипників кочення, приведеного до валу. Тому метою роботи є необхідність встановлення впливу довжини шляху по доріжці катання зовнішньої і внутрішньої обойм підшипника на визначення розрахункової величини коефіцієнта тертя підшипників кочення, приведеного до валу. Методика. В основі методики рішення − теорія плоского руху твердого тіла, теорія контактних деформацій Герца та аналітичні залежності для визначення коефіцієнта тертя кочення. Результати. Отримані залежності по визначенню опору коченню кульок або роликів біговими доріжками внутрішньої та зовнішньої обойм, а також облік різниці шляху кочення по них дозволяє аналітично отримати опір кочення та ковзання для будь-якого розміру підшипників і різних пристроїв підшипникових вузлів. Також можливо на стадії проектування вузлів кочення оперувати не тільки конструкцією, але й матеріалами вузла. Наукова новизна. За допомогою аналітичних залежностей для визначення опору коченню тіл при точковому і лінійному контактах, а також обліку різниці шляху при коченні кульки або ролика по зовнішній і внутрішній обоймах підшипника можна більш точно знайти опору кочення в підшипниках. Практична значимість. Отримані залежності дозволять проектувати підшипникові вузли з мінімальною енергоємністю.

Ключові слова: підшипник; ковзання; кочення; контакт; напруга; опір

Л. Н. Бондаренко1, Н. А. Бабяк2, С. А. Яковлев3*, С. А. Истин4,
Г. Ю. Москалев5

1Каф. «Прикладная механика», Днепропетровский национальный университет
железнодорожного транспорта имени академика В. Лазаряна, ул. Лазаряна, 2,
Днепропетровск, Украина, 49010, тел. +38 (056) 793 19 19,

эл. почта admin_diit@inbox.ru, ORCID 0000-0000-0001-6602-2745
2Каф. «Транспортные технологии», Львовский филиал, Днепропетровский
национальный университет
железнодорожного транспорта имени
академика В. Лазаряна, ул. И. Блажкевич, 12а, Львов, Украина, 79052,

тел. +38 (097) 907 50 72, эл. почта babjk@mail.ru, ORCID 0000-0001-5125-9133
3*Каф. «Военная подготовка специалистов Государственной специальной
службы транспорта»
, Днепропетровский национальный университет
железнодорожного
транспорта имени академика В. Лазаряна, ул. Лазаряна, 2,
Днепропетровск, Украина, 49010, тел. +38 (056) 793 19 19,
эл. почта Sergei_jak@mail.ru,
ORCID 0000-0002-6431-4303
4Каф. «Военная подготовка специалистов Государственной специальной
службы транспорт
а», Днепропетровский национальный университет
железнодорожного транспорта имени академика В. Лазаряна, ул. Лазаряна, 2,

Днепропетровск, Украина, 49010, тел. +38 (056) 793 19 19,
эл. почта admin_diit@inbox.ru,
ORCID 0000-0002-8114-8722
5Каф. «Военная подготовка специалистов Государственной специальной
службы транспорта
», Днепропетровский национальный университет
железнодорожного транспорта имени академика В. Лазаряна, ул. Лазаряна, 2,

Днепропетровск, Украина, 49010, тел. +38 (056) 793 19 19,
эл. почта admin_diit@inbox.ru,
ORCID 0000-0002-9335-7716

СООТНОШЕНИЕ МЕЖДУ СОПРОТИВЛЕНИЯМИ

КАЧЕНИЮ
И СКОЛЬЖЕНИЮ В ПОДШИПНИКАХ

КАЧЕНИЯ

Цель. Об одной из причин скольжения при качении известно со второй половины XIX века, тогда считалось, что сопротивление скольжению появляется в месте контакта вследствие разных скоростей на дуге контакта. Только в середине XX столетия было доказано, что это сопротивление составляет незначительную величину в сопротивлении качению. Однако (по неизвестной причине) не учитывается то обстоятельство, что в подшипниках качения на практике почти в равных отношениях может вращаться как внутреннее кольцо при неподвижном наружном, так и наоборот. При этом не учитывалось обстоятельство, что шарик или ролик в подшипниках качения за один оборот проходит разный путь по дорожке катания наружной и внутренней обойм подшипника. Это обстоятельство не учитывается и при определении расчетной величины коэффициента трения подшипников качения, приведенного к валу. Поэтому целью работы является установление влияния длины пути по дорожке катания наружной и внутренней обойм подшипника на определение расчетной величины коэффициента трения подшипников качения, приведенного к валу. Методика. В основе методики решения − теория плоского движения твердого тела, теория контактных деформаций Герца и аналитические зависимости для определения коэффициента трения качения. Результаты. Полученные зависимости по определению сопротивления качению шариков или роликов по беговым дорожкам внутренней и наружной обойм, а также учет разности пути качения по ним позволяют аналитически получить сопротивление качению и скольжению для любого размера подшипников и различных устройств подшипниковых узлов. Также возможно на стадии проектирования узлов качения оперировать не только конструкцией, но и материалами узла. Научная новизна. С помощью аналитических зависимостей для определения сопротивления качению тел при точечном и линейном контактах, а также учета разности пути при качении шарика или ролика по внешней и внутренней обоймам подшипника можно более точно найти сопротивления качению в подшипниках. Практическая значимость. Полученные зависимости позволят проектировать подшипниковые узлы с минимальной энергоемкостью.

Ключевые слова: подшипник; скольжение; качение; контакт; напряжение; сопротивление

REFERENCES

  1. Astakhov V.N., Lysikov Ye.N., Konovalov P.Ye. Otsenka rezhimov treniya i smazki v podshipnikakh osevogo podveshivaniya lokomotivov [Estimation of modes friction and greasing in bearing axial hanging of locomotives]. Visnyk Dnipropetrovskoho natsionalnoho universytetu zaliznychnoho transportu imeni akademika V. Lazariana [Bulletin of Dnipropetrovsk national University of railway transport named after Academician V. Lazaryan], 2012, issue 40, pp. 55-61.

  2. Bondarenko L.M., Dovbnia M.P., Loveikin V.S. Deformatsiini opory v mashynakh [Deformation supports in cars]. Dnipropetrovsk, Dnipro-VAL Publ., 2003. 200 p.

  3. Bondarenko L.N., Matviets T.V., Bondarenko V.D. Sootnosheniya mezhdu rabotami sil treniya kacheniya i skolzheniya v paradokse Gerona [Relations between operation of friction forces of rolling and sliding in the paradox of Heron]. Materiály VI mezinárodní vědecko-praktická konference «Efektivní nástroje moderních věd–2011». Praha, 2011, pp. 27-29.

  4. Volkov N.N., Rodzevich N.V. Podshipniki kacheniya kolesnykh par vagonov i lokomotivov. Issledovaniye, raschet i konstruirovaniye [Rolling bearings of the wheel sets of cars and locomotives. The study, calculation and design]. Moscow, Mashinostroeniye Publ., 1972. 167 p.

  5. Gura G.S. Kacheniye tel s treniyem. Fretting [Rolling bodies with friction. Fretting]. Sochi, Doriya Publ., 2009. 295 p.

  6. Dzhonson K. Mekhanika kontaktnogo vzaimodeystviya [Contact interaction mechanics]. Moscow, Mir Publ., 1989. 510 p.

  7. Diachenko P.V. Modeliuvannia vplyvu pidshypnykiv kochennia na dempfuvannia kolyvan u zacheplenni zubchastykh kolis [Modeling influence of rolling bearings bush and vibrations damping in catching of toothed wheels]. Visnyk Dnipropetrovskoho natsionalnoho universytetu zaliznychnoho transportu imeni akademika V. Lazariana [Bulletin of Dnipropetrovsk national University of railway transport named after Academician V. Lazaryan], 2011, issue 36, pp. 16-24.

  8. Ivanov M.N. Detali mashin [Machine components]. Moscow, Vysshaya shkola Publ.,1975. 551 p.

  9. Karpenko V.A. Vzaimozamenyayemost, standartizatsiya i tekhnicheskiye izmereniya [Interchangeability, standardization and technical measurements]. Sevastopol, Izdatelstvo SevNTU Publ., 2007. 372 p.

  10. Kozhevnikov S.N. Teoriya mekhanizmov i mashin [Theory of mechanisms and machines]. Moscow, Mashinostroyeniye Publ, 1969. 584 p.

  11. Pisarenko G.S., Yakovlev A.P., Matveyev V.V. Spravochnik po soprotivleniyu materialov [Handbook of materials resistance]. Kyiv, Naukova Dumka Publ., 1988. 736 p.

  12. Aleksandrov M.P., Gokhberg M.M., Kovin A.A., Kulkova N.N., Mazover I.S., Nevzorov L.A., Orlov A.N., Plavnik B.I., Samoylovich P.A., Serlin L.G., Sokolov S.A. Spravochnik po kranam. T. 2 [Guide on cranes. Vol. 2]. Leningrad, Mashinostroyeniye Publ., 1988. 559 p.

  13. Bondarenko L.M., Yakovliev S.O., Kramar I.E., Shaptala O.I. Umovy kochennia bez prokovzuvannia til pry riznykh skhemakh dotyku [Conditions of rolling without slipping of bodies at various contact schemes]. Sheffield, Science and education LTD Publ., 2014. P. 12-17.

  14. Pletz M., Daves W., Yao W., Kubin W., Scheriau S. Multi-scale finite element modeling to describe rolling contact fatigue in a wheel–rail test rig. Tribology International, 2014, vol. 80, pp. 147-155. doi: 10.1016/j.triboint.2014.07.005.

  15. Reynolds O. On rolling friction. Proc. of the Royal Society of London, 1874, vol. 23, issue 156-163, pp. 506-509. doi: 10.1098/rspl.1874.0080.

  16. Tabor D. The mechanism of Rolling Friction. II. The Elastic Range. Proc. of the Royal Society A: Mathematical, Physical and Engineering Sciences, 1955, vol. 229, issue 1177, pp. 198-220. doi: 10.1098/rspa.1955.0082.


    Prof. S. V. Raksha, D. Sc. (Tech.), (Ukraine); Prof. B. I. Kindratskiy, D. Sc. (Tech.), (Ukraine) recommended this article to be published


    Accessed: Jan., 19. 2016

    Received: May, 05. 2016

doi 10.15802/stp2016/74760
©
L. M. Bondarenko, M. O. Babyak, S. O. Yakovlev, S. O. Istin, G. Yu. Moskalev, 2016