ISSN 2307–3489 (Print), ІSSN 2307–6666 (Online)

Наука та прогрес транспорту. Вісник Дніпропетровського
національного університету залізничного транспорту, 2020, № 4 (88)



рухомий склад і тяга поїздів

УДК 629.463.62.02:519.87

О. В. ФОМІН1, А. О. ЛОВСЬКА2*, М. І. ГОРБУНОВ3, Ю. В. ФОМІНА4

1Каф. «Вагони та вагонне господарство», Державний університет інфраструктури
і технологій, вул. Кирилівська, 9, Київ, Україна, 04071, тел. +380 (067) 813 97 88,
ел. пошта fomin1985@ukr.net
, ORCID 0000-0003-2387-9946
2*Каф. «Вагони», Український державний університет залізничного транспорту,
пл. Фейєрбаха, 7, Харків, Україна, 61050, тел. +38 (057) 730 10 35,
ел. пошта alyonalovskaya.vagons@gmail.com, ORCID 0000-0002-8604-1764
3Каф. «Залізничний, автомобільний транспорт та підйомно-транспортні машини»,
Східноукраїнський національний університет імені В. Даля, пр. Центральний, 59-а,
Сєвєродонецьк, Україна, 93400, тел. +38 (095) 309 10 39,
ел. пошта gorbunov0255@gmail.com, ORCID 0000-0002-8556-3392
4Каф. «Транспорт та підйомно-транспортна техніка», Жилінський університет
в Жиліні, вул. Універзитна, 8215/1, Жиліна, Словаччина, 01026,
тел. +38 (050) 401 27 35, ел. пошта fominayul03@gmail.com,

ORCID 0000-0003-0884-5107

ВИЗНАЧЕННЯ ПОЗДОВЖНЬОЇ НАВАНТАЖЕНОСТІ

НЕСУЧОЇ КОНСТРУКЦІЇ ВАГОНА-ПЛАТФОРМИ,

ЗАВАНТАЖЕНОГО КОНТРЕЙЛЕРОМ

Мета. Це дослідження спрямоване на висвітлення особливостей визначення поздовжньої навантаженості несучої конструкції вагона-платформи, завантаженого контрейлером, за експлуатаційних режимів та обґрунтування можливості використання вагона-платформи моделі 13–401 для перевезення контрейлерів. Методика. Проведено математичне моделювання динамічної навантаженості несучої конструкції вагона-платформи моделі 13–401, завантаженого контрейлером. До уваги взято дві схеми взаємодії контрейлера з несучою конструкцією вагона-платформи: відсутність переміщень контрейлера відносно рами вагона-платформи під час руху, а також наявність переміщень контрейлера відносно рами вагона-платформи під час руху. Розв’язок диференціальних рівнянь руху здійснено в програмному забезпеченні MathCad. Отримані прискорення враховано для розрахунку на міцність несучої конструкції вагона-платформи. Результати. На підставі проведеного математичного моделювання динамічної навантаженості несучої конструкції вагона-платформи встановлено, що за відсутності переміщень контрейлера відносно рами вагона-платформи максимальне прискорення складає 32 м/с2. За наявності переміщень контрейлера відносно рами вагона-платформи максимальне прискорення, яке діє на несучу конструкцію, складає близько 40 м/с2, а на контрейлер – близько 42 м/с2. Визначено основні показники міцності несучої конструкції вагона-платформи. Установлено, що максимальні еквівалентні напруження при цьому виникають у консольних частинах хребтової балки та складають близько 315 МПа, тобто не перевищують допустимі. Максимальні переміщення у вузлах конструкції складають 2,6 мм, максимальні деформації – 2,5 ∙ 10-2. Наукова новизна. Доопрацьовано математичну модель динамічної навантаженості несучої конструкції вагона-платформи, завантаженого контрейлером. При цьому враховано жорстке закріплення контрейлера відносно рами вагона-платформи, а також податливе. Уперше розроблено комп’ютерну модель для визначення міцності несучої конструкції вагона-платформи під час перевезення контрейлера. Модель дозволяє визначити основні показники міцності несучої конструкції за її поздовжньої навантаженості. Практична значимість. Проведені дослідження дозволяють зробити висновок, що перевезення контрейлерів на вагоні-платформі моделі 13–401 є можливим. Отримані результати сприятимуть створенню рекомендацій щодо проєктування вагонів-платформ для контрейлерних перевезень, а також можуть бути корисними напрацюваннями для створення зйомних засобів контрейлерних перевезень.

Ключові слова: вагон-платформа; несуча конструкція; динамічна навантаженість; міцність; контрейлерні перевезення

Вступ

Розвиток зовнішньоекономічних зв’язків України як транзитної держави з іншими державами євроазійського простору викликає необхідність упровадження в експлуатацію комбінованих систем транспорту. На сьогодні найбільш перспективними серед таких є контейнерні та контрейлерні перевезення (рис. 1). Це пояснюється мобільністю контейнера та можливістю його перевезення майже всіма видами транспорту. У зв’язку з цим знайшли використання поїзди комбінованого транспорту. Так, у 2003 р. на регулярній основі почав курсувати поїзд комбінованого транспорту «Вікінг» за маршрутом Україна – Білорусь – Литва. Дещо пізніше введено в експлуатацію поїзд комбінованого транспорту «Ярослав», а в 2009 р. – «ZUBR». На жаль, не всі ці поїзди виявилися життєздатними. Однак контейнерні перевезення залишаються одним із найбільш затребуваних видів комбінованих перевезень.

Перевезення контейнерів залізницею здійснюється на вагонах-платформах. Нестача рухомого складу зумовлює необхідність адаптації наявного парку вагонів під перевезення заданої номенклатури вантажів. Тому для підвищення ефективності експлуатації залізничного транспорту важливим є врахуванням на стадії модернізації уточнених динамічних навантажень. Це сприятиме забезпеченню безпеки руху комбінованих перевезень, а також підвищенню їх ефективності.

Визначення міцності вагона-платформи для перевезення автомобільних напівпричепів виконано в роботі [2]. Розроблено розрахункову схему, яка дозволяє усунути похибки на етапі проєктування вагона.

Аналіз використання для перевезення контейнерів спеціалізованого та універсального рухомого складу, а також висвітлення питань модернізації універсальних вагонів наведено в роботі [8]. Визначено міцність несучої конструкції вагона-платформи на підставі комплексу розрахункових та експериментальних досліджень.

Для проведення розрахунків автори обмежилися нормативними значеннями навантажень, які діють на вагон в експлуатації. Тобто моделювання динамічної навантаженості вагона з метою визначення уточненого динамічного навантаження в роботі не проведено.

Визначення динамічних навантажень, які діють на транспортні засоби під час контрейлерних перевезеннях, наведено в [15]. Установлено залежності зміни значень динамічних навантажень для різних мас дорожніх транспортних засобів у поздовжній та поперечній площинах. Для визначення динамічних навантажень використано «Технічні умови для розміщення та фіксації вантажів в вагонах та контейнерах». Задача математичного моделювання динамічної навантаженості несучої конструкції вагона-платформи автором не ставилася.

Дослідження динамічної навантаженості контейнера, розміщеного на вагоні-платформі в разі зчеплення, проведено в [11]. Розроблено методологію, яка дозволяє визначити динамічну навантаженість контейнера. Однак визначення динамічної навантаженості контрейлера, розміщеного на вагоні-платформі, автори не проводили.

Аналіз конструкції контейнера нового покоління проведено в роботі [21]. Особливістю контейнера є те, що він складається з вуглецевого волокна. Це дозволяє значно зменшити тару контейнера порівняно з прототипом. Разом із цим автор не зазначив, особливостей розрахункової схеми, яку враховують під час проєктування контейнера.

Визначенню динамічної навантаженості контейнера за експлуатаційних режимів навантаження присвячено роботу [13]. Отримані величини динамічних навантажень враховано для розрахунків на міцність контейнера в середовищі програмного забезпечення Ansys.

Розрахунок на міцність підлоги 40-футового контейнера в програмному комплексі Abaqus/CAE v 6.1 зазначено у [12]. На підставі проведених досліджень запропоновано рекомендації щодо безпечної експлуатації цього типу контейнера.

Однак у цих роботах не висвітлено особливостей моделювання динамічної навантаженості контейнерів під час перевезень у складі комбінованих поїздів.

Мета

Основною метою статті є висвітлення особливостей визначення поздовжньої навантаженості несучої конструкції вагона-платформи, завантаженого контрейлером, за експлуатаційних режимів та обґрунтування можливості використання вагона-платформи моделі 13–401 для перевезення контрейлерів. Для досягнення зазначеної мети поставлені такі завдання:

– визначити поздовжню навантаженість несучої конструкції вагона-платформи, завантаженого контрейлером, за відсутності його переміщень відносно рами;


– визначити поздовжню навантаженість несучої конструкції вагона-платформи, завантаженого контрейлером, за наявності його переміщень відносно рами;

– визначити основні показники міцності несучої конструкції вагона-платформи, завантаженого контрейлером.

а a



б – b

Рис. 1. Комбіновані транспортні системи:
а – контейнерні; б – контрейлерні

Fig. 1. Combined transport systems:
a – container; b – piggyback



Методика

На цей час існує велика кількість технічних умов, які передбачають відповідну модернізацію вагонів під перевезення заданої номенклатури вантажів. Наприклад, із метою можливості перевезення контейнерів на вагоні-платформі моделі 13–401 розроблено ТУ 401М.00.00.000. «Дооборудование платформ модели 13401 под перевозку контейнеров» за проєктом НВЦ «Вагоны». Також є можливим використання цієї моделі вагона-платформи для контрейлерних перевезень.

Для кріплення колісної техніки на вагоні-платформі запропоновано використання типових засобів (рис. 2, 3 [5]). Окрім цього, можна використовувати упори жорсткої конструкції. Упор, наведений на рис. 3, установлюють в отвори в підлозі вагона-платформи.

Для забезпечення безпеки перевезень контрейлерів за експлуатаційних режимів навантаження проведено математичне моделювання динамічної навантаженості несучої конструкції вагона-платформи за розрахункового режиму І (ривок – розтягнення). При цьому використано математичну модель, розроблену проф. Богомазом Г. І., яка характеризує динамічну навантаженість довгобазної конструкції вагона-платформи з трьома контейнерами-цистернами в разі маневрового співударяння. Тому в рамках цього дослідження модель була доопрацьована.

Результати

На першому етапі враховано, що контрейлер жорстко закріплений відносно несучої конструкції вагона-платформи. Розрахункова схема наведена на рис. 4.

а – a


b – b

Рис. 2. Колісний упор із гвинтовим приводом:
а – у робочому стані; б – у транспортному положенні

Fig. 2. Wheel stop with screw drive:
a – in working condition; b – in transport position

Рис. 3. Колісний упор жорсткої конструкції

Fig. 3. Wheel stop of rigid structure

Группа 113

Рис. 4. Розрахункова схема

Fig. 4. Computation scheme

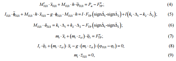
Диференціальні рівняння руху вагона-платформи, завантаженого контрейлером:

причому

де МПЛ – маса несучої конструкції вагона-платформи; ІПЛ – момент інерції вагона-платформи; Рп – величина поздовжньої сили на передні упори автозчепу; mT – маса візка; IКП – момент інерції колісної пари; r – радіус середньозношеного колеса; n – кількість осей візка; l – половина бази вагона; FТР – абсолютне значення сили сухого тертя в ресорному комплекті; k1, k2 – жорсткість пружин ресорного підвішування візків вагона; x, φ, z – координати, що відповідають, відповідно, поздовжньому, кутовому навколо поперечної осі та вертикальному переміщенню вагона.

Розв’язання диференціальних рівнянь здійснено в програмному комплексі MathCad [6, 7, 10, 14]. При цьому їх було зведено до нормальної форми Коші, а після цього інтегровано за допомогою методу Рунге–Кутта.

Початкові переміщення та швидкості задано рівними нулю. Вхідними параметрами математичної моделі є технічні характеристики вагона-платформи та контрейлера, а також значення поздовжньої сили, що діє на передні упори автозчепу (2,5 МН). Враховано, що вантажопідйомність контрейлера складає 20 т.

Результати досліджень дозволили зробити висновок, що прискорення, яке діє на несучу конструкцію вагона-платформи складає близько 32 м/с².

За наявності переміщень контрейлера відносно рами вагона-платформи, математична модель для визначення їх динамічної навантаженості матиме вигляд:

причому

де FТРксила тертя, що виникає між контрейлером та рамою вагона-платформи; mi – маса контрейлера; zci – висота центру ваги контрейлера; Ii – момент інерції контрейлера;
xi, φi – координати, що відповідають, відповідно, поздовжньому та кутовому переміщенню контрейлера.

Проведені розрахунки засвідчують, що з урахуванням можливих переміщень між контрейлером та рамою вагона-платформи максимальне прискорення, яке діє на контрейлер у поздовжній площині, складає близько 42 м/с2, а на вагон-платформу – близько 40 м/с2. Отже, під час переміщень контрейлера відносно несучої конструкції вагона-платформи максимальні прискорення, які діють на неї, збільшуються на 20 % порівняно з жорсткою схемою закріплення контрейлера.

Отримані динамічні навантаження враховано для розрахунку на міцність несучої конструкції вагона-платформи. Графічні роботи проведено в програмному комплексі SolidWorks. Розрахунок на міцність реалізований у програмному забезпеченні CosmosWorks із використанням методу скінченних елементів [1, 16–18]. Як скінченні елементи використано ізопараметричні тетраедри. При цьому оптимальна кількість елементів визначена графоаналітичним методом [19, 20]. Закріплення моделі здійснено в зонах спирання несучої конструкції вагона-платформи на візки. Матеріал конструкції – сталь марки 09Г2С. Для складання розрахункової схеми узято такі навантаження: поздовжнє, яке діє на передні упори автозчепу та складає 2,5 МН, вертикальні навантаження, обумовлені вагою брутто контрейлера Рв, а також горизонтальні динамічні навантаження Рг в зонах спирання контрейлера на раму (рис. 5).

Результати розрахунку на міцність несучої конструкції вагона-платформи наведено на рис. 6, 7.

Группа 10









Рис. 5. Розрахункова схема несучої конструкції вагона-платформи

Fig. 5. Computation scheme of supporting structure of the flat car
















Рис. 6. Напружений стан несучої конструкції вагона-платформи (вид зверху)

Fig. 6. Stress state of supporting structure of the flat car (top view)














Рис. 7. Напружений стан несучої конструкції вагона-платформи (вид знизу)

Fig. 7. Stress state of supporting structure of the flat car (bottom view)



Максимальні еквівалентні напруження при цьому виникають у консольних частинах хребтової балки та складають близько 315 МПа, тобто не перевищують допустимі (рис. 7) [3, 4, 9].

Максимальні переміщення у вузлах конструкції зафіксовано в зоні розміщення передніх упорів автозчепу, вони складають 2,6 мм, а максимальні деформації – .

Отже, перевезення контрейлерів на вагоні-платформі моделі 13–401 є можливим. Отримані результати сприятимуть створенню рекомендацій щодо проєктування вагонів-платформ для контрейлерних перевезень. Також проведені дослідження можуть бути корисними напрацюваннями для створення зйомних засобів контрейлерних перевезень.

Наукова новизна та практична
значимість

Доопрацьовано математичну модель динамічної навантаженості несучої конструкції вагона-платформи, завантаженого контрейлером. При цьому враховано жорстке закріплення контрейлера відносно рами вагона-платформи, а також податливе. Уперше розроблено комп’ютерну модель для визначення міцності несучої конструкції вагона-платформи під час перевезення контрейлера. Модель дозволяє визначити основні показники міцності несучої конструкції вагона-платформи за поздовжньої навантаженості.

Висновки

1. Визначено поздовжню навантаженість несучої конструкції вагона-платформи, завантаженого контрейлером за відсутності його переміщень відносно рами. Для цього проведено математичне моделювання динамічної навантаженості несучої конструкції вагона-платформи за розрахункового режиму І (ривок – розтягнення). Установлено, що прискорення, яке діє на несучу конструкцію вагона-платформи, складає близько 32 м/с².

2. Визначено поздовжню навантаженість несучої конструкції вагона-платформи, завантаженого контрейлером за наявності його переміщень відносно рами. При цьому максимальне прискорення, яке діє на контрейлер у поздовжній площині, складає близько 42 м/с2, а на вагон-платформу – близько 40 м/с2. Таким чином, унаслідок переміщень контрейлера відносно несучої конструкції вагона-платформи максимальні прискорення, які діють на неї, збільшуються на 20 % порівняно з жорсткою схемою закріплення контрейлера.

3. Установлено основні показники міцності несучої конструкції вагона-платформи, завантаженого контрейлером. Розрахунок проведено за методом скінченних елементів у програмному середовищі CosmosWorks. З’ясовано, що максимальні еквівалентні напруження, які виникають у консольних частинах хребтової балки, не перевищують допустимі значення. Максимальні переміщення виникають у зоні розміщення передніх упорів автозчепу, вони складають 2,6 мм, а максимальні деформації – .

У результаті проведеного дослідження можемо констатувати, що на вагоні-платформі моделі 13–401 можна перевозити контейнери.

СПИСОК ВИКОРИСТАНИХ ДЖЕРЕЛ

  1. Алямовский А. А. SolidWorks/COSMOSWorks 2006 – 2007. Инженерный анализ методом конечных элементов. Москва : МДК, 2007. 784 с.

  2. Бондаренко А. И., Панин А. Ю. Теоретическая и экспериментальная оценка прочности вагона-платформы для перевозки автомобильных полуприцепов. Транспорт РФ. 2014. № 3 (52). С. 33–35.

  3. ГОСТ 33211-2014. Вагоны грузовые. Требования к прочности и динамическим качествам. [Действующий от 2016-07-01]. Москва, 2016. 54 с.

  4. ДСТУ 7598:2014. Вагони вантажні. Загальні вимоги до розрахунків та проектування нових і модернізованих вагонів колії 1520 мм (несамохідних). [Чинний від 2015-07-01]. Київ, 2015. 250 с.

  5. Дьомін Ю. В. Залізнична техніка міжнародних транспортних систем (вантажні перевезення). Київ : Юніком-Прес, 2001. 342 с.

  6. Дьяконов В. MATHCAD 8/2000 : спец. справ. Санкт-Петербург : Питер, 2000. 592 с.

  7. Кирьянов Д. В. Mathcad 13. Санкт-Петербург : БХВ-Петербург, 2006. 608 с.

  8. Рейдемейстер А. Г., Калашник В. А., Шикунов А. А. Модернизация как способ улучшения использования универсальных вагонов. Наука та прогрес транспорту. 2016. № 2 (62). C. 148–156. DOI: 10.15802/stp2016/67334

  9. BS EN 12663-2:2010 Railway applications. Structural requirements of railway vehicle bodies. Freight wagons. British Standards Document, 2010. 54 с. DOI: 10.3403/30152552

  10. Kondratiev A. V., Gaidachuk V. E., Kharchenko M. E. Relationships between the ultimate strengths of polymer composites in static bending, compression, and tension. Mechanics of Composite Materials. 2019. Vol. 52. Iss. 2. P. 259–266. DOI: 10.1007/s11029-019-09808-x

  11. Nikitchenko A., Artiukh V., Shevchenko D., Prakash R. Evaluation of Interaction Between Flat Car and Container at Dynamic Coupling of Flat Cars. MATEC Web of Conferences. 2016. Vol. 73. P. 1–10. DOI: 10.1051/matecconf/20167304008

  12. Rzeczycki A., Wiśnicki B. Strength analysis of shipping container floor with gooseneck tunnel under heavy cargo load. Solid State Phenomena. 2016. Vol. 252. P. 81–90. DOI: 10.4028/www.scientific.net/ssp.252.81

  13. Tiernan S., Fahy M. Dynamic FEA modelling of ISO tank containers. Journal of materials processing technology. 2002. Vol. 124. Iss. 1–2. P. 126–132. DOI: 10.1016/s0924-0136(02)00196-6

  14. Tkachenko V., Sapronova S., Kulbovskiy I., Fomin O. Research of resistance to the motion of vehicles related to the direction by railway. Eastern-European Journal of Enterprise Technologies. 2017. Vol. 5. Iss. 7 (89). P. 65–72. DOI: 10.15587/1729-4061.2017.109791

  15. Tsyganov A. Loads of road vehicles during piggyback transportation. MATEC Web of Conferences. 2019. Vol. 298. P. 1–6. DOI: 10.1051/matecconf/201929800109

  16. Fomin O., Lovska A., Kulbovskyi I., Holub H., Kozarchuk I., Kharuta V. Determining the dynamic loading on a semi-wagon when fixing it with a viscous coupling to a ferry deck. Eastern-European Journal of Enterprise Technologies. 2019. Vol. 2. Iss. 7 (98). P. 6–12. DOI: 10.15587/17294061.2019.160456

  17. Fomin O., Lovska A., Masliyev V., Tsymbaliuk A., Burlutski O. Determining strength indicators for the bearing structure of a covered wagon's body made from round pipes when transported by a railroad ferry. Eastern-European Journal of Enterprise Technologies. 2019. Vol. 1. Iss. 7 (97). P. 33–40. DOI: 10.15587/1729-4061.2019.154282

  18. Fomin O., Kulbovsky I., Sorochinska E., Sapronova S., Bambura O. Research of the strength of the bearing structure of the flat wagon body from round pipes during transportation on the railway ferry. MATEC Web of Conferences. 2018. Vol. 235. P. 1–5. DOI: 10.1051/matecconf/201823500003

  19. Fomin O., Kulbovsky I., Sorochinska E., Sapronova S., Bambura O. Experimental confirmation of the theory of implementation of the coupled design of center girder of the hopper wagons for iron ore pellets. Eastern-European Journal of Enterprise Technologies. 2017. Vol. 5. Iss. 1 (89). P. 11–18. DOI: 10.15587/1729-4061.2017.109588

  20. Vatulia G., Falendysh A., Orel Y., Pavliuchenkov M. Structural improvements in a tank wagon with modern software packages. Procedia engineering. 2017. Vol. 187. P. 301–307. DOI: 10.1016/j.proeng.2017.04.379

  21. Yildiz T. Design and Analysis of a Lightweight Composite Shipping Container Made of Carbon Fiber Laminates. Logistics. 2019. Vol. 3. Iss. 3. P. 1–20. DOI: 10.3390/logistics3030018

А. В. ФОМИН1, А. А. ЛОВСКАЯ2*, Н. И. ГОРБУНОВ3, Ю. В. ФОМИНА4

1Каф. «Вагоны и вагонное хозяйство», Государственный университет инфраструктуры и технологий,
ул. Кириловская, 9, Киев, Украина, 04071, тел. +380 (067) 813 97 88, эл. почта fomin1985@ukr.net,
ORCID 0000-0003-2387-9946
2*Каф. «Вагоны», Украинский государственный университет железнодорожного транспорта,
пл. Фейербаха, 7, Харьков, Украина, 61500, тел. +38 (057) 730 10 35,
эл. почта alyonalovskaya.vagons@gmail.com, ORCID 0000-0002-8604-1764
3Каф. «Железнодорожный, автомобильный транспорт и подъемно-транспортные машины»,
Восточноукраинский национальный университет имени В. Даля, пр. Центральный, 59-а,
Северодонецк, Украина, 93400, тел. +38 (095) 309 10 39, эл. почта gorbunov0255@gmail.com,
ORCID
0000-0002-8556-3392
4Каф. «Транспорт и подъемно-транспортная техника», Жилинский университет в Жилине,
ул. Универзитная, 8215/1, Жилина, Словакия, 01026, тел. +380 (50) 401 27 35,
эл. почта fominayul03@gmail.com,
ORCID 0000-0003-0884-5107

ОПРЕДЕЛЕНИЕ ПРОДОЛЬНОЙ НАГРУЖЕННОСТИ

НЕСУЩЕЙ КОНСТРУКЦИИ ВАГОНА-ПЛАТФОРМЫ,

ЗАГРУЖЕННОГО КОНТРЕЙЛЕРОМ

Цель. Это исследование направлено на освещение особенностей определения продольной нагруженности несущей конструкции вагона-платформы, загруженного контрейлером, при эксплуатационных режимах и обоснование возможности использования вагона-платформы модели 13–401 для перевозки контрейлеров. Методика. Проведено математическое моделирование динамической нагруженности несущей конструкции вагона-платформы модели 13–401, загруженного контрейлером. Во внимание приняты две схемы взаимодействия контрейлера с несущей конструкцией вагона-платформы: отсутствие перемещений контрейлера относительно рамы вагона-платформы при движении, а также наличие перемещений контрейлера относительно рамы вагона-платформы при движении. Решение дифференциальных уравнений движения осуществлено в программном обеспечении MathCad. Полученные ускорения учтены при расчете на прочность несущей конструкции вагона-платформы. Результаты. На основании проведенного математического моделирования динамической нагруженности несущей конструкции вагона-платформы установлено, что при отсутствии перемещений контрейлера относительно рамы вагона-платформы максимальное ускорение составляет 32 м/с2. При наличии перемещений контрейлера относительно рамы вагона-платформы максимальное ускорение, которое действует на несущую конструкцию составляет около 40 м/с2, а на контрейлер – около 4м/с2. Определены основные показатели прочности несущей конструкции вагона-платформы. Установлено, что максимальные эквивалентные напряжения при этом возникают в консольных частях хребтовой балки и составляют около 315 МПа, то есть не превышают допустимые. Максимальные перемещения в узлах конструкции составляют 2,6 мм, максимальные деформации – 2,5 ∙ 10-2. Научная новизна. Доработано математическую модель динамической нагруженности несущей конструкции вагона-платформы, загруженного контрейлером. При этом учтено жесткое закрепление контрейлера на раме вагона-платформы, а также податливое. Впервые разработана компьютерная модель для определения прочности несущей конструкции вагона-платформы при перевозке контрейлера. Модель позволяет определить основные показатели прочности несущей конструкции при её продольной нагруженности. Практическая значимость. Проведенные исследования позволяют сделать вывод, что перевозка контрейлеров на вагоне-платформе модели 13–401 возможна. Полученные результаты будут способствовать созданию рекомендаций по проектированию вагонов-платформ для контрейлерных перевозок, а также могут быть полезными наработками при создании съемных средств контрейлерных перевозок.

Ключевые слова: вагон-платформа; несущая конструкция; динамическая нагруженность; прочность; контрейлерные перевозки

O. V. FOMIN1, A. O. LOVSKA2*, M. I. HORBUNOV3, Yu. V. FOMINA4

1Dep. «Cars and Carriage Facilities», State University of Infrastructure
and Technolog
ies, Kyrylivska St., 9, Kyiv, Ukraine, 04071,
tel. +380 (067) 813 97 88, e-mail fomin1985@ukr.net, ORCID 0000-0003-2387-9946
2*Dep. «Wagons», Ukrainian State University of Railway Transport, Feuerbach Sq., 7,
Kharkiv, Ukraine, 61500, tel. +38 (057) 730 10 35,
e-mail alyonalovskaya.vagons@gmail.com, ORCID 0000-0002-8604-1764
3Dep. «Railway and Road transport, Handling Machines», Volodymyr Dahl
East Ukrainian National University, Tsentralnyi Av., 59a, Severodonetsk,
Ukraine, 93400, tel. +38 (095) 309 10 39, e-mail gorbunov0255@gmail.com,
ORCID 0000-0002-8556-3392
4Dep. «Transport and Handling Equipment», University of Zilina in Zilina,
Univerzitna St., 8215/1, Zilina, Slovakia, 01026, tel. +38 (050) 401 27 35,
e-mail fominayul03@gmail.com,
ORCID 0000-0003-0884-5107

DETERMINATION OF THE LONGITUDINAL LOAD

OF SUPPORTING STRUCTURE OF THE FLAT

CAR LOADED WITH A PIGGYBACK

Purpose. This study is aimed at highlighting the features of determining the longitudinal load of the supporting structure of a flat car loaded with a piggyback under operating conditions and substantiating the possibility of using a flat car model 13-401 for transportation of piggyback. Methodology. Mathematical modeling of the dynamic loading of the supporting structure of a flat car model 13-401 loaded with a piggyback was carried out. Two schemes of interaction between the piggyback and the supporting structure of the flat car are taken into account: the lack of movements of the piggyback relative to the frame of the flat car during movement and the presence of movements of the piggyback relative to the frame of the flat car during movement. Solution of the differential equations is implemented in the MathCad software. The obtained accelerations were taken into account motion when calculating the strength of the supporting structure of the platform car. The strength calculation of the supporting structure of the platform car was carried out. Obtained accelerations are taken into account to calculate the strength of supporting structure of the flat car. Findings. Based on the mathematical modeling of the dynamic loading of supporting structure of the flat car, it was found that in the absence of piggyback movements relative to the flat car frame, the maximum acceleration was 32 m/sec2. If the piggyback moves relative to the flat car frame, the maximum acceleration acting on the supporting structure is about 40 m/sec2, and about 42 m/sec2 on the piggyback. The main strength indicators of the supporting structure of the flat car are determined. It was established that the maximum equivalent stresses in this case arise in the cantilever parts of the center sill and are about 315 MPa, that is, do not exceed the permissible ones. The maximum displacements in the structure nodes are 2.6 mm, the maximum deformations are 2.5 ∙ 10-2. Originality. The mathematical model of the dynamic loading of supporting structure of a flatcar loaded with a piggyback is improved. At the same time, the rigid piggyback fastening to the flat car frame, as well as the flexible one, is taken into account. For the first time, a computer model has been developed to determine the strength of the supporting structure of a flat car during the piggyback transportation. The model makes it possible to determine the strength main indicators of supporting structure with its longitudinal loading. Practical value. The conducted studies allow us to conclude that the transportation of piggyback on the flat car model 13-401 is possible. The results of the studies will contribute to the creation of recommendations on the flat car design for piggyback transportation, and can also be useful developments when creating removable means of piggyback transportation.

Key words: flat car; supporting structure; dynamic loading; strength; piggyback transportations

REFEReNCEs

  1. Alyamovskiy, A. A. (2007). SolidWorks/COSMOSWorks 2006-2007. Inzhenernyy analiz metodom konechnykh elementov. Moscow: MDK. (in Russian)

  2. Bondarenko, A. I., & Panin, A. Yu. (2014). Teoreticheskaya i eksperimentalnaya otsenka prochnosti vagona-platformy dlya perevozki avtomobilnykh polupritsepov. Transport Rossiyskoy Federatsii, 3(52), 33-35.
    (in Russian)

  3. Vagony gruzovye. Trebovaniya k prochnosti i dinamicheskim kachestvam, 54 GOST 33211-2014 (2016).
    (in Russian)

  4. Vagoni vantazhni. Zagalni vimogi do rozrahunkiv ta proektuvannya novih i modernizovanih vagoniv koliyi 1520 mm (nasamohidnih), 250 DSTU 7598:2014 (2015). (in Ukraіnian)

  5. Domіn, Yu. V. (2001). Zalіznichna tekhnіka mіzhnarodnikh transportnikh sistem (vantazhnі perevezennya). Kiev: Yunіkom-Pres. (in Ukraіnian)

  6. Dyakonov, V. (2000). MATHCAD 8/2000: Spetsialnyy spravochnik. Saint Petersburg: Piter. (in Russian)

  7. Kiryanov, D. V. (2006). Mathcad 13. Saint Petersburg: BHV-Peterburg. (in Russian)

  8. Reidemeister, O. H., Kalashnyk, V. O., & Shykunov, O. A. (2016). Modernization as a way to improve the use of universal cars. Science and Transport Progress, 2(62), 148-156. DOI: 10.15802/stp2016/67334. (in Russian)

  9. Railway applications. Structural requirements of railway vehicle bodies. Freight wagons: BS EN 12663-2:2010. (2010). (in English)

  10. Kondratiev, A. V., Gaidachuk, V. E., & Kharchenko, M. E. (2019). Relationships Between the Ultimate Strengths of Polymer Composites in Static Bending, Compression, and Tension. Mechanics of Composite Materials, 55(2), 259-266. DOI: 10.1007/s11029-019-09808-x(in English)

  11. Nikitchenko, A., Artiukh, V., Shevchenko, D., & Prakash, R. (2016). Evaluation of Interaction Between Flat Car and Container at Dynamic Coupling of Flat Cars. MATEC Web of Conferences, 73, 1-10. DOI: 10.1051/matecconf/20167304008 (in English)

  12. Rzeczycki, A., & Wiśnicki, B. (2016). Strength Analysis of Shipping Container Floor with Gooseneck Tunnel under Heavy Cargo Load. Solid State Phenomena, 252, 81-90. DOI: 10.4028/www.scientific.net/ssp.252.81 (in English)

  13. Tiernan, S., & Fahy, M. (2002). Dynamic FEA modelling of ISO tank containers. Journal of Materials Processing Technology, 124(1-2), 126-132. DOI: 10.1016/s0924-0136(02)00196-6 (in English)

  14. Tkachenko, V., Sapronova, S., Kulbovskiy, I., & Fomin, O. (2017). Research of resistance to the motion of vehicles related to the direction by railway. Eastern-European Journal of Enterprise Technologies, 5(7(89)), 65-72. DOI: 10.15587/1729-4061.2017.109791(in English)

  15. Tsyganov, A. (2019). Loads of road vehicles during piggyback transportation. MATEC Web of Conferences, 298, 1-6. DOI: 10.1051/matecconf/201929800109 (in English)

  16. Fomin, O., Lovska, A., Kulbovskyi, I., Holub, H., Kozarchuk, I., & Kharuta, V. (2019). Determining the dynamic loading on a semi-wagon when fixing it with a viscous coupling to a ferry deck. Eastern-European Journal of Enterprise Technologies, 2(7(98)), 6-12. DOI: 10.15587/1729-4061.2019.160456 (in English)

  17. Fomin, O., Lovska, A., Masliyev, V., Tsymbaliuk, A., & Burlutski, O. (2019). Determining strength indicators for the bearing structure of a covered wagon's body made from round pipes when transported by a railroad ferry. Eastern-European Journal of Enterprise Technologies, 1(7(97)), 33-40. DOI: 10.15587/1729-4061.2019.154282 (in English)

  18. Fomin, O., Gerlici, J., Lovskaya, A., Kravchenko, K., Prokopenko, P., Fomina, A., & Hauser, V. (2018). Research of the strength of the bearing structure of the flat wagon body from round pipes duringtransportation on the railway ferry. MATEC Web of Conferences, 235, 1-5. DOI: 10.1051/matecconf/201823500003 (in English)

  19. Fomin, O., Kulbovsky, I., Sorochinska, E., Sapronova, S., & Bambura, O. (2017). Experimental confirmation of the theory of implementation of the coupled design of center girder of the hopper wagons for iron ore pellets. Eastern-European Journal of Enterprise Technologies, 5(1(89)), 11-18. DOI: 10.15587/1729-4061.2017.109588 (in English)

  20. Vatulia, G., Falendysh, A., Orel, Y., & Pavliuchenkov, M. (2017). Structural Improvements in a Tank Wagon with Modern Software Packages. Procedia Engineering, 187, 301-307. DOI: 10.1016/j.proeng.2017.04.379 (in English)

  21. Yildiz, T. (2019). Design and Analysis of a Lightweight Composite Shipping Container Made of Carbon Fiber Laminates. Logistics, 3(3), 1-20. DOI: 10.3390/logistics3030018 (in English)


Надійшла до редколегії: 03.03.2020

Прийнята до друку: 04.08.2020


Creative Commons Attribution 4.0 International

doi: 10.15802/stp2020/213449
© О. В. Фомін, А. О. Ловська, М. І. Горбунов, Ю. В. Фоміна, 2020