ISSN 2307–3489 (Print), ІSSN 2307–6666 (Online)

Наука та прогрес транспорту. Вісник Дніпропетровського
національного університету залізничного транспорту, 201
6, 3 (63)



АВТОМАТИЗОВАНІ СИСТЕМИ УПРАВЛІННЯ НА ТРАНСПОРТІ

udc 656.212.5:625.156.8

D. M. KOZACHENKO1*, V. I. BOBROVSKYI2*, S. V. Grevtsov3*, M. I. BEREZOVYI4*

1*Research Department, Dnipropetrovsk National University of Railway
Transport named after Academician V. Lazaryan, Lazaryan St., 2,
Dnipropetrovsk, Ukraine, 49010, tel. +38 (056) 373 15 04,
e-mail kozachenko@upp.diit.edu.ua
, ORCID 0000-0003-2611-1350
2*Dep. «Stations and Junctions», Dnipropetrovsk National University of Railway
Transport named after Academician V. Lazaryan, Lazaryan St., 2, Dnipropetrovsk,
Ukraine, 49010, tel. +38 (066) 444 63 95, e-mail bvi1973@yandex.ua,
ORCID 0000-0001-8622-292
3*Lviv College of Transport Infrastructure at Dnipropetrovsk National University
of Railway Transport named after Academician V. Lazaryan, Snopkivska St., 47,
Lviv, Ukraine , 79011, tel. +38 (032) 276 14 90, e-mail Grevtsov@ukr.net,
ORCID 0000-0003-2925-4293
4*Dep. «Stations and Junctions», Dnipropetrovsk National University of Railway
Transport named after Academician V. Lazaryan, Lazaryan St., 2, Dnipropetrovsk,
Ukraine, 49010, tel. +38 (056) 371 51 03, e-mail niber07@mail.ru,
ORCID 0000-0001-6774-6737

CONTROLLING THE SPEED OF ROLLING CUTS IN

CONDITIONS OF REDUCTION OF BRAK
E POWER

OF CAR RETARDERS

Purpose. The study aims to develop the requirements for organization of the marshalling process in the conditions when the power of retarder positions is less than the nominal one. Methodology. The research is carried out using the train traffic safety theory and mathematical modelling of hump processes. Findings. The current technical standard documents regulating the operational performance of humps do not contain direct instructions on how to proceed in the event of brake power loss by car retarders, thus creating threats to the traffic safety. This problem is quite acute for the Ukrainian railways in connection with a chronic shortage of funds for the repair and renewal of technical equipment, including the humps. At the same time, a significant drop in the volume of work leads to the fact that the hump required processing capacity can be provided in case of partial failure of retarders as well. Herewith the most important task is to ensure the breaking-up safety in conditions of parametric failures of retarders. The analysis of dangerous situations, the occurrence of which is possible at humps, as well as the modelling of cut rolling, allowed establishing the connection between the value of retarder tire pressing force on the car wheels and the breaking-up modes, providing the safety of marshalling process. The paper sets the application areas of such measures as the breaking-up speed reduction, breaking-up termination, the use of additional braking by block hangers. Originality. The originality of the work lies in the fact that it first obtained the complex of dependencies that determine the performance requirements for the power of hump retarders and allow the staff to enter the appropriate limits for breaking-up modes to ensure the marshalling process safety. Practical value. The results of the research can be used to supplement the «Instruction on the maintenance of facilities of mechanized and automated humps» in order to determine the limits of breaking-up modes when detecting the reduction of retarder power below the nominal one.

Keywords: hump; car retarder; traffic safety; marshalling process; breaking-up of trains

Introduction

One of the negative realities of present-day conditions of railway transport functioning in Ukraine is the critical deterioration of the basic technical equipment of the industry, which exceeds 85%, and a chronic shortage of funds for its upgrade. Also we should note a significant drop in traffic volumes, which led to the formation of a large reserve of worn-out technical equipment. In these circumstances, in different areas of the industry the following question arises quite often: «Is it possible to ensure the safe execution of processes using the worn-out technical facilities?»


The main technical means providing breaking up and making up of freight trains on the railways are humps. The humps are one of the most dangerous places in the stations, which are characterized by a significant number of injuries, car derailment, car and cargo damage. One of the acute problems of mechanized gravity humps is worn condition of car retarders, which as a result are fully or partially disabled or unable to implement regulatory brake power.

The problems of humping process safety are currently the subject of a large number of scientific papers. An analysis of humping process safety conditions is carried out in [10, 19, 23]. In particular, the paper [10] stated that 88.1% of cases of traffic safety violation at humps occur when controlling the speed of rolling cuts. Breaking-up and formation of trains at humps is a major cause of damage to freight cars [16, 17]. According to the assessment, conducted in [19], in 2009 29 ths. of cars were da-maged at Ukrainian humps.

The main directions of the humping process safety improvement are currently the mechanization and automation of humps [19, 22], the development of new methods of their design [13, 24, 19], improvement of methods of cut braking mode selection [18, 1, 6], improvement of the maintenance and service system of hump devices [15] improvement of hump technologies [12]. In these studies the tasks of train breaking-up control are solved in the conditions of functioning of hump technical facilities within the normative values. The problem of failures of individual devices at the hump is considered from the perspective of their early detection. At the same time, insufficient attention has been given to the problems of hump complexes functioning in the conditions of worn-out technical equipment and deviation of their parameters from the standard values.

Hump is a complex technological system. Violation of their operation conditions can lead to substantial material damage due to damaged cars and goods, and in some cases – to the loss of life and environmental disasters.

The methodological basis for solving the problem of the hump functioning in the condition of brake power loss by the retarders can be the traffic safety theory [8]. In accordance with the concept of this theory, the system may be in operational, non-operational safe and non-operational dangerous state. In operational state the functioning of technological systems takes place in the environment where its parameters comply with technical, technological and design documentation, as well as the performance values. In default of these terms the technological system is in non-operational condition. If there are adverse factors in this condition, it is considered unsafe, otherwise – safe condition. If the transition of the system into non-operational dangerous conditions is excluded with a high degree of probability, there is a technological system with protected conditions. With regard to the problem of controlling the speed of rolling cuts at humps it is necessary to find such processing limits whose application in the conditions of breaking-up will allow the compliance with marshalling process safety requirements.

Additional limits when arranging the breaking-up and making up of trains leads to decrease in the processing capacity of humps. It should be noted that during the Soviet period with substantial traffic volume the humps were the elements limiting the station processing ability, and malfunction of their facilities was eliminated in the shortest possible time. Currently, the car processing volume is decreased significantly. For example, loading of an odd hump of Nizhnedneprovsk-Uzel station is 63%, and of an even one – 37%. As a result, from the economic point of view the long-term operation of humps in protected mode may be more appropriate.

Purpose

The purpose of this work is to develop the requirements for organization of the humping operation in the conditions when the power of retarder positions is less than the nominal one.

Methodology

Design of construction and modernization of humps was performed in accordance with the requirements [14], and starting from 2013 – in accordance with [3]. The works [3, 14] note that the number of brake positions of a hump, their location, capacity and equipment shall ensure the safe car marshalling with the set maximum breaking-up speed. Herewith the retarders shall ensure the allowable speed of cut entry into the second and third brake position, full stop of cuts on this position, as well as the allowable speed of cut approaching the cars on classification track.

The power of hump brake equipment is tested during its design by modelling the rolling of four-axle gondola car weighing 100 tons with the main resistance of 0.5 N/kN (BT roller). To ensure the reliability and survivability of the cut rolling speed regulation system the required power of brake position is calculated taking into account the factor of its increase kр=1.2. At the same time the first brake position is equipped with an additional retarder; in addition rounding of the required number of retarders is performed upwards. As a result the humps must have brake position power reserves that can be used in case of retarder brake power reduction during their operation.

It should be noted that at the design stage of some humps there were made significant deviations from the requirements [14] and the brake power reserves at such humps are minimal. The example is even hump of Nizhnedneprovsk-Uzel station, where the first brake position is equipped with one retarder instead of two, and the air network power is produced by the compressor station of the train depot, which provides a pressure of 0.5-0.56 MPa instead of 0.65 MPa. In this regard, the retarder brake power reserves have individual nature for each hump and may vary significantly.

The main cause of brake power loss by the retarders in the course of operation is their fault or the lack of pressure in the pneumatic circuit. The typical procedures for hump operators under such conditions are set forth in [9]. It is stated in [9] that if the pressure in the pneumatic circuit is less than 0.65 MPa, the breaking-up process must be discontinued. In case of failure of retarders and their switch-off for repair the breaking-up process can continue in the normal mode provided the switch-off of one retarder at the first brake position and with breaking-up speed reduction provided the switch-off of one retarder at the second brake position. When some retarders are switched-off, the breaking-up speed at the brake position decreases and the additional braking by block hangers can be used. When two retarders are switched-off at the same time on the rolling route, the breaking-up stops.

Maintenance of retarders at Ukrainian humps is carried out in accordance with [4]. In particular, [4] specifies the procedure to check the retarder tire pressing force onto the wheel and the tolerances to reduce these values. The measurement results are recorded in SHU-2 form log. However, the existing legal documents do not impose strict criteria on how to disable retarders for repairs due to insufficient brake power. In fact, in case of power loss by retarders the breaking-up speed and the cut weight are reduced. However, there is neither rationale for these measures nor the analysis of their efficiency.

The humps of Ukrainian railways use the beam retarders, providing car braking due to the wheel friction on the tires. Specific damped energy height, implemented by the retarder, is calculated by the formula:

(1)

where znumber of friction surfaces (2 – for single-cut retarders and 4 – for two-cut ones); coefficient of car wheel friction on the retarder tire; retarder braking tire pressure force on the wheel; reduction coefficient determined by the distance between the centre of gravity of the brake-tire-wheel adhesion area to the wheel supporting point and the wheel radius; number of axles of a cut; length of retarder tires; cut weight.

To determine the energy height realized by the retarder during braking of particular car according to the formula (1) is rather difficult, because, first of all, the friction coefficient is a random value that varies within the range of 0.05 to 0.20 [5]; in addition, the height of wheel tires and the position of retarder tires also are random values, varying within tolerances. As a result, the energy height damped by the retarder is also a random variable in each case. The analysis of research reports of the Hump testing laboratory of the Dnepropetrovsk National University of Railway Transport named after Academician V. Lazaryan shows that the brake power of new retarders was established on the basis of statistical data accumulated as a result of cut deceleration measurements under various conditions with a confidence level of at least 0.95.

An indicator of the humping process quality is the probability of ROR (Railway Operating Rules) set speed of cut approach to cars on classification tracks. However, there is no control of this requirement at the humps. It should be noted that the car collision over-speeding in each separate case does not cause accidents, but causes an increase in frequency of these events. The main result of this breach of the ROR requirements is the accumulation of fatigue changes in the design of cars, causing premature wear.

Given the above, assessment of the retarder power impact on humping process safety performance on the basis of experimental observations is quite a challenge, requiring large expenditures of time and resources for the accumulation of statistical material. Therefore, to determine the breaking-up modes, which comply with the traffic safety requirements, the study of the humping processes is conducted using cut rolling simulation [2].

Findings

Analysis of the formula (1) shows that the actual brake position retarder power can be determined by checking the pressing force of their tires on the wheel using the expression

(2)

where measured in accordance with [4] tire pressing force on the lever axles; number of levers; nominal brake power of the retarder; minimum nominal pressing force of retarder tires on the wheel.

Sufficiency of the retarder set power is determined based on the analysis of fulfilment of the set of conditions.

Retarders of the first retarder position (RP1) shall provide entry of all cuts to the second braking position (RP2) with a permissible speed. This requirement is put forward in connection with the fact that the cuts entering RP2 at higher speed may damage the retarders.

The minimum required power of RP1 is determined by the results of BT roller rolling simulation in favourable conditions by the formula

(3)

where profile height of the section from the hump top to the bundle retarder position entry; breaking-up speed; specific work of drag forces, respectively, the main one, of points and curves, of environment and wind at the section from the hump top to the bundle retarder position entry; acceleration of gravity subject to inertia of car steadying effect m/s2.

For the purpose of standardization, the expression (3) can be represented as

(4).

here the parameter characterizing the minimal allowable value of the retarder tire pressing force on the wheel, is defined as

sum of the measured values of BP1 retarder tire pressing force on the lever axles.

Given the fact that it is not possible to provide alternative ways for cut braking at this section of the hump, when the condition (4) is violated, the breaking-up shall be discontinued.

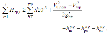
Retarders of RP1 and RP2 shall provide entry of all cuts to yard retarder position (YRP) with a permissible speed. The possibility of this condition is checked using the expression:

(5)

where profile height of the section from the hump top to the yard retarder position entry;

permissible speed of cut entry to the yard retarder position; specific work of drag forces, respectively, the main one, of points and curves, of environment and wind at the section from the hump top to YRP entry.

If the condition (5) is violated, the breaking-up shall be discontinued.

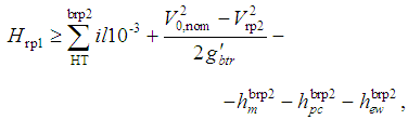
According to [3], the first and the second retarder positions together shall provide a cut stop at the second retarder position. This requirement is necessary to be able to stop the rolling cuts if there is any situation threatening the traffic safety within the point zone. The possibility of this condition is checked using the expression:

(6)

where profile height of the section from the hump top to RP2 exit; specific work of drag forces, respectively, the main one, of points and curves, of environment and wind at the section from the hump top to RP2 exit.

Graphically safe modes of brake retarders operations can be presented as the feasible region of braking modes [20].

To illustrate the limits of 3, 5 and 6, they are represented on a coordinate plane HRP10HRP2 in the Figure 1 in the form of lines U1, U2 and U3 which outline three areas1, 2 and 3. If the available powers of RP1 and BP2 correspond to 1area, the breaking-up is performed in the normal mode, if to2 areawith restrictions, if to 3 area breaking-up is discontinued.

Fig. 1. Graphical representation of the retarder position power limits of the hump lowering section

Resistance of the environment and wind, as well as of points and curves depends on the cut movement speed. Therefore, the effect of the first and the second retarder positions on the car energy height loss is not equivalent. In this connection, the conditions (5) and (6) are represented as

(7)

(8)

where sum of the measured values of RP2 retarder tire pressing force on the lever axles.

The left side of expressions (7) and (8) corresponds to the actual pressing force of retarder tires on the wheel, subject to different degrees of their influence on the damped energy height value characterized by coefficients and . The parameters and characterize the minimum acceptable value of the retarder tire pressing force on the wheel for which the conditions (5) and (6) are fulfilled. The values of coefficients, and the parameters are determined on the basis of cut rolling simulation.

In case of failure to meet the requirement (8) the process of interval regulation of the cut rolling speed shall be transferred to a secure state. The power loss of the hump lowering section may result in increased probability of un-broken cuts as well as hazards associated with the cut in the points zone. Herewith the secure states of the humping process can be realized due to the interrupted breaking-up for separation of unfavourable combinations of cuts in the bundles and due to the interrupted breaking-up for separation of the cuts following into one section. The use of the first mode is allowed subject to the possibility of adequate intervals on the separating elements arranged before RP2, in the calculated combination of rollers [3]. Herewith the ability to separate the light slow and the heavy fast rollers is determined by the condition

(9)

and the power of RP2 and of the yard retarder position (YRP) allows partial use of RP1 for separation of heavy slow and light fast rollers. This condition is formulated as

(10)

where sum of the measured values of YRP retarder tire pressing force on the lever axles.

The values of the coefficient , and the parameters are determined on the basis of cut rolling simulation.

In the protected state of interval cut rolling speed regulation the duty operator of the hump prior to breaking-up based on the analysis of train structure and classification tracks state shall single out the unfavourable combinations of cuts and determine the screening tracks. During the breaking-up process the power of the first retarder position should be used as much as possible, and that of the second position – depending on the needs of the target regulation of cut rolling speed. Pushing of cars stopped in the point zone is prohibited.

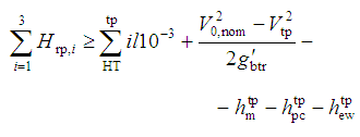
The power of retarders on the hump lowering section and classification tracks shall meet the requirements of the target regulation of the cut rolling speed, which specifies the cut rolling till cars in the marshalling yard with ROR-set speed = 5 km/h. Herewith the design target point is assumed the point at a distance of 50 m from the yard braking position [3]. It should be noted that the longitudinal profiles of a significant number of classification tracks of Ukrainian railway stations have accelerating gradients. In such circumstances, the retarders shall provide a cut stop at YRP, i.e. the calculation point is assumed the YRP exit point, and = 0. In general, the target regulation requirements are represented by the following condition:

(11)

where section profile height from the hump top to the calculation point; specific work of drag forces, respectively, the main one, of points and curves, of environment and wind at the section from the hump top to the calculation point.

Condition (11) can be represented as

(12)

The values of coefficients , and parameters are determined on the basis of cut rolling simulation.

If this condition is not fulfilled, then the process of impact regulation of cut rolling speed is transferred to the protected state using additional braking by block hangers on the classification tracks. The use of this state is possible if the retarder position power along the rolling route provides the allowable block hanger entry speed of cuts m/s. This condition is formulated using the following expression

(13)

where section profile height from the hump top to the block hanger retarder position; specific work of drag forces, respectively, the main one, of points and curves, of environment and wind at the section from the hump top to the block hanger retarder position.

Condition (13) can be represented as

(14)

The values of coefficients , and parameters are determined on the basis of cut rolling simulation.

In the protected state of interval cut rolling speed regulation the breaking-up rate shall allow the car speed controllers to perform the cut braking. In case of sequential rolling of cuts designated for the track serviced by one controller, the breaking-up shall be interrupted. The length of the free ends of the classification tracks shall enable cut braking to the safe speed of its approach to the cars standing on the tracks. Pushing of cars at the section to block hanger kicker is prohibited.

In general, based on the analysis of the hump retarder power the following breaking-up modes can be selected:

regular mode;

protected mode ensuring the requirements of interval regulation of cut rolling speed, which is realized by reducing humping speed and the breaking-up interruption when predicting dangerous situations on the hump lowering section;

protected mode ensuring the requirements of the impact regulation of cut rolling speed, which is implemented due to additional braking by cut block hangers on the classification tracks, breaking-up interruption to allow for sequential braking of cuts by car rolling speed controllers on different tracks and performing additional work to prepare the tracks for breaking-up;

ban on car rolling from the hump onto specific tracks without a locomotive.

In accordance with the established methodology it is possible to assess the impact of currently used limits for breaking-up speed and cut weight on the humping process safety.

Permissible values of train breaking-up speed for humps of different capacities are installed in [3]. In particular, for high capacity humps the calculation of longitudinal profile and brake equipment power is performed at a maximum speed of 2.2 m/s, for medium capacity humps – 1.9 m/s. The minimum breaking-up speed can be accepted as 0.8 m/s, set as the nominal speed for non-mechanized small capacity humps. Thus, the additional value of the damped energetic height to be implemented by retardants in case of excess of the minimum breaking-up speed makes 0.23-0.16 m. of en. h. This value is insignificant compared to the power of braking positions at high and medium capacity humps. In this regard, the train breaking-up speed has not essential influence on the required power of braking position retarders. The main effect that is achieved by breaking-up speed reduction is the increase in time slack at the separating elements up to 11 sec., which guarantees the separation of cuts at railway points located before BP2. Given that more than 70% of separations fall to these points, humping speed reduction significantly decreases the number of breaking-up interruptions and provides resource saving during train acceleration and deceleration.

Brake power loss by retarders restricts the ability of persons, who control the cut rolling process, to react to dangerous situations on the hump lowering section and also leads to increased work-load of the controllers of car speed on classification tracks. The value of additional time slack achieved by breaking-up speed reduction does not ensure the management of these dangerous situations and, in case of their occurrence, the humping process safety should be ensured not by low breaking-up speed, but due to planning of intervals in breaking-up process to avoid hazardous situations.

When rolling the multi-car cuts it is necessary to consider a number of features of their movement.

The consequence of increased number of cars in a cut is its reduced acceleration at the hump rapid section. As an example, Fig. 2 shows the relations for one- and ten-car cuts. Herewith, the low BP1 entry speed of the latter may lead to the errors of a hump operator when choosing a cut braking mode as well as the retarder power loss due to admittance of cars without braking.

Fig. 2. Curves of rolling speed for one- and ten-car cut

At some humps, for example, at the odd hump of Nizhnedneprovsk-Uzel station, the RP1 retarders close location to the hump top may result in the stop of long cuts already at RP1 and their run down by approaching train. Such a situation may cause car derailment and damaged retarders.

The research conducted in [16, 17] show that at speeds lower than 5 km/h there occurs the above-standard voltage in the side frames of bogies, leading to premature wear of the latter. To ensure the normal operation of cars, [16] recommended the retarder entry speed for cars to be min 10-15 km/h. In this regard, it may be advisable to limit the cut length so that the RP1 entry speed in adverse conditions would make min 3 m/s.

The specific work of the retarder brake forces is proportional to braking axle-meters. Therefore, during braking to a full stop the multi-car cuts shall pass a longer way than the one-car cuts. In this regard, the preparation of the classification tracks for breaking-up shall include the provision of the track length sufficient to reduce the multi-car cut speed to an acceptable level. If additional braking by block hangers is used on the track, this distance shall be determined from the block hanger kicker. [7] recommends to limit the cut length on the assumption of providing the exit of their first cars from YRP with ROR-set speed of cut approach to the cars standing on the classification tracks of 5 km/h. Analysis of the causes of dangerous situation at the hump, requiring the introduction of such restrictions, shows that it is connected not with the multi-car rolling but with pushing of the cars that stop after the yard braking position with the help of multi-car cut. Due to poor predictability of movement of cars at low speeds, as well as their connection with the standing cars, such pushing may lead to cut stop on the hump lowering section and is not permissible. Therefore, the breaking-up safety shall be ensured by way of advance preparation of track for multi-car cut rolling or by breaking-up interruption and taking measures to eliminate
a dangerous situation.

These dangerous situations are peculiar both for regular modes of the hump operation and for emergency modes caused by retarder brake power loss. Therefore, we can conclude that the problem of multi-car cut rolling requires more research; however there is no direct connection between humping process safety and multi-car cut rolling in the conditions of power loss by retarders.

Originality and practical value

The originality of the work lies in the fact that it first obtained the complex of dependencies that determine the performance requirements for the power of hump retarders and allow the staff to enter the appropriate limits for breaking-up modes to ensure the humping process safety.

The results of the research can be used to supplement the instruction [4] in order to determine the limits of breaking-up modes when detecting the reduction of retarder power below the nominal one.

The values of coefficients, are individual for each hump and depend a lot on the local conditions. The calculation of their values ​​shall be carried out after the construction or reconstruction of the hump, and after repair work that resulted in the change of its height. As an example, below there is a list of expressions to assess the brake position capacities of the hump given in [11].

Ensuring allowable speed of cut entry to BP2 (4):

(15)

Ensuring allowable speed of cut entry to YRP (7):

(16)

Enabling cut stop on RP2 (8):

(17)

Enabling cut separation on point switches before RP2 (9) and (10):

(18)

(19)

Ensuring allowable cut speed at the TP (12):

(20)

Ensuring allowable speed of cut entry to block hangers (14):

(21)

During hump operation upon completing the measurement of the tire pressing force onto the wheel, fulfilment of the conditions (15) – (21) must be checked and according to the check results the breaking-up modes must be set.

Conclusions

The conducted research led to the following conclusions.

1. The current railways regulatory documentation does not set the strict criteria for disabling retarders for repairs due to insufficient brake power, as well as the scientifically based methods of hump operation in such conditions. It results in more likely violations of ROR requirements and the occurrence of accidents at humps.

2. To ensure the humping operation safety in the conditions of brake power loss by retarders it is possible to take the measures based on breaking-up speed reduction, breaking-up termination, using of additional block hanger braking, more frequent pulling and taking-up of cars during track preparation for breaking-up. The article presents a methodology that allows setting the limit values of tire pressing force onto the wheel, which indicate the necessity to carry out the transition into the various secure states of the humping operation.

LIST OF REFERENCE LINKS

  1. Бобровский, В. И. Анализ эффективности ре-жимов торможения отцепов на сортировочных горках / В. И. Бобровский, Д. Н. Козаченко,
    Н. В. Рогов // Вісн
    . Дніпропетр. нац. ун-ту залізн. трансп. ім. акад. В. Лазаряна. – Дніпропетровськ, 2006. – Вип. 11. – С. 103–111.

  2. Бобровский, В. И. Оптимизация режимов торможения отцепов на сортировочных горках / В. И. Бобровский, Д. Н. Козаченко, Н. П. Божко [и др.]. – Днепропетровск : Маковецкий, 2012. – 236 с.

  3. ГБН В.2.3-37472062-1:2012. Споруди транспорту. Сортувальні пристрої залізниць. Норми проектування : затв. наказом М-ва інфраструктури України 17.01.2013 р. № 25. – Київ : М-во інфраструктури України, 2012. – 112 с.

  4. Інструкція з технічного обслуговування пристроїв механізованих і автоматизованих сортувальних гірок на залізницях України : ЦШ0048 : затв. наказом Укрзалізниці 12.012. 2006 р. №491-Ц. Киів, 2007. 153 с.

  5. Кобзев, В. А. Направление совершенствования исполнительных устройств горочных замед-лителей / В. А. Кобзев // Автоматика, телемеханика и связь. – 1996. 10. –
    С
    . 3033.

  6. Козаченко, Д. Н. Устойчивость вагонов при торможении замедлителями / Д. Н. Козаченко, С. О. Пожидаев, К. И. Железнов // Транспортні системи та технології перевезень : зб. наук. пр. Дніпропетр. нац. ун-ту залізн. трансп. ім. акад. В. Лазаряна. Дніпропетровськ, 2015. Вип. 10. С. 5763.

  7. Куценко, М. Ю. Визначення максимальної довжини відчепа на сортувальних гірках Південної залізниці в умовах використання нових уповільнювачів / М. Ю. Куценко, Ю. Ю. Єфіменко, В. В. Ворона, Н. М. Куріліна // Зб. наук. пр. / Укр. держ. акад. залізн. трансп. Харків, 2014. Вип. 146. С. 3842.

  8. Лисенков, В. М. Статистическая теория безопасности движения поездов : учебник для вузов / В. М. Лисенков. – Москва : ВИНИТИ РАН, 1999. 332 с.

  9. Методичні рекомендації операторам сортувальних гірок щодо управління пристроями на механізованих і автоматизованих сортувальних гірках : затв. наказом Укрзалізниці від 22.02.2013 р. № 042-Ц/од. – Київ : Інпрес, 2013. – 108 с.

  10. Модин, Н. К. Безопасность функционирования горочных устройств / Н. К. Модин. – Москва : Транспорт, 1995. 173 с.

  11. Муха, Ю. А. Пособие по применению Правил и норм проектирования сортировочных устройств / Ю. А. Муха, Л. Б. Тишков, В. П. Шейкин [и др.]. – Москва : Транспорт, 1994. – 220 с.

  12. Островский, А. М. Пропуск вагонов с опас-ными грузами через сортировочные горки /А. М. Островский, А. М. Лисютин // Науч. тр. SWorld. – Иваново, 2012. – Т. 2, 1.
    С. 3841.

  13. Пожидаев, С. А. Автоматизированное проектирование плана горочной горловины с учётом обеспечения безопасного взаимодействия длиннобазного подвижного состава / С. А. Пожидаев, Е. А. Филатов, Е. Н. Иванов // Транспортні системи та технології перевезень : зб. наук. пр. Дніпропетр. нац. ун-ту залізн. трансп. ім. акад. В. Лазаряна. – Дніпропетровськ, 2013. – Вип. 6. – С. 82–85.

  14. Правила и нормы проектирования сортировочных устройств на железных дорогах Союза ССР : ВСН 207–89. – Москва : Транспорт, 1992. – 104 с.

  15. Сачко, В. И. Специализированная система поддержки принятия решений по техни-ческому обслуживанию и ремонту горочного оборудования / В. И. Сачко, В. А. Тартынский // Вестн. Ростов. гос. ун-та путей сообщ. – 2010. – № 3 (39). – С. 188–122.

  16. Сенько, В. И. Анализ причин повреждения и возможности продления срока службы боковых рам тележек грузовых вагонов / В. И. Сенько, М. И. Пастухов, С. В. Макеев, И. Ф. Пастухов // Вестн. ГГТУ им. П. О. Су-хого. – 2010. – № 4. – С. 13–18.

  17. Харитонов, Б. В. Пути снижения повреж-даемости боковых рам тележек грузовых вагонов на сортировочных горках : дис. … канд. техн. наук / Харитонов Борис Владимирович ; ВНИИЖТ. – Москва, 1999. – 132 с.

  18. Шабельников, А. Н. Управление тормозными средствами сортировочных горок: повышение качества и эффективности / А. Н. Шабель-ников, И. А. Ольгейзер, С. А. Рогов // Вестн. Ростов. гос. ун-та путей сообщ. – 2015. – № 2. – С. 74–79.

  19. Шиш, В. О. Автоматизація та механізація технологічних процесів на сортувальних станціях / В. О. Шиш // Залізн. транспорт України. – 2011. – № 3. – С. 44–47.

  20. Bobrovskyi, V. Probabilistic Approach for the Determination of Cuts Permissible Braking Modes on the Gravity Humps / V. Bobrovskyi, D. Kozachenko, A. Dorosh [et al.] // Transport problems. Problemy transportu. – 2016. – Vol. 11. – Iss. 1. – P. 147–155. doi: 10.20858/tp.-2016.11.1.14.

  21. Prokop, J. Design of Hump Profile in Railroad Classification Yard / J. Prokop, Sh. Myojin // Memoirs of the Faculty of Engineering, Okayama University. – 1993. – Vo1. 27, 2. – P. 41–58.

  22. Zarecky, S. The newest trends in marshalling yards automation / S. Zarecky, J. Grun, J. Zilka // Transport Problems. – 2008. – T. 3, vol. 4, pt. 1. –P. 87–95.

  23. Zhang, C. Analysis of Hump Automation in China / C. Zhang, Y. Wei, G. Xiao [et al.] // Proc. of Second Intern. Conf. on Transportation and Traffic Studies. – 2000. – P. 285–290. doi: 10.1061/40503(277)45.

  24. Zhang, C. Research on Multi-objective Optimization of Vertical Section of the Hump Pushing Zone / C. Zhang, Y. Li // Optoelectronics and Image Processing (ICOIP) : Proc. of Intern Conf. (11.1112.11.2010). – Haiko, 2010. – Vol. 2. – P. 262–265. doi: 10.1109/ICOIP.2010.274.

Д. М. КОЗАЧЕНКО1*, В. І. БОБРОВСЬКИЙ2*, С. В. ГРЕВЦОВ3*, М. І. БЕРЕЗОВИЙ4*

1*Науково-дослідна частина, Дніпропетровський національний університет
залізничного транспорту імені академіка В. Лазаряна, вул. Лазаряна, 2,
Дніпропетровськ, Україна, 49010, тел. +38 (056) 373 15 04,
ел. пошта kozachenko@upp.diit.edu.ua, ORCID 0000-0003-2611-1350
2*Каф. «Станції та вузли», Дніпропетровський національний університет
залізничного транспорту імені академіка В. Лазаряна, вул. Лазаряна, 2,
Дніпропетровськ, Україна, 49010, тел. +38 (066) 444 63 95,
ел. пошта bvi1973@yandex.ua, ORCID 0000-0001-8622-2920
3*Львівський коледж транспортної інфраструктури, Дніпропетровський
національний університет залізничного
транспорту імені академіка В. Лазаряна,
вул. Снопківська, 47,
Львів, Україна, 79011, тел. +38 (032) 27614 90,
ел. пошта Grevtsov@ukr.net, ORCID 0000-0003-2925-4293
4*Каф. «Станції та вузли», Дніпропетровський національний університет
залізничного транспорту імені академіка В. Лазаряна, вул. Лазаряна, 2,
Дніпропетровськ, Україна, 49010, тел. +38 (056) 371 51 03,
ел. пошта niber07@mail.ru, ORCID 0000-0001-6774-6737

УПРАВЛІННЯ ШВИДКІСТЮ СКОЧУВАННЯ

ВІДЧЕПІВ при ЗМЕНШЕННІ ГАЛЬМІВНОЇ

ПОТУЖНОСТІ УПОВІЛЬНЮВАЧІВ

Мета. Дослідження спрямовано на розробку вимог до організації сортувального процесу в умовах, коли потужність гальмівних позицій є меншою за номінальну. Методика. Дослідження виконані з використанням методів теорії безпеки руху поїздів та математичного моделювання гіркових процесів. Результати. Чинні нормативно-технічні документи, що регламентують експлуатаційну роботу сортувальних гірок, не містять прямих вказівок про порядок дій у разі втрати вагонними уповільнювачами гальмівної потужності, в результаті чого виникають загрози безпеці руху. Зазначена проблема досить гостро стоїть перед залізницями України у зв’язку з хронічним дефіцитом коштів на ремонт і оновлення технічних засобів, в тому числі й сортувальних гірок. У той же час суттєве падіння обсягів роботи призводить до того, що необхідна переробна спроможність гірок може бути забезпечена і при часткових відмовах уповільнювачів. Найважливішим завданням при цьому є забезпечення безпеки розпуску в умовах параметричних відмов уповільнювачів. На підставі аналізу небезпечних ситуацій, виникнення яких можливе на сортувальній гірці, а також моделювання скочування відчепів встановлено зв’язок між величиною зусиль натискання шин уповільнювачів на колеса вагонів та режимами розпуску, що забезпечують безпеку сортувального процесу. Встановлено області застосування таких заходів, як зниження швидкості розпуску, переривання розпуску, використання додаткового гальмування башмаками. Наукова новизна. Вперше отриманий комплекс залежностей, що визначають експлуатаційні вимоги до потужності сповільнювачів сортувальних гірок і дозволяють експлуатаційному персоналу вводити обґрунтовані обмеження режимів розпуску для забезпечення безпеки сортувального процесу. Практична значимість. Результати виконаних досліджень можуть бути використані для доповнення «Інструкції з технічного обслуговування пристроїв механізованих і автоматизованих сортувальних гірок» із метою визначення обмежень режимів розпуску при виявленні зменшення потужності уповільнювачів нижче номінальної.

Ключові слова: сортувальна гірка; вагонний уповільнювач; безпека руху поїздів; сортувальний процес; розформування составів

Д. Н. КОЗАЧЕНКО1*, В. И. БОБРОВСКИЙ2*, С. В. ГРЕВЦОВ3*, Н. И. Березовый4*

1*Научно-исследовательская часть, Днепропетровский национальный
университет железнодорожного транспорта имени академика В. Лазаряна,
ул. Лазаряна, 2, Днепропетровск, Украина, 49010, тел. +38 (056) 373 15 04,
эл. почта kozachenko@upp.diit.edu.ua, ORCID 0000-0003-2611-1350
2*Каф. «Станции и узлы», Днепропетровский национальный университет
железнодорожного транспорта имени акад. В. Лазаряна, ул. Лазаряна, 2,
Днепропетровск, Украина, 49010, тел. +38 (066) 444 63 95,
эл. почта bvi1973@yandex.ua, ORCID 0000-0001-8622-2920
3*Львовский колледж транспортной инфраструктуры, Днепропетровский
национальный университет железнодорожного транспорта имени
академика В. Лазаряна, ул. Снопковская, 47, Львов, Украина, 79011,
тел. +38 (032) 27614 90, эл. почта Grevtsov@ukr.net, ORCID 0000-0003-2925-4293
4*Каф. «Станции и узлы», Днепропетровский национальный университет
железнодорожного транспорта имени академика В. Лазаряна,
ул. Лазаряна, 2, Днепропетровск, Украина, 49010, тел. +38 (056) 371 51 03,
эл. почта niber07@mail.ru, ORCID 0000-0001-6774-6737

УПРАВЛЕНИе скоростью скатывания

отцепов при уменьшении тормозной

мощности замедлителей

Цель. Исследование направлено на разработку требований к организации сортировочного процесса в условиях, когда мощность тормозных позиций является меньше номинальной. Методика. Исследования выполнены с использованием методов теории безопасности движения поездов и математического моделирования горочных процессов. Результаты. Действующие нормативно-технические документы, регламентирующие эксплуатационную работу сортировочных горок, не содержат прямых указаний о порядке действий в случае потери вагонными замедлителями тормозной мощности, в результате чего возникают угрозы безопасности движения. Указанная проблема достаточно остро стоит перед железными дорогами Украины в связи с хроническим дефицитом средств на ремонт и обновление технического оборудования, в том числе и сортировочных горок. В то же время существенное падение объемов работы приводит к тому, что нужная перерабатывающая способность горок может быть обеспечена и при частичных отказах замедлителей. Важнейшей задачей при этом является обеспечение безопасности роспуска в условиях параметрических отказов замедлителей. На основе анализа опасных ситуаций, возникновение которых возможно на сортировочной горке, а также моделирования скатывания отцепов установлена связь между величиной усилий нажатия шин замедлителей на колеса вагонов и режимами роспуска, обеспечивающими безопасность сортировочного процесса. Установлены области применения таких мероприятий, как снижение скорости роспуска, прерывание роспуска, использование дополнительного торможения башмаками. Научная новизна. Впервые получен комплекс зависимостей, определяющих эксплуатационные требования к мощности замедлителей сортировочных горок и позволяющих эксплуатационному персоналу вводить обоснованные ограничения режимов роспуска для обеспечения безопасности сортировочного процесса. Практическая значимость. Результаты выполненных исследований могут быть использованы для дополнения «Инструкции по техническому облуживанию устройств механизированных и автоматизированных сортировочных горок» с целью определения необходимых ограничений режимов роспуска при обнаружении уменьшения мощности замедлителей ниже номинальной.

Ключевые слова: сортировочная горка; вагонный замедлитель; безопасность движения поездов; сортировочный процесс; расформирование составов

REFERENCES

  1. Bobrovskiy V.I., Kozachenko D.N., Rogov N.V. Analiz effektivnosti rezhimov tormozheniya ottsepov na sortirovochnykh gorkakh [Analysis of the effectiveness of the braking modes of cuts on humps]. Visnyk Dnipropetrovskoho natsionalnoho universytetu zaliznychnoho transportu imeni akademika V. Lazariana [Bulletin of Dnipropetrovsk National University of Railway Transport named after Academician V. Lazaryan], 2006, issue 11, pp. 103-111.

  2. Bobrovskiy V.I., Kozachenko D.N., Bozhko N.P., Rogov N.V., Berezovyy N.I., Kudryashov A.V. Optimizatsiya rezhimov tormozheniya ottsepov na sortirovochnykh gorkakh [Optimization of Braking Modes on Gravity Hump Yard]. Dnepropetrovsk, Makovetskiy Publ., 2012. 236 p.

  3. GBN V.2.3-37472062-1:2012. Sporudy transportu. Sortuvalni prystroi zaliznyts. Normy proektuvannia [Transport facilities. Sorting devices of railways. Design standards]. Kyiv, M-vo іnfrastruktury Ukrainy Publ., 2012. 112 p.

  4. Instruktsiia z tekhnichnoho obsluhovuvannia prystroiv mekhanizovanykh i avtomatyzovanykh sortuvalnykh hirok na zaliznytsiakh Ukrainy: TsSh–0048 [Manual for devices maintenance of mechanized and automated humps on the Railways of Ukraine]. Kyiv, 2007. 153 p.

  5. Kobzev V.A. Napravleniye sovershenstvovaniya ispolnitelnykh ustroystv gorochnykh zamedliteley [Improvement direction of actuating devices of hump retarders]. Avtomatika, telemekhanika i svyazAutomation, Telemechanics and Communication, 1996, no. 10, pp. 30-33.

  6. Kozachenko D.N., Pozhidayev S.O., Zheleznov K.I. Ustoychivost vagonov pri tormozhenii zamedlitelyami [Stability of rail cars when they braking by retarders]. Transportni systemy ta tekhnolohii perevezen: zbirnyk naukovykh prats Dnipropetrovskoho natsionalnoho universytetu zaliznychnoho transportu imeni akadademika V. Lazariana [Transport systems and transportation technologies: Proc. of Dnipropetrovsk National University of Railway Transport named after Academician V. Lazaryan], 2015. issue 10, pp. 57-63.

  7. Kutsenko M.Yu., Yefimenko Yu.Yu., Vorona V.V., Kurilina N.M. Vyznachennia maksymalnoi dovzhyny vidchepa na sortuvalnykh hirkakh Pivdennoi zaliznytsi v umovakh vykorystannia novykh upovilniuvachiv: zbirnyk naukovykh prats [Determination of the maximum length of a cut on humps at the Southern Railway in conditions of new retarders usage]. Kharkiv, 2014, issue 146, pp. 38-42.

  8. Lisenkov V.M. Statisticheskaya teoriya bezopasnosti dvizheniya poyezdov [Statistical theory of traffic safety]. Moscow, RISTI RAS Publ., 1999. 332 p.

  9. Metodychni rekomendatsii operatoram sortuvalnykh hirok shchodo upravlinnia prystroiamy na mekhanizovanykh i avtomatyzovanykh sortuvalnykh hirkakh [Guidelines for operators of hump yards upon devices management at automated and mechanized hump yards]. Kyiv, Inpres Publ., 2013. 108 p.

  10. Modin N.K. Bezopasnost funktsionirovaniya gorochnykh ustroystv [Function safety of hump devices]. Moscow, Transport Publ., 1995. 173 p.

  11. Mukha Yu.A., Tishkov L.B., Sheykin V.P. Posobiye po primeneniyu Pravil i norm proyektirovaniya sortirovochnykh ustroystv [Guide for application of rules and norms of sorters designing]. Moscow, Transport Publ., 1994. 220 p.

  12. Ostrovskiy A.M., Lisyutin A.M. Propusk vagonov s opasnymi gruzami cherez sortirovochnyye gorki [Handling of cars with dangerous freight through hump yards]. Nauchnyye trudy SWorld [Scholary works SWorld], 2012, vol. 2, no. 1, pp. 38-41.

  13. Pozhidayev S.A., Filatov Ye.A., Ivanov Ye.N. Avtomatizirovannoye proyektirovaniye plana gorochnoy gorloviny s uchetom obespecheniya bezopasnogo vzaimodeystviya dlinnobaznogo podvizhnogo sostava [Automated design plan yard the neckline, taking into account secure the long-wheelbase interaction of rolling stock]. Transportni systemy ta tekhnolohii perevezen: zbirnyk naukovykh prats Dnipropetrovskoho natsionalnoho universytetu zaliznychnoho transportu imeni akadademika V. Lazariana [Transport systems and transportation technologies: Proc. of Dnipropetrovsk National University of Railway Transport named after Academician V. Lazaryan], 2013, issue 6, pp. 82-85.

  14. Pravila i normy proyektirovaniya sortirovochnykh ustroystv na zheleznykh dorogakh Soyuza SSR: VSN 207–89 [Rules and design standards of sorters on the railways of the USSR]. Moscow, Transport Publ., 1992. 104 p.

  15. Sachko V.I., Tartynskiy V.A. Spetsializirovannaya sistema podderzhki prinyatiya resheniy po tekhnicheskomu obsluzhivaniyu i remontu gorochnogo oborudovaniya [Specialized decision support system for the maintenance and repair of hump equipment]. Vestnik Rostovskogo gosudarstvennogo universitetata putey soobshcheniya [Bulletin of Rostov State Transport University], 2010, no. 3 (39), pp. 188-122.

  16. Senko V.I., Pastukhov M.I., Makeyev S.V., Pastukhov I.F. Analiz prichin povrezhdeniya i vozmozhnosti prodleniya sroka sluzhby bokovykh ram telezhek gruzovykh vagonov [Analysis of damages and possibility of extending the service life of the side frames in freight car bogies]. Vestnik GGTU im. P. O. Sukhogo [Bulletin of Gomel State Technical University named after Sukhoi], 2010, no. 4, pp. 13-18.

  17. Kharitonov B.V. Puti snizheniya povrezhdayemosti bokovykh ram telezhek gruzovykh vagonov na sortirovochnykh gorkakh. Kand.Diss. [Ways to reduce the damage of the side frames in freight car bogies on humps. Cand. Diss.]. Moscow, 1999. 132 p.

  18. Shabelnikov A.N., Olgeyzer I.A., Rogov S.A. Upravleniye tormoznymi sredstvami sortirovochnykh gorok: povysheniye kachestva i effektivnosti [Braking means controlling of marshalling yards: improving the quality and effectiveness]. Vestnik Rostovskogo gosudarstvennogo universiteta putey soobshcheniya [Bulletin of Rostov State Transport University], 2015, no. 2, pp. 74-79.

  19. Shysh V.O. Avtomatyzatsiia ta mekhanizatsiia tekhnolohichnykh protsesiv na sortuvalnykh stantsiiakh [Automation and mechanization of processes for sorting stations]. Zaliznychnyi Transport Ukrainy – Railway Transport of Ukraine, 2011, no. 3, pp. 44-47.

  20. Bobrovskyi V., Kozachenko D., Dorosh A., Demchenko E., Bolvanovska T., Kolesnik A. Probabilistic Approach for the Determination of Cuts Permissible Braking Modes on the Gravity Humps. Transport Problems. Problemy Transportu, 2016, vol. 11, issue 1, pp. 147-155. doi: 10.20858/tp.2016.11.1.14.

  21. Prokop J., Myojin Sh. Design of Hump Profile in Railroad Classification Yard. Memoirs of the Faculty of Engineering, 1993, vo1. 27, no. 2, pp. 41-58.

  22. Zarecky S., Grun J., Zilka J. The newest trends in marshalling yards automation. Transport Problems. Problemy Transportu, 2008. Vol. 3, vol. 4, pt. 1, pp. 87-95.

  23. Zhang C. Wei Y., Xiao G., Wang Z., Fu J. Analysis of Hump Automation in China. Proc. of Second Intern. Conf. on Transportation and Traffic Studies, 2000, pp. 285-290. doi: 10.1061/40503(277)45.

  24. Zhang C., Li Y. Research on Multi-objective Optimization of Vertical Section of the Hump Pushing Zone. Proc. of Intern Conf. «Optoelectronics and Image Processing (ICOIP)». Haiko, 2010, vol. 2, pp. 262-265. doi: 10.1109/ICOIP.2010.274.


Prof. V. I. Havryliuk, Dr. Sc. (Phys. and Math.) (Ukraine); Prof. V. Ya. Negrey, Dr. Sc. (Tech) (Byelorussia) recommended this article to be published


Received: Jan. 14, 2016

Accepted: May 12, 2016

doi 10.15802/stp2016/74710
© D. M. Kozachenko, V. I. Bobrovskyi, C. V. Grevtsov, M. I. Berezovyi, 201
6