ISSN 2307–3489 (Print), ІSSN 2307–6666 (Online)

Наука та прогрес транспорту. Вісник Дніпропетровського
національного університету залізничного транспорту, 2020, № 1 (85)



МАШИНОБУДУВАННЯ

МАШИНОБУДУВАННЯ

УДК 621.865.8:62-231.311

Р. П. ПОГРЕБНЯК1*, М. Р. ПОГРЕБНЯК2*

1*Каф. «Прикладна механіка», Національна металургійна академія України, пр. Гагаріна, 4, Дніпро, Україна, 49005, тел. +38 (091) 906 54 24, ел. пошта pogrebnyakk@ukr.net, ORCID 0000-0002-4685-1818
2*Каф. «Автоматизація та комп’ютерні системи», Національний технічний університет «Дніпровська політехніка», пр. Дмитра Яворницького, 19, Дніпро, Україна, 49005, тел. +38 (095) 499 75 01, ел. пошта mpogrebnyakk@gmail.com, ORCID 0000-0002-2961-3383

кінематичний синтез ПРЯМОЛІНІЙНО-

НАПРЯМНИХ ЦЕНТРАЛЬНИХ кривошипно-

ПОВЗУНКОВИХ МЕХАНІЗМІВ

ЗАХОПЛЮВАЛЬНОГО ПРИСТРОЮ

за енергетичним індексом
передачі руху

Мета. Основна мета роботи – виконати кінематичний аналіз і синтез відомих схем прямолінійно-напрямних центральних кривошипно-повзункових механізмів за критерієм енергетичного індексу передачі руху з обмеженням припустимими кутами тиску в кінематичних парах і найменшим відхиленням траєкторії руху від прямолінійності на ділянці наближення. Визначити схему, яка найкраще задовольняє умови синтезу й запропонувати на її основі механізм захоплювального пристрою. Методика. Досягнення поставленої мети здійснено засобами аналітичної кінематики пласких механізмів теорії механізмів і машин та математичним моделюванням положень і руху ланок. Результати. Проєктування механізмів різноманітних захоплювачів, що забезпечують постійне зусилля затискання об’єктів різної товщини зі сталою потужністю приводу та мінімальними енергетичними витратами, може бути виконане за критерієм енергетичного індексу передачі руху (ЕІПР). На його основі проведено аналіз відомих прямолінійно-напрямних центральних кривошипно-повзункових механізмів із подовженим шатуном за критерієм найменшого відхилення від одиниці ЕІПР. З’ясовано, що практичне використання більшості таких механізмів

Оскільки в чотирихшарнірного механізму траєкторія руху лише наближена до прямої, то геометричний синтез таких механізмів зводиться до визначення відносних розмірів ланок і їх розташування за умови найменшого й симетричного відхилення дійсної траєкторії руху від прямолінійної. Як показує досвід такого проєктування, зменшення відхилення відбувається за рахунок зменшення довжини ділянки прямолінійного руху. Відоме [2] аналітичне визначення відносних розмірів ланок, що забезпечує мінімальне симетричне відхилення дійсної траєкторії руху точки шатуна від прямолінійної, яке здійснене П. Чебишевим для його чотирихшарнірного λ-подібного прямила: 2λ = 3ρ, де λ = l/a, ρ = r/a, l – довжина шатуна і коромисла, а – довжина станини. Можливе визначення довжини прямолінійної ділянки й величини відхилення від прямолінійної траєкторії точки шатуна, значення якого може бути незначним.

Дослідники запропонували велику кількість різних схем і конструкцій захоплювачів різного призначення, у тому числі й механічних стрижньових [1, 3, 9, 13, 17, 19], однак питання оптимального метричного синтезу схеми механізму за певними критеріями руху з визначенням оптимальних розмірів і положень ланок механізму залишаються складними і мало вивченими. Відомі роботи українських учених школи проф. Я. Кіницького з аналітичного дослідження важільних механізмів із зупинкою веденої ланки на базі напрямних кривошипно-повзункових механізмів [4, 5, 6]. Щодо механізмів захоплювачів, в основі яких лежать схеми кривошипно-повзункових прямолінійно-напрямних механізмів, то їх раціональний метричний синтез за певними критеріями практично не досліджений.

Слід зауважити, що для уникнення додаткових динамічних навантажень кінематичний синтез напрямних механізмів захоплювачів потрібно вести в напрямі пошуку сталої швидкості затискних елементів на ділянці прямолінійного руху.

Проєктування механізмів захоплювачів, що забезпечують постійне зусилля затискання об’єктів різної товщини зі сталою потужністю приводу та мінімальними енергетичними витратами, потрібно виконувати за критерієм енергетичного індексу передачі руху (ЕІПР) [10]:

.

Для схем наближених прямолінійно-напрямних механізмів кут α між вектором сили затискання Рвих і вектором швидкості Vвих точки прикладання цієї сили прийнятий рівним π, тоді ЕІПР можна визначати за залежністю:

.

Кінематичний синтез за подібним трансмісійним індексом для інших механізмів стрижньових захоплювачів виконаний у роботах [12, 14, 15, 18, 19, 20].

Мета

Основна мета роботи – виконати кінематичний аналіз і синтез схем прямолінійно-напрямних механізмів центрального кривошипно-повзункового захоплювального пристрою за критерієм енергетичного індексу передачі руху із обмеженням припустимими кутами тиску в кінематичних парах і найменшим відхиленням траєкторії руху від прямолінійності на ділянці наближення.

Методика

Досягнення поставленої мети здійснено засобами аналітичної кінематики пласких стрижньових механізмів та математичним моделюванням положень і руху ланок.

Результати

Проведемо якісний аналіз придатності прямолінійно-напрямних центральних кривошипно-повзункових механізмів задоволенню їх відомих схем критерію енергетичного індексу передачі руху.

Центральний кривошипно-повзунковий напрямний механізм із параметрами ОА = АВ = АС (рис.1) забезпечує точний прямолінійний рух точки С шатуна ВС за ведучих ланок 1 або 3 й називається «еліптичне правило».

Рис. 1. Кінематична схема, план швидкостей
і графіки зміни ЕІПР прямолінійно-напрямного
центрального кривошипно-повзункового
механізму «еліптичне правило
»

Fig. 1. Kinematic scheme, velocity plan and EMTI
(energetic motion transmission index) change graphs
of the guide bearing central slide-crank mechanism «elliptical rule»

За ведучого повзуна 3 ЕІПР може бути виражений через відношення відповідних відрізків із плану швидкостей

і досягає одиниці, якщо кут φ = π/4. За ведучого кривошипа 1 ЕІПР виразимо через відношення відрізків плану:

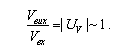
який досягає одиниці, якщо кут φ = π/3. В обох випадках кут α між вектором сили затискання Рвих і вектором швидкості точки прикладання цієї сили точно дорівнює π. У разі припущення симетричного відхилення Δ/2 = 5 % від |UV | = 1 діапазон зміни кута повороту кривошипа для обох випадків, що відповідає цьому діапазонові, не більше 5° (рис.1), і тому практичне використання за даним критерієм такого механізму неможливе.

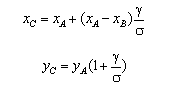
Відомий напрямний механізм на основі еліптичного правила з іншими відношеннями довжин ланок в одиницях довжини кривошипа σ = АВ/ОА = 1,37, γ = АС/ОА = 2,27 [1] (рис. 2). Рух точки С тільки на окремій ділянці траєкторії наближається до прямої лінії і за постійної швидкості вхідної ланки, прийнятої за одиницю, ЕІПР може бути оцінений як відхилення від одиниці на ділянці наближення. Кінематичні характеристики механізму визначимо засобами аналітичної кінематики.

Координати точки А кривошипа в системі координат XОY:

Візьмемо для одиничного кривошипа ОА=1, тоді:

(1)

Параметр

(2)

Координати точки В:

(3)

КPAN>за цим критерієм украй обмежене або неможливе. Оптимізаційним синтезом кінематичних залежностей отримано єдині значення відносних параметрів і діапазон повороту ведучого кривошипа для схеми прямолінійно-напрямного центрального кривошипно-повзункового механізму з подовженим шатуном за повзун, що найкраще задовольняють вимоги критерію оптимізації і виконують обмеження за кутами тиску. На основі оптимальних параметрів схеми центрального прямолінійно-напрямного механізму запропоновано спарений паралелограмний одинадцятиланковий стрижньовий захоплювач, що забезпечує прямолінійний рух затискних елементів зі сталою швидкістю й постійною силою затискання, рівною номінальній рушійній силі приводу. Наукова новизна. Уперше проведено якісний і кількісний аналіз відомих схем центральних прямолінійно-напрямних кривошипно-повзункових механізмів за критерієм енергетичного індексу передачі руху (ЕІПР) і виконано оптимальний синтез захоплювального пристрою за результатами проведеного аналізу. Практична значимість. Запропоновано практичні рекомендації щодо вибору схеми, відносних розмірів і розташування ланок механізму для центрального прямолінійно-напрямного кривошипно-повзункового механізму захоплювача, які реалізують вимоги критерію оптимізації та обмеження припустимими кутами тиску.

Ключові слова: механічний захоплювач; напрямний механізм; енергетичний індекс передачі руху (ЕІПР); кут тиску

Вступ

До захоплювальних пристроїв маніпуляторів, як до окремих механізмів з індивідуальним приводом, висувають різноманітні вимоги щодо їх функціональності, простоти, енергоефективності, надійності та ін. Однією з найбільш вагомих вимог є універсальність як здатність затискати й утримувати різні об’єкти за розмірами, вагою та конфігурацією без переналагодження та заміни робочих елементів. При цьому сила затискання об’єктів різних розмірів повинна бути достатньою і сталою для надійного їх утримування під час перехідних режимів роботи руки маніпулятора. Окрім цього, об’єкт не повинен бути пошкоджений або зруйнований.

Кінематичні схеми простих механічних стрижньових захоплювачів мають невелику кількість рухомих ланок і, зазвичай, один ступінь свободи й один двигун приводу. Переважна більшість таких механізмів є діадними з однорухомими кінематичними з’єднанням.

Ще одна важлива вимога конструювання механізмів захоплювачів – забезпечення прямолінійного руху затискних елементів у всьому діапазоні їх переміщення. Така траєкторія руху забезпечує співпадіння центра захоплювача з центром робочих елементів [9] у всьому діапазоні товщин затискуваних деталей і гарантує їх високу точність базування. Зазвичай кінематичні схеми таких захоплювачів у яких затискні елементи здійснюють точний прямолінійний рух, більш складні.

При конструюванні захоплювачів, що реалізують умову прямолінійного руху затискних елементів, можливе застосування схем прямолінійно-напрямних механізмів. Такі стрижньові механізми використовують для відтворення на всій або окремій ділянці руху точки ланки траєкторії, близької до прямої лінії. Ця ланка утворює кінематичні пари тільки з рухомими ланками механізму.

Найвідоміші та найпоширеніші напрямні механізми запропоновані й розроблені давно. Відомі випрямляльні кулісні конхоїдальні механізми, еліптичні та λ-подібні прямила, чотирихланкові прямила Рело, Дежонжа, Уатта, Чебишева, Робертса, Еванса, Скотта, Рассела [1, 7, 8] та ін. Прямолінійний рух певної точки шатуна в цих механізмах можливий тільки на обмеженій ділянці траєкторії та за визначеними відношеннями довжин ланок. Із різних причин не всі вони підходять для використання в механізмах захоплювачів. Теоретоординати точки С:

(4)

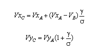
Проєкції швидкості точки А кривошипа на осі:

.

Для одиничного кривошипа й одиничної кутової швидкості ω = 1, тоді:

(5)

(6)

Рис. 2. Кінематична схема і графіки зміни кінематичних параметрів прямолінійно-напрямного центрального кривошипно-повзункового механізму

Fig. 2. Kinematic scheme and graphs of change of kinematic parameters of guide bearing central slide-crank mechanism

Швидкість повзуна:

(7)

Проєкції швидкості точки С шатуна на осі визначимо за аналогічними залежностями (4):

За отриманими залежностями виконано моделювання кінематичних параметрів механізму засобами MathCad. Точність наближення оцінена відстанню 2Е між паралельними прямими, проведеними через екстремальні значення координати xC на ділянці наближення. Для цієї схеми 2Е = 1,27 – 1,2372 = 0,033, що складає 3,3 % довжини кривошипа (найменшої ланки схеми). Проєкція швидкості VxС на цій ділянці практично дорівнює нулю, тому приймаємо VyC = VC. ЕІПР за взято одиничної лінійної швидкості точки А ведучої ланки VC = 1 набуде значення VyC, яке на ділянці наближення значно відхиляється від одиниці (1,1…2,7), і за цим критерієм схема не може бути прийнятною. Крім того, ця швидкість змінна, що погіршує динамічні показники експлуатації механізму.

Схема може бути поліпшена в напрямі збільшення точності наближення, але прийнятний діапазон існування ЕІПР унеможливлює коефіцієнт , який завжди і значно більший за одиницю.

На ділянці наближення реалізована може бути тільки схема з ведучим кривошипом, схема з ведучим повзуном неможлива через критичні кути тиску.

У роботі [15] розглянутий кінематичний синтез такого механізму захоплювача за чотирма критеріями оптимізації (індекс захоплювання, показники маси, пришвидшення і швидкості) засобами MathLab, який привів дослідників до схеми напрямного механізму. Однак, як показали наші дослідження, схема не задовольняє вимогам індексу ЕІПР.

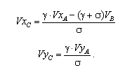
Розглянемо ще одну можливу схему прямолінійно-напрямного центрального кривошипно-повзункового механізму з подовженим шатуном напрямком за повзун (рис.3). У роботі [1] представлений такий механізм з відносними розмірами σ = АВ/ОА = 1,86, γ = АС/ОА = 2,76. Тут також рух точки С лише на окремій ділянці траєкторії наближається до прямої лінії, і ЕІПР оцінимо як відхилення від одиниці на ділянці наближення. За залежностями (1) – (3) визначаємо координати точок А і В, координати точки С визначимо як:

За залежностями (5) – (7) визначимо відповідні швидкості. Проєкції швидкості точки С вихідної ланки визначимо за формулами:

(8)

Математичним моделюванням побудовані симетрична шатунна крива крайньої точки шатуна С, відповідні швидкості точок механізму та необхідні параметри оцінки ЕІПР на ділянці наближення. Для цієї схеми точність наближення дорівнює 2Е = 3,62 – 3,57 = 0,05, яка зменшалась порівняно з попередньою схемою і складає 5 % довжини кривошипа. Проте значно збільшилася довжина ділянки наближення, що розширює можливості схеми. Як бачимо, проєкція швидкості VxС на цій ділянці мало відрізняється від нуля, тому ЕІПР можна взяти рівним VyC, який змінюється за законом косинуса. Однак схема задовольняє прийнятому симетричному відхиленню Δ/2 = 5 % від критерію ЕІПР тільки на двох нетривалих ділянках наближення, а на більшій частині зони наближення значно відхиляється від одиниці (0,72…1,48), і тому теж не може бути прийнятною.

Оптимізаційним синтезом залежностей (1) – (3) та (5) – (8) отримані єдині значення параметрів σ й γ, що задовольняють прийнятому відхиленню критерію ЕІПР на всій довжині ділянці наближення. На рис. 4 представлені графіки зміни кінематичних параметрів такої схеми. Як видно з рисунка, довжина ділянки наближення скоротилася, але значно зросла точність наближення (2Е = 3,055 – 3,05415 = 0,00085), а значення ЕІПР не виходять за межі ±5 % відхилення.

Рис. 3. Кінематична схема і графіки зміни ЕІПР прямолінійно-напрямного центрального кривошипно-повзункового механізму

Fig. 3. Kinematic scheme and EMTI change graphs of the guide bearing central slide-crank mechanism

На основі оптимальних параметрів схеми може бути спроєктований одинадцятиланковий стрижньовий механізм захоплювача на основі спареного паралелограмного центрального кривошипно-повзункового механізму з ведучим кривошипом. Ведучі кривошипи 1 і 6 (рис. 5) синхронно впливають на шатуни 2 і 7, які подовжені за повзуни 3 і 8, що рухаються в напрямних станини. На кінці шатунів шарнірно закріплені ланки 5 і 10, що містять затискні елементи захоплювача. Додані ланки 4 й 9 утворюють паралелограм і забезпечують прямолінійний рух затискних елементів захоплювача.

При затисканні об’єктів різної товщини орієнтація та положення затискних елементів захоплювача залишаються незмінними й збігаються з центром захоплювача, який переміщується прямолінійно вздовж поперечної осі. Використання такого захоплювача може бути прийнятним не тільки для переміщення, але й для базування об’єкта маніпулювання.

Рис. 4. Графіки зміни кінематичних параметрів оптимального прямолінійно-напрямного центрального кривошипно-повзункового механізму

Fig. 4. Change graphs of kinematic parameters of the optimal guide bearing central slide-crank mechanism


У складі механізму захоплювача є тільки двоповідкові структурні групи, механізм має станину, й більшість кінематичних пар є нижчими обертальними, що мають вищу надійність експлуатації.

Додаткові обмеження синтезу здійснює дотримання припустимої величини кутів тиску, які в деяких положеннях механізму можуть виходити за межі дозволених. Значення кута тиску в поступальній парі повзун–напрямна дорівнює куту нахилу шатуна, який визначимо за залежністю (8), його допустиме значення прийнято [4] 23] ≤ π:

(8)

Як видно з графіка (рис. 3), у всьому діапазоні роботи механізму допустиме значення не перевищене, а максимальне його значення досягається за кута π/2 й дорівнює θ23 = 0,52 р.

У такому механізмі затискання в діапазоні кута повороту кривошипа 2,72 р < φ < 3,56 р, що відповідає руху затискних елементів на ділянці наближення, сила затискання об’єкта буде сталою та рівною номінальній рушійній силі привода у всьому діапазоні товщин деталей, які затискають.

Характер кривих (рис. 4) показує, що збільшення довжини ділянки наближення, відповідно і кута експлуатації механізму, відбувається в разі збільшення допустимого відхилення Δ й дозволяє виконати пошук єдиного рішення для симетричного відхилення від UV = 1.

Після визначення оптимальних геометричних параметрів синтезу механізму захоплювача рекомендовано виконати його структурний аналіз із визначенням та усуненням шкідливих надлишкових зв’язків [10, 11, 12, 18], що значно підвищує надійність такого механізму.

Наукова новизна та практична
значимість

Уперше проведено якісний і кількісний аналіз різних схем центральних прямолінійно-напрямних кривошипно-повзункових механізмів за критерієм енергетичного індексу передачі руху (ЕІПР), а також виконано оптимальний синтез захоплювального пристрою за результатами проведеного аналізу.

Запропоновано практичні рекомендації щодо вибору схеми, розташування ланок механізму, коефіцієнтів їх відносних розмірів для центрального прямолінійно-напрямного кривошипно-повзункового механізму захоплювача.

Рис. 5. Кінематична схема захоплювального пристрою, побудованого на основі оптимального спареного прямолінійно-напрямного центрального кривошипно-повзункового механізму

Fig. 5. Kinematic scheme of the gripping device, constructed on the basis of optimal paired guide bearing central slide-crank mechanism

Висновки

Виконано енергетичний синтез геометричних параметрів прямолінійно-напрямних кривошипно-повзункових механізмів захоплювального пристрою за критерієм найменшого відхилення від одиниці швидкісної функції.

У результаті аналізу відомих схем центральних прямолінійно-напрямних кривошипно-повзункових механізмів визначено схему, яка найбільш відповідає критерію енергетичного індексу передачі руху на прямолінійній ділянці наближення. Для цієї схеми і побудованого на її основі механізму захоплювача існують значення відносних параметрів довжин ланок і діапазон повороту кривошипа, за яких відхилення від критерію оптимізації мінімальне й задовольняють обмеження за кутами тиску.

Напрямні механізми, що спроєктовані за критерієм ЕІПР, як правило, задовольняють вимоги інших критеріїв оптимізаційного синтезу для механізмів захоплювальних пристроїв і важільних механізмів.

СПИСОК ВИКОРИСТАНИХ ДЖЕРЕЛ

  1. Артоболевский И. И. Механизмы в современной технике: в 7 т. Москва : Наука, 1971. т. 2 : Рычажные механизмы. 560 с.

  2. Баранов Г. Г. Курс теории механизмов и машин. Москва : Машгиз, 1958. 488 с.

  3. Боренштейн Ю. П. Исполнительные механизмы захватывающих устройств. Ленинград : Машиностроение, 1982. 302 с.

  4. Воробьев Е. И., Егоров О. Д., Попов С. А. Механика промышленных роботов : учеб. пособие для втузов: в 3 кн. Кн. 2 : Расчет и проектирование механизмов. Москва : Высшая школа, 1988. 367 с.

  5. Кіницький Я. Т., Трасковецька Л. М., Міняйло П. В. Дослідження якісних кінематичних характеристик важільних механізмів із зупинкою вихідної ланки, одержаних на базі прямолінійно напрямного кривошипно-повзунного механізму. Вісник ХНУ. 2018. Iss. 3. С. 12–15.

  6. Кіницький Я. Т., Міняйло П. В. Кінематика важільних механізмів із зупинкою вихідної ланки, одержаних на базі прямолінійно-напрямного кривошипно-повзунного механізму. Вісник ХНУ. 2017. Iss. 3. С. 14–17.

  7. Кіницький Я. Т., Харжевський В. О., Марченко М. В. Синтез важільних механізмів із зупинкою вихідної ланки на базі напрямних механізмів : монографія. Хмельницький, 2013. 432 с.

  8. Кожевников С. Н., Есипенко Я. И., Раскин Я. М. Механизмы. Москва : Машиностроение, 1965. 1059 с.

  9. Крайнев А. Ф. Словарь-справочник по механизмам. Москва : Машиностроение, 1987. 560 с.

  10. Погребняк Р. П. Повторювані зв’язки у схемах стрижньового повзунно-шатунного механізму захоплювального пристрою. Наука та прогрес транспорту. 2018. № 4 (76). С. 81–88. DOI: 10.15802/stp2018/140547

  11. Погребняк Р. П. Пошук та усунення надлишкових зв’язків у захоплюючих пристроях (захоплювачах) механізмів маніпуляторів. Металлургическая и горнорудная промышленность. 2015. № 7. С. 91–95.

  12. Погребняк Р. П. Структурний аналіз і кінематичний синтез спареного стрижньового кулісного механізму захвата робота. Підйомно-транспортна техніка. 2017. № 4 (56). С. 57–66.

  13. Челпанов И. Б., Колпашников С. Н. Схваты промышленных роботов. Ленинград : Машиностроение, 1989. 287 с.

  14. Bai G., Kong X., Ritchie J. M. Kinematic Analysis and Dimensional Synthesis of a Meso-Gripper. Journal of Mechanisms and Robotics. 2017. Vol. 9. Iss. 3. P. 1–59. DOI: 10.1115/1.4035800

  15. Lanni C., Ceccarelli M. An Optimization Problem Algorithm for Kinematic Design of Mechanisms for Two-finger Grippers. The Open Mechanical Engineering Journal. 2009. Vol. 3. Iss. 1. P. 49–62. DOI: 1874155X00903010049

  16. Monkman G. J., Hesse S., Steinmann R., Schunk H. Robot grippers. Weinheim : Wiley-VCH, 2007. 463 р. DOI: 10.1002/9783527610280

  17. Pogrebnyak R. P. Structural analysis and rational design parallelogram arm gripping device. Теория и практика металлургии. 2015. № 1/2. С. 123–125.

  18. Rao R. V., Waghmare G. Design Optimization of Robot Grippers Using Teaching-learning-based Optimization Algorithm. Advanced Robotics. 2015. Vol. 29. Iss. 6. Р. 431–447. DOI: 10.1080/01691864.2014.986524

  19. Rimon E., Burdick J. The Kinematics and Mechanics of Grasping Mechanisms. The Mechanics of Robot Grasping, 2019. Cambridge : Cambridge University Press. Р. 411–440. DOI:10.1017/9781108552011.020

  20. Lin Wen-Yi, Hsiao Kuo-Mo. Optimum synthesis of a 10-link gripping mechanism using new grasping indices. Journal of the Chinese Institute of Engineers. 2016. Vol. 39. Iss. 7. Р. 809–815. DOI: https://doi.org/10.1080/02533839.2016.1187086



Р. П. ПОГРЕБНЯК1*, М. Р. ПОГРЕБНЯК2*

1*Каф. «Прикладная механика», Национальная металлургическая академия Украины, пр. Гагарина, 4, Днипро, Украина, 49005, тел. +38 (091) 906 54 24, эл. почта pogrebnyakk@ukr.net, ORCID 0000-0002-4685-1818
2*Каф. «Автоматизация и компьютерные системы», Национальный технический университет «Днипровская политехника», пр. Дмитрия Яворницкого, 19, Днипро, Украина, 49005, тел. +38 (095) 499 75 01,
ел. почта mpogrebnyakk@gmail.com, ORCID 0000-0002-2961-3383

кинематический СИНТЕЗ ПРЯМОЛИНЕЙНО-

НАПРАВЛЯЮЩИХ ЦЕНТРАЛЬН
ЫХ кривошипно-

ползуннЫХ МЕХАНИЗМОВ захватывающего

устройства
по энергетическому индексу

передачи движения

Цель. Основная цель работы – выполнить кинематический анализ и синтез известных схем прямолинейно-направляющих центральных кривошипно-ползунных механизмов по критерию энергетического индекса передачи движения с ограничением допустимыми углами давления в кинематических парах и наименьшим отклонением траектории движения от прямолинейности на участке приближения. Определить схему, которая лучше всего удовлетворяет условиям синтеза, и предложить на ее основе механизм захватывающего устройства. Методика. Достижение поставленной цели осуществлено средствами аналитической кинематики плоских механизмов теории механизмов и машин и математическим моделированием положений и движения звеньев. Результаты. Проектирование механизмов разных захватов, обеспечивающих постоянное усилие зажима объектов различной толщины с постоянной мощностью привода и минимальными энергетическими затратами, может быть выполнено по критерию энергетического индекса передачи движения (ЭИПД). На его основе проведен анализ известных прямолинейно-направляющих центральных кри-вошипно-ползунных механизмов с продленным шатуном по критерию наименьшего отклонения от единицы ЭИПД. Выяснено, что практическое использование большинства таких механизмов по данному критерию крайне ограничено или невозможно. Оптимизационным синтезом кинематических зависимостей получены единственные значения относительных параметров и диапазон поворота ведущего кривошипа для схемы прямолинейно-направляющего центрального кривошипно-ползунного механизма с продленным шатуном за ползун, что лучше всего соответствуют критерию оптимизации и удовлетворяют ограничениям по углам давления. На основе оптимальных параметров схемы центрального прямолинейно-направляющего механизма предложен спаренный параллелограммный одиннадцатизвенный стержневой механизм, который обеспечивает прямолинейное движение зажимных элементов с постоянной скоростью и постоянной силой зажима, равной номинальной движущей силе привода. Научная новизна. Впервые проведен качественный и количественный анализ известных схем центральных прямолинейно-направляющих кривошипно-ползунных механизмов по критерию энергетического индекса передачи движения (ЭИПД) и выполнен оптимальный синтез захватывающего устройства по результатам проведенного анализа. Практическая значимость. Предложены практические рекомендации по выбору схемы, относительных размеров и расположения звеньев механизма центрального прямолинейно-направляющего кривошипно-ползунного механизма захвата, реализующих требования критерия оптимизации и ограничения допустимыми углами давления.

Ключевые слова: механический захват; направляющий механизм; энергетический индекс передачи движения (ЭИПД); угол давления

R. P. POGREBNYAK1*, M. R. POHREBNIAK2*

1*Dep. «Applied Mechanics», National Metallurgical Academy of Ukraine, Haharina Av., 4, Dnipro, Ukraine, 49005, tel. +38 (091) 906 54 24, e-mail pogrebnyakk@ukr.net, ORCID 0000-0002-4685-1818
2* Dep. «Automation and Computer Systems», National Technical University «Dnipro Polytechic», D. Yavornytskoho Av., 19, Dnipro, Ukraine, tel. +38 (095) 499 75 01, e-mail mpogrebnyakk@gmail.com, ORCID 0000-0002-2961-3383

KINEMATIC SYNTHESIS of the guide

bearing central slide-crank

mechanism OF THE gripping DEVICE

based ON THE energetic motion

transmission index

Purpose. The main objective of the work is to perform a kinematic analysis and synthesis of the known schemes of guide bearing central slide-crank mechanisms by the criterion of the energy index of motion transmission with the restriction by the allowable pressure angles in the sliding pairs and the smallest deviation of the trajectory from straightness in the approximation area. The article is also aimed to determine the scheme that best suits the synthesis conditions and to propose the gripping device mechanism on its basis. Methodology. This purpose is achieved by means of analytical kinematics of flat mechanisms of the mechanism and machine theory and mathematical modeling of the positions and movement of links. Findings. The design of mechanisms with different gripping devices providing a constant clamping force of objects of various thicknesses with a constant drive power and minimal energy costs can be performed by the criterion energetic motion transfer index (EMTI). On its basis the analysis of the known straight-guiding central crank-slider mechanisms with an extended connecting rod is carried out according to the criterion of the smallest deviation from the EMTI unit. It was found that the practical use of main part of these mechanisms according to this criterion is extremely limited or impossible. Using optimized synthesis of kinematic equations, it was obtained the only values of the relative parameters and the rotation ranges of the driving crank for the guide bearing central slide-crank mechanisms with an extended connecting rod that best meet the optimization criterion and satisfy the restrictions for pressure angles. Based on the optimal parameters of the guide bearing central slide-crank mechanism a paired parallelogram eleven-link mechanism is proposed that provides the rectilinear movement of the gripping elements with a constant speed and constant clamping force which is equal to the nominal driving force of the drive. Originality. For the first time, a qualitative and quantitative analysis of the known schemes of the guide bearing central slide-crank mechanisms according to the criterion of the energetic motion transfer index was carried out and the optimal synthesis of the gripping device according to the results of the analysis was performed. Practical value. Practical recommendations are suggested for choosing a scheme, relative sizes and arrangement of links of the guide bearing central slide-crank mechanism of the gripping mechanism that corresponds to the requirements of the optimization criterion and restriction by the allowable pressure angles.

Keywords: mechanical gripping device; guiding mechanism; energetic motion transfer index (EMTI); pressure angle

REFERENCES

  1. Artobolevskiy, I. I. (1971). Mekhanizmy v sovremennoy tekhnike. Moskow: Nauka. (in Russian)

  2. Baranov, G. G. (1958). Kurs teorii mekhanizmov i mashin. Moskow: Mashgiz. (in Russian)

  3. Borenshteyn, Y. P. (1982). Ispolnitelnye mekhanizmy zakhvatyvayushchikh ustroystv. Leningrad: Ma-shinostroyeniye. (in Russian)

  4. Vorobov, Y. I., Yegorov, O. D., & Popov, S. A. (1988). Mekhanika promyshlennykh robotov. In K. V. Frolov, Y. I. Vorobov (Eds.). Raschet i proyektirovanie mekhanizmov. Moscow: Vysshaya shkola. (in Russian)

  5. Kinytskyi, Ya. T., Traskovetska, L. M., & Miniailo, P. V. (2018). The investigation of the qualitative kinematic characteristics of the dwell linkage mechansms which are based on the straight-line path generating slider-crank mechanism. Herald of Khmelnytskyi national university, 3,12-15. (in Ukraіnian)

  6. Kinytskyi, Ya. T., Kharzhevskyi, V. O., & Marchenko, M. V. (2013). Syntez vazhilnykh mekhanizmiv iz zupynkoiu vykhidnoi lanky na bazi napriamnykh mekhanizmiv: monohrafiia. Khmelnytskyi. (in Ukraіnian)

  7. Kozhevnikov, S. N., Yesipenko, Ya. I., & Raskin, Ya. M. (1965). Mekhanizmy. Moskow: Mashinostroenie. (in Russian)

  8. Kinytskyi, Ya. T., Miniailo, P. V. (2017). The kinematics of dwell linkage mechanisms which are based on the straight-line path generating slider-crank mechanism. Herald of Khmelnytskyi national university, 3, 14-17. (in Ukraіnian)

  9. Kraynev, A. F. (1987). Slovar-spravochnik po mekhanizmam. Moskow: Mashinostroenie. (in Russian)

  10. Pogrebnyak, R. P. (2018). Repeated Connections in the Schemes of Link Slider-crank Mechanism of Gripping Device. Science and Transport Progress, 4(76), 81-88. DOI: 10.15802/stp2018/140547 (in Ukraіnian)

  11. Pogrebnyak, R. P. (2015). Poshuk ta usunennya nadlishkovikh zv'yazkiv u zakhoplyuyuchykh pristroyakh (zakhoplyuvachakh) mekhanizmiv manipulyatoriv. Metallurgicheskaya i gornorudnaya promyshlennost, 7, 91-95. (in Ukranian)

  12. Pogrebnyak, R. P. (2017). Strukturniy analiz i kinematychniy sintez strizhnovogo kulisnogo mekhanizmu zakhvata. Pidyomno-transportna tekhnika, 2(54), 47-56. (in Ukranian)

  13. Chelpanov, I. B., & Kolpashnikov, S. N. (1989). Skhvaty promyshlennykh robotov. Leningrad: Ma-shinostroyenie. (in Russian)

  14. Bai, G., Kong, X., & Ritchie, J. M. (2017). Kinematic Analysis and Dimensional Synthesis of a Meso-Gripper. Journal of Mechanisms and Robotics, 9(3), 1-59. DOI: 10.1115/1.4035800 (in English)

  15. Lanni, C., & Ceccarelli, M. (2009). An Optimization Problem Algorithm for Kinematic Design of Mechanisms for Two-finger Grippers. The Open Mechanical Engineering Journal 3(1), 49-62. DOI: 1874155X00903010049 (in English)

  16. Monkman, G. J., Hesse, S., Steinmann, R., & Schunk, H. (2007). Robot Grippers. Weinheim: Wiley-VCH.
    DOI: 10.1002/9783527610280 (in English)

  17. Pogrebnyak, R. P. (2015). Structural analysis and rational design parallelogram arm gripping device. Theory and Practice Steel Industry,1/2, 124-126. (in English)

  18. Rao, R. V., & Waghmare, G. (2015). Design Optimization of Robot Grippers Using Teaching-learning-based Optimization Algorithm. Advanced Robotics, 29(6), 431-447. DOI: 10.1080/01691864.2014.986524 (in English)

  19. Rimon, E., & Burdick, J. (2019). The Kinematics and Mechanics of Grasping Mechanisms. The Mechanics of Robot Grasping. Cambridge: Cambridge University Press. DOI: 10.1017/9781108552011.020 (in English)

  20. Lin, Wen-Yi, & Hsiao, Kuo-Mo (2016). Optimum synthesis of a 10-link gripping mechanism using new grasping indices. Journal of the Chinese Institute of Engineers, 39(7), 809-815. DOI: https://doi.org/10.1080/02533839.2016.1187086 (in English)


Надійшла до редколегії: 27.09.2019

Прийнята до друку: 28.01.2020

Creative Commons Attribution 4.0 International

doi: 10.15802/stp2020/199726
©
Р. П. Погребняк, М. Р. Погребняк, 2020