ISSN 2307–3489 (Print), ІSSN 2307–6666 (Online)

Наука та прогрес транспорту. Вісник Дніпропетровського
національного університету залізничного транспорту, 2020, № 1 (85)



рухомий склад і тяга поїздів

УДК 629.463.65.015:625.1.03

А. О. ШвецЬ1*

1*Каф. «Теоретична та будівельна механіка», Дніпровський національний університет залізничного транспорту імені академіка В. Лазаряна, вул. Лазаряна, 2, Дніпро, Україна, 49010, тел. +38 (050) 214 14 19, ел. пошта angela_Shvets@ua.fm, ORCID 0000-0002-8469-3902

СТІЙКІСТЬ ВАНТАЖНИХ ВАГОНІВ

У РАЗІ ДІЇ стискНих ПОЗДОВЖНІХ СИЛ

Мета. Ця робота спрямована на: теоретичне дослідження стійкості руху вагонів у разі дії на них поздовжніх сил квазістатичного характеру; визначення аналітичних залежностей для оцінки поздовжньої навантаженості вагонів у поїздах; аналіз впливу одночасної дії деяких факторів на значення поздовжніх сил, за яких ще зберігається стійкість руху вагонів. Методика. Оцінку стійкості вантажного вагона під час руху з різними швидкостями по криволінійних ділянках колії досліджено аналітичним методом. Розглянуто найбільш несприятливі схеми прикладання стискних поздовжніх сил у вертикальній та горизонтальній площині. Результати. Отримано вирази для обчислення значення коефіцієнта запасу стійкості від витискання поздовжньою стисною силою, що діє на вагон у складі вантажного поїзда. Розрахунки проведено у порожньому й завантаженому стані з поперечним розбігом рами кузова вагона відносно осі колії в напрямному перетині в 50 мм у кривій малого радіуса з урахуванням сил інерції від непогашеного прискорення. Наукова новизна. Теоретично досліджено вплив на стійкість руху квазістатичних поздовжніх стискних сил залежно від зміни швидкості та значення сили, а також вплив сил тертя в контакті гребеня колеса й рейки та ексцентриситету закріплення хвостової частини автозчеплення. Досліджено вплив поздовжніх стискних сил на стійкість вантажного рухомого складу під час руху у кривій малого радіуса зі швидкостями включно до конструкційного значення в 120 км/год. Практична значимість. Застосування результатів, отриманих за допомогою наведеної методики, сприятиме підвищенню стійкості вантажного рухомого складу, що у свою чергу дозволить збільшити технічну швидкість руху поїздів за рахунок зняття деяких наявних обмежень допустимих швидкостей. Використання викладеної методики визначення коефіцієнта запасу стійкості від витискання дозволить обґрунтовувати причину сходження коліс, а також розробляти й реалізовувати на практиці технічні заходи щодо запобігання витискання екіпажів, розпору та зсуву колії.

Ключові слова: безпека руху; піввагон; коефіцієнт запасу стійкості від витискання; криволінійні ділянки колії; поздовжні сили; швидкість руху

Вступ

Забезпечення стійкості руху вагонів у довгосоставних вантажних поїздах підвищеної вантажопідйомності залишається актуальною проблемою протягом тривалого часу. Величини допустимих поздовжніх сил увійшли в нормативно-технічні документи, відповідно до яких усі нові спроектовані й побудовані вагони повинні відповідати умовам стійкості від витискання та скочування з колії. Ці документи також служать настановою під час організації руху довгосоставних вантажних поїздів підвищеної вантажопідйомності. Однак у процесі експлуатації виникає необхідність коригування нормативних документів, особливо в разі підвищення швидкості руху та скасування занадто жорстких обмежень на умови ведення поїздів [2, 4, 8, 19].

Поздовжня квазістатична стискна сила в поїзді є основним експлуатаційним параметром. Отже, одним із пріоритетних завдань вдосконалення технології керування поїздами є зниження цього силового фактора в процесі експлуатаційної роботи. Крім того, ще недостатньо вивчена, особливо в теоретичному плані, передача поздовжніх сил квазістатичного характеру на елементи й вузли вагонів, а також на залізничну колійну структуру [79, 22].

Поздовжні зусилля, що діють на вагони в поїзді, можна розглядати як механічні навантаження статичного, квазістатичного або динамічного характеру. Як правило, вони являють собою комбінацію статичних, квазістатичних і динамічних дій, що діють одночасно на вагони [8, 11, 23].

Навантаження статичні й квазістатичні – це механічні впливи, які повільно змінюються в часі. Динамічні навантаження мають найрізноманітніший характер зміни. Основною проблемою під час класифікації поздовжніх зусиль є з’ясування відмінностей між статичними і квазістатичними зусиллями та динамічними. Таким чином, процес передачі поздовжніх сил на елементи кузова вагона, його ходові частини та залізничну колію буде відбуватися по-різному залежно від того, є поздовжня сила квазістатичною (статичною) чи ні [8, 14–16, 20].

Мета

Ця робота спрямована на теоретичне дослідження впливу поздовжніх сил квазістатичного характеру на стійкість руху вагонів, визначення аналітичних залежностей для оцінки поздовжньої навантаженості вагонів у поїздах, а також аналіз впливу поєднання деяких факторів на значення поздовжніх сил, за яких ще зберігається стійкість руху вагонів.

Методика

Основним критерієм оцінки динамічних якостей рухомого складу є критерій стійкості екіпажу проти сходження з рейок, що являє собою гранично допустиме відношення поперечних горизонтальних і вертикальних сил, які діють на набігаюче колесо. Не існує єдиної думки щодо того, яке відношення поперечних горизонтальних та вертикальних сил, що діють на колісну пару, слід брати за критерій стійкості екіпажа проти сходження колеса з рейок [810, 21].

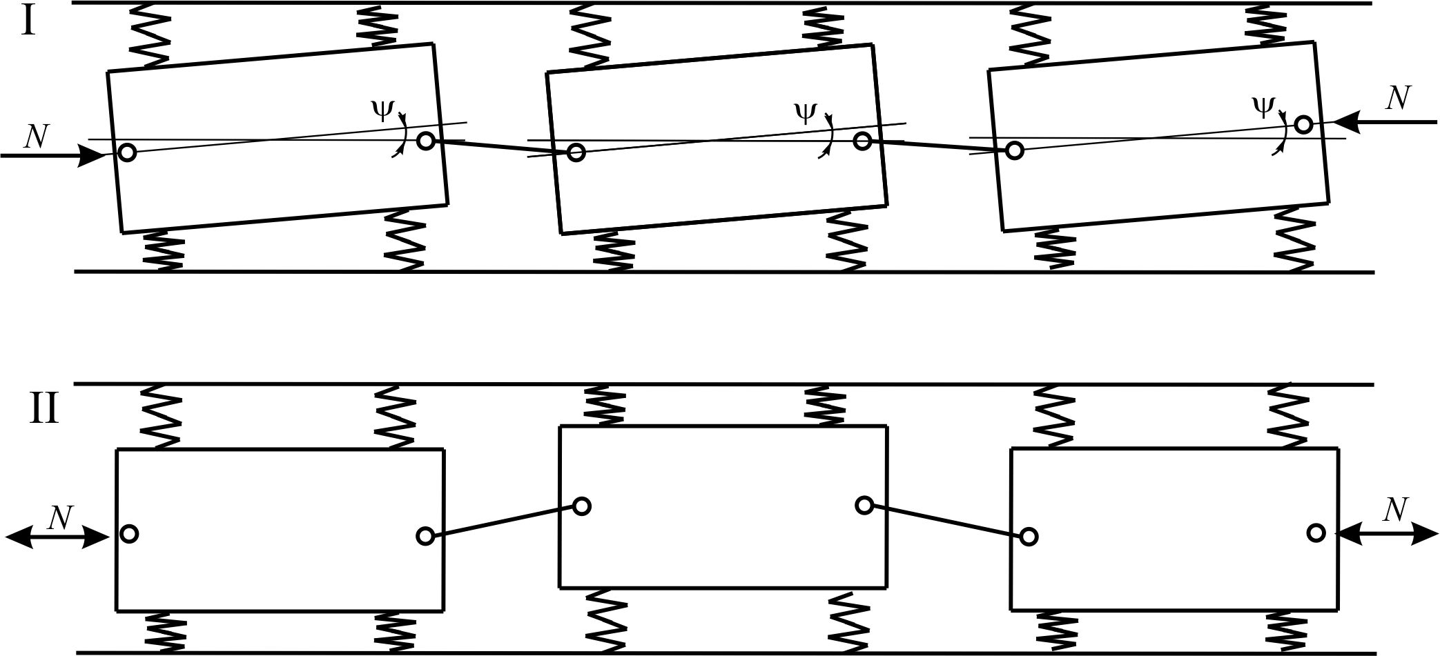
Вибір розрахункових схем вагонів та поїзда визначається поставленим завданням і критерієм оцінки стійкості руху вагона [12, 16–18]. Крім того, розрахункова схема повинна враховувати можливість різних схем встановлення окремого вагона в рейковій колії залежно від сил стискання або розтягування на криволінійній або прямій ділянці. Розрахункова схема повинна також відображати особливості передачі поздовжніх сил на елементи візків у вертикальному й горизонтальному (поперечному) напрямках (рис. 1) [6, 8].

Кожен випадок прикладання сил до вагона у вертикальній площині потрібно розглядати разом із різними випадками встановлення вагона в горизонтальній площині й окремо для розтягувальних і стискних поздовжніх сил на прямих та криволінійних ділянках колії. Причини виникнення додаткового групового впливу коліс візків на колію, викликаного квазістатичним розтягуванням або стисканням поїзда, такі: ексцентриситети закріплення хвостової частини автозчеплення у вертикальній (рис. 1, а) та горизонтальній (рис. 1, б) площині; вертикальні перекоси вантажних вагонів у разі стискання поїзда (рис. 1, а).

Хвостовик автозчеплення моделі СА–3 (СА–3М), що експлуатується на багатьох залізницях, має радіус заокруглення 130 мм, а опорна плита, на яку хвостовою частиною автозчеплення передається поздовжня сила поїзда, має радіус заокруглення 150 мм. Тому стискна сила передається опорній плиті автозчепленням у точці, яка за перекосів вагонів за схемою «ялинки» переміщується в горизонтальній площині поперек екіпажа (рис. 1, б). Реально можливе значення для вагонів мм [6, 15].

Ексцентриситет можливий у результаті відхилення від проєктного положення хвостової частини автозчеплення під час виготовлення екіпажа на заводі, а значення обумовлено завантаженням вагона, вертикальною жорсткістю центрального ресорного підвішування та зносом коліс. У разі постановки порожнього вагона в поїзд із повністю завантаженими вагонами значення (рис. 1, а) може досягати
80 мм [4].

а – a

б – b

Рис. 1. Схема розташування вагонів у складі поїзда в разі передачі поздовжнього зусилля:
а – установлення вагонів у вертикальній площині з перекосом;
б – у горизонтальній площині в разі перекосу за схемою «ялинка» (схема I) і хордове розташування (схема II)

Fig. 1. Scheme of arrangement of cars in a train in case of transmission of longitudinal force:
a – installation of cars in a vertical plane with a skew;
b – in the horizontal plane in case of skew according to the herringbone pattern (scheme I)
and chordal arrangement (scheme II)

За квазістатичного стикання поїзда вагони в процесі руху прагнуть перекоситися. Ходові частини, які взаємодіють із рейками, виконують функцію поперечних зв’язків та утримують вагони в основному положенні. Зазори між гребенями й головкою рейки, у ресорних, буксових та п’ятникових вузлах, звивистий рух екіпажів, ексцентриситети горизонтального й вертикального розташування хвостовиків автозчеплення відносно поздовжньої лінії осей автозчеплень призводять до того, що кузови й автозчеплення вагонів розташовуються в процесі руху з деякими перекосами. Найчастіше такі перекоси виникають за схемою «ялинки», за якої додатковий боковий вплив колісних пар візків на колійну структуру є максимальним [3, 5, 6, 8].

У режимі рекуперативного гальмування вагони переважно займають положення максимального перекосу в межах зазору в рейковій колії, причому кути повороту дослідного й сусідніх із ним вагонів мають один знак (рис. 2, а). За руху по кривій у тяговому режимі вагони займають здебільшого хордове розташування (рис. 2, б) [5].


а – a           бb

Рис. 2. Взаємне розташування осей дослідного й сусідніх із ним вагонів:
а – режим рекуперативного гальмування; б – тяговий режим

Fig. 2. Mutual arrangement of axles of the experimental and neighboring cars:
a – mode of regenerative braking; b – traction mode

Зі збільшенням квазістатичного стискання поїзда перекоси (рис. 1, а, в) збільшуються, викликаючи збільшення бокового й вертикального впливу коліс ходових частин вагона на колійну структуру. При цьому колеса сусідніх візків діють на протилежні рейкові нитки, тобто бокові сили реакції рейки на тиск колеса прагнуть розсунути колію або зсунути її врізнобіч.

Боковий вплив коліс візка на колію, зумовлений квазістатичним стисканням поїзда, доцільно знижувати зменшенням значення параметрів та . Значення поперечного відхилення від осі колії п’ятникових перетинів рами вагона визначають за залежністю [6]:

(1)

де – непружне бокове переміщення шкворневого перетину вагона (за рахунок зазорів між гребенями й рейкою, у буксових, п’ятникових вузлах та інших з’єднаннях) у разі перекосу за схемою «ялинки»; – пружне бокове переміщення кузова, що залежить від рамної сили , значення якого:

(2)

де – жорсткість бокового переміщення шкворневого перетину кузова після реалізації переміщення , фактично є горизонтальною жорсткістю ресорного підвішування візка.

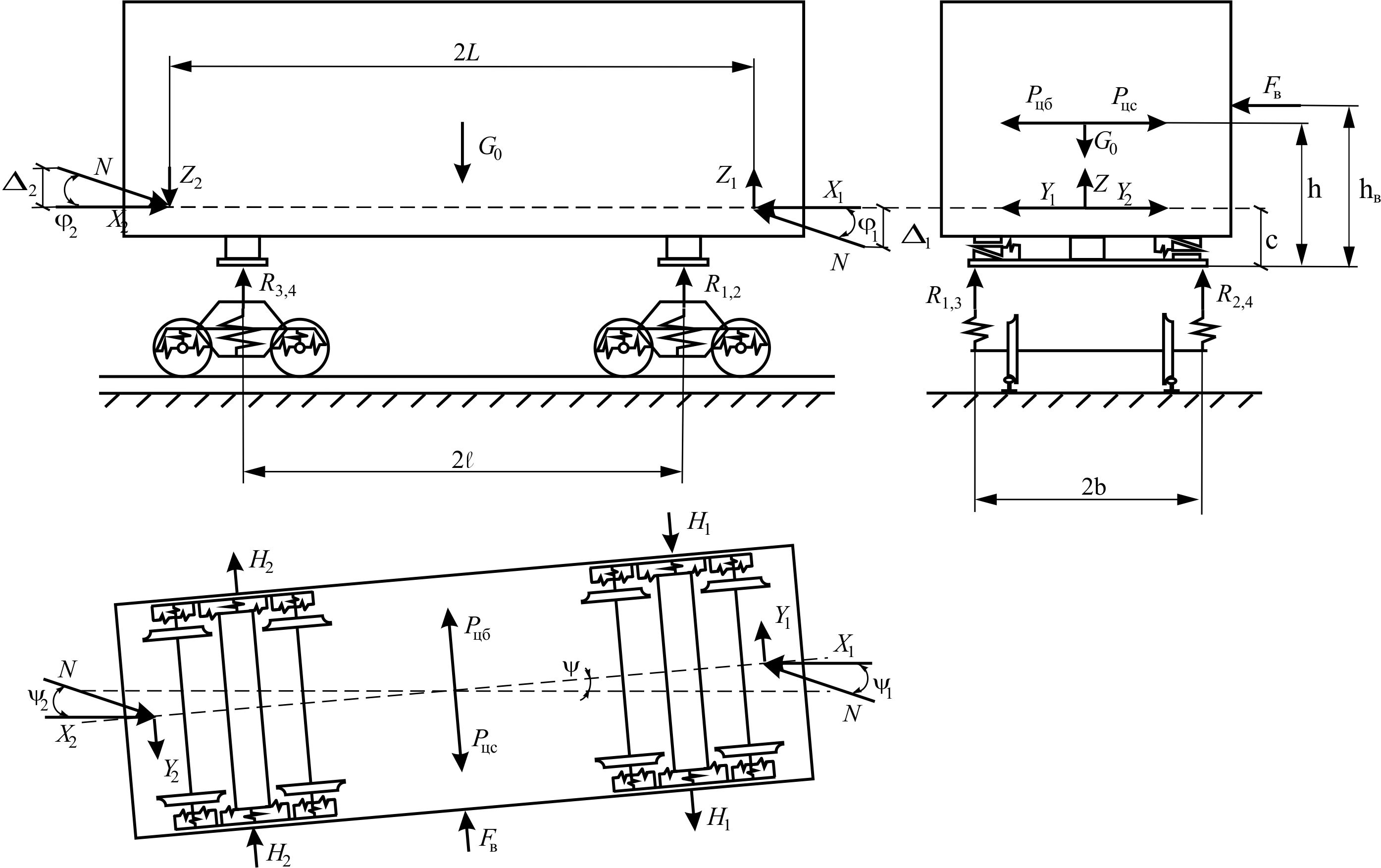
Основу методики визначення коефіцієнта стійкості від витискання поздовжніми силами складають дослідження, наведені в роботах [5, 8–10, 22]. Рух екіпажа у кривій розглянуто за різних у передній та задній частинах вагона: кутах нахилу кузовів до площини колії та ; кутах повороту автозчеплень відносно осі колії та ; врахованого повороту кузова вагона в межах зазору в колії на кут . На вагон (рис. 3) діють стискні поздовжні сили, а сам екіпаж установлено в рейковій колії за схемою І – «ялинкою».

Рис. 3. Схема сил, що діють на вагон в разі встановлення за схемою «ялинки»

Fig. 3. Scheme of forces acting on the car in the case of placing according to the herringbone pattern

Сили, що діють на вагон, спроєктовані на площину колії, а також площини, їй перпендикулярні – поздовжню відносно осі колії й поперечну. Наведені на рис. 3 позначення, а також параметри, які використовують для визначення коефіцієнта стійкості від витискання поздовжніми силами, зведені в табл. 1.

Таблиця 1

Параметри, які використовують для визначення коефіцієнта стійкості
від витискання поздовжніми силами

Table 1

Parameters used to determine the lift resistance coefficient by longitudinal forces

Позначення

Параметр

Розмірність

поздовжня квазістатична сила в автозчепленні в разі дії на вагон стискних сил

кН

вага кузова вагона

кН

відцентрова складова сил інерції

кН

горизонтальна складова ваги екіпажа, що діє на нього під час руху по криволінійних ділянках колії

кН

,

вертикальні проєкції поздовжньої сили

кН

,

горизонтальні поперечні проєкції поздовжньої сили

кН

,

горизонтальні поздовжні проєкції поздовжньої сили

кН

Продолжение табл 1

Continuation of Table 1

Позначення

Параметр

Розмірність

вертикальні складові реакцій опор

кН

,

горизонтальні складові реакцій опор

кН

,

вертикальні сили, що діють на колісну пару

кН

рамна сила, що діє на колісну пару

кН

вага не обресореної частини візка

кН

вага колісної пари

кН

вага візка

кН

горизонтальна жорсткість ресорного підвішування візка

кН/м

вертикальна жорсткість ресорного підвішування візка

кН/м

,

кути у вертикальній площині через різницю рівнів осей автозчеплень у з’єднанні двох вагонів

рад

кут повороту центральної осі кузова вагона в разі встановлення в колії з відхиленням п’ятників поперек колії

рад

,

кути в горизонтальній площині за стискання вагона в разі встановлення в колії з відхиленням п’ятників поперек колії

рад

різниця рівнів осей автозчеплень попереду й позаду вагона

м

ексцентриситет хвостової частини автозчеплення в результаті відхилення від проєктного положення під час виготовлення

м

відстань між центрами шийок осей колісних пар

м

сумарний поперечний розбіг рами кузова вагона відносно осі колії в напрямному перетині по шкворню

м

вертикальна відстань від верхньої площини центрального ресорного комплекту до рівня осі автозчеплення

м

довжина вагона по осях зчеплення

м

база вагона

м

відстань між упорними плитами автозчеплень

м

радіус кривої

м

довжина корпусу автозчеплення від осі зчеплення до кінця хвостовика

м

відстань між колами кочення коліс

м



Продолжение табл 1

Continuation of Table 1

Позначення

Параметр

Розмірність

висота центра ваги кузова вагона над площиною обпирання надресорних балок

м

висота осі автозчеплення над рівнем головок рейок

м

висота над рівнем площини головок рейок до верхньої площини центрального ресорного комплекту

м

радіус середньо зношеного колеса

м

висота центра ваги вагона над рівнем головок рейок

м

висота над рівнем площини головок рейок до центра ваги бокової поверхні кузова вагона

м

непогашене прискорення

м/с2

прискорення вільного падіння

м/с2

коефіцієнт тертя між колесом і рейкою


коефіцієнт тертя між колесом і рейкою на не набігаючому колесі


кут нахилу, утворений конусоподібною поверхнею гребеня колеса до горизонтальної осі


Зусилля, зображені на рис. 3, визначають за методикою, наведеною в роботах [2, 8]. Розглянемо визначення кутів , та в горизонтальній площині під час стискання вагона в разі встановлення в колії з відхиленням п’ятників поперек колії (у різні боки від початкового відхилення поздовжньої осі вагона) на величину (рис. 4).

Рис. 4. Схема вагона для визначення складових поздовжніх сил у горизонтальній площині

Fig. 4. Car diagram for determining the components of longitudinal forces in the horizontal plane

На рис. 4 пунктирною лінією зображено сили взаємодії та положення центральної осі за хордового розташування дослідного вагона під дією стискних поздовжніх сил.

У випадку початкового перекосу осі вагона (рис. 3) за рахунок поперечного відхилення від осі колії п’ятникових перетинів рами вагона внаслідок розбігів колісної пари в рейковій колії, підшипників по шийках осі, букс відносно рами візка (), вісь вагона додатково відхилиться через деформацію ресор під дією поперечних складових поздовжньої сили ().

Знаходимо кути повороту вагона у кривій, беручи, що всі вони однакові:

(3)

(4)

(5)

Склавши рівняння рівноваги й рівняння спільності вертикальних переміщень (вертикальні жорсткості всіх ресорних комплектів однакові, а рама вагона абсолютно жорстка), визначаємо реакції опор та еквівалентний кут повороту кузова вагона від дії вертикальних складових поздовжньої сили [5, 10, 22]:

(6)

(7)

(8)

(9)

Оскільки кути , та залежать від параметра , який у свою чергу залежить від , то розрахунок за формулами (3)–(5) і (6)–(9) можливий методом послідовних наближень. Із достатньою для обчислення точністю можна обмежитися першим наближенням, і формули (3)–(5) з урахуванням пружної поперечної деформації ресорних комплектів візків матимуть такий вигляд:

(10)

(11)

(12)

Із виразів (10)–(12) можна отримати залежності для визначення кутів у разі «чистого» перекосу вагона у прямій ділянці колії. Якщо знехтувати пружною поперечною деформацією ресорних комплектів візків та ексцентриситетом розташування хвостової частини автозчеплення, ці формули набувають вигляду, який отримано в роботах [2, 8].

Вертикальні , та горизонтальна сили (рис. 5), що діють на колісну пару, визначають із рівноваги необресореної частини візка. У результаті системи лінійних рівнянь визначаємо вертикальну і бокову поперечну реакції рейки на набігаючому колесі, а також коефіцієнт стійкості від витискання поздовжніми силами



Рис. 5. Схема сил. що діють на візок

Fig. 5. The scheme of forces acting on the bogie

(13)

(14)

(15)


де – вага вагона, кН; – висота над рівнем площини головок рейок до верхньої площини центрального ресорного комплекту, м. Найчастіше цей параметр у ряді досліджень беруть рівним радіусу середньозношеного колеса.

За врахування сил інерції у кривій, вертикальну (13) та бокову (14) реакції рейки на набігаючому колесі підсумовують із силами інерції і тиску вітру на бокову поверхню кузова вагона:

(16)

. (17)

Відповідно до нормативної документації [6], коефіцієнт запасу стійкості колісної пари для другого розрахункового випадку визначають за формулою (6.67), у якій є тільки складові, що враховують вплив сили, спричиненої піднесенням зовнішньої рейки у кривій і спрямованої всередину кривої, але чомусь не враховують вплив відцентрової сили вагона, спрямованої назовні кривої. Такий підхід явно збільшує стійкість від витискання назовні кривої та є недоцільним і небезпечним.

З урахуванням аналітичних виразів для визначення кутів у горизонтальній площині (10)– (12) запишемо отримані залежності для вертикальної (13) та бокової (14) реакцій рейки на набігаюче колесо:

(18)

(19)

де – статичний тиск вагона (від колеса набігаючої колісної пари переднього візка (18)–(19)) на залізничну колію з урахуванням зневантаження від поздовжньої сили, кН:

(20)

кут, утворений поздовжньою віссю корпусу автозчеплення та віссю хребтової балки рами вагона в горизонтальній площині, рад:


(21)

кут повороту вагона, який залежить від розташування у кривій, рад:

(22)

Підставивши вирази (18) і (19) у формулу (16), ми отримаємо залежність для визначення коефіцієнта запасу стійкості від витискання поздовжніми силами, без урахування (23) та з урахуванням сил інерції й тиску вітру на бокову поверхню кузова вагона у кривій (24):

(23)



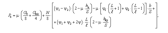
, (24)

У формулі (24) верхні знаки відповідають установленню вагона, коли набігаюче колесо вкочується на зовнішню рейку (схема I), а нижні – установленню, коли набігаюче колесо вкочується на внутрішню рейку (схема II) [4].

Ця формула є розрахунковою, тому її не можна застосовувати для визначення стійкості в експериментах. В основу розрахунку покладена статична розрахункова схема. Однак вагон являє собою складну механічну систему, і під час руху взаємодія між його окремими частинами та між вагоном і колійною структурою носить динамічний характер [9, 10].

У роботі [1] наведено залежність для визначення коефіцієнта стійкості руху залізничного екіпажу, у якій на підставі експерименту враховано вплив швидкості руху колісної пари на величину коефіцієнта тертя в контакті гребеня колеса і рейки:

(25)

де – швидкість руху, км/год; – коефіцієнт тертя на межі зчеплення за . Для залізничного рухомого складу цей параметр для розрахунків рекомендується брати рівним .

Залежність для визначення коефіцієнта запасу стійкості від витискання поздовжніми силами з урахуванням сил інерції у кривій і складовою від дії вітрового навантаження на бокову поверхню кузова вагона , використанням формули (25) матиме такий вигляд:



. (26)

Отримана залежність дає можливість урахування під час визначення коефіцієнта запасу стійкості від витискання поздовжніми силами вплив сил тертя в контакті гребеня колеса і рейки як на набігаючому, так і на ненабігаючому колесі. У залежності (26) коефіцієнт тертя на набігаючому колесі позначено через . Коефіцієнт тертя на не набігаючому колесі з метою розрізнення цих параметрів позначено відповідно до табл. 1 – .

Число несприятливих комбінацій варіантів установлення вагонів у колії на прямих та кривих ділянках з урахуванням розтягувальних та стискних сил становить дев’ять [2, 6, 8]. Найбільш несприятливі схеми прикладання стискних поздовжніх сил у вертикальній площині представлені на рис. 6.



а – a                                                                                                                  бb

в – c                                                                                                                  гd

Рис. 6. Схеми прикладання проєкцій поздовжніх сил у вертикальній площині:
а, б – протилежно спрямовані; в, г – односторонньо спрямовані

Fig. 6. Schemes for applying projections of longitudinal forces in the vertical plane:
a, b – opposite directed; c, d – unilaterally directed

Для цих випадків залежність для визначення коефіцієнта запасу стійкості від витискання поздовжніми силами (26) буде мати відмінності у виразах визначення еквівалентного кута повороту від дії вертикальних складових поздовжньої сили та статичного тиску вагона з урахуванням зневантаження від поздовжньої сили відповідно для переднього та заднього візків.

Передній візок вагона:

(27)

(28)

Для схем прикладання поздовжніх сил, представлених на рис. 6, а, б, залежність (27) використовують зі знаком «+», а для схем на рис. 6, в, г, зі знаком «–».Статичний тиск вагона з урахуванням зневантаження від поздовжньої сили за залежністю (28) визначають для схем прикладання поздовжніх сил на рис. 6, а, в – зі знаком «–», а для рис. 6, б, г – зі знаком «+».

Задній візок вагона:

(29)

(30)

Під час визначення коефіцієнта запасу стійкості від витискання поздовжніми силами на внутрішню рейкову нитку для схем прикладання поздовжніх сил, представлених на рис. 6, а, б, залежність (29) використовують зі знаком «+», а для схем на рис. 6, в, г, зі знаком «–». Статичний тиск вагона з урахуванням зневантаження від поздовжньої сили за залежністю (30) визначають для схем прикладання поздовжніх сил на рис. 6, а, в – зі знаком «+», а для рис. 6, б, г – зі знаком «–».

Результати

Вплив величини поздовжніх сил на коефіцієнт запасу стійкості від витискання показано на рис. 7–8, де наведено результати розрахунків руху порожнього й завантаженого піввагона моделі 12–532 по криволінійній ділянці колії радіусом 250 м із піднесенням зовнішньої рейки на 150 мм і поперечним розбігом рами кузова вагона відносно осі колії в напрямному перетині в 50 мм [4]. Допустима швидкість руху в такій кривій становить 65 км/год. Розрахунки проведено без урахування сил тертя і з урахуванням тертя в контакті гребеня колеса й рейки за швидкості руху, що дорівнює від 10 до 120 км/год.

При цьому передбачалося, що поздовжні сили, які діють на вагони, являють собою статичні або квазістатичні зовнішні сили, які повільно змінюються в часі. Допустиме значення коефіцієнта запасу стійкості колісної пари проти сходження з рейок у разі витискання становить [4].

Під час розрахунків була врахована різниця у висоті між поздовжніми осями автозчеплень у вантажному поїзді, яка допускається не більше мм попереду групи порожніх вагонів розташованих за завантаженими вагонами в складі потяга [6]. Позаду досліджуваного вагона різницю рівнів осей автозчеплень взято рівною мм, що відповідає конструкційному (альбомному) допуску розташування осей зчеплення вантажних вагонів.

а – a                  бb

в – c                  гd

Рис. 7. Коефіцієнт запасу стійкості від витискання порожнього піввагона:
а, б – без урахування сил тертя в контакті гребеня колеса й рейки з і без ексцентриситету
закріплення хвостової частини автозчеплення відповідно;
в, г – з урахуванням сил тертя
в контакті гребеня колеса й рейки з і без ексцентриситету закріплення
хвостової частини автозчеплення відповідно

Fig. 7. Lift resistance coefficient of empty gondola:
a, b – without taking into account the friction forces at the contact point of the wheel flange and rail with
and without the eccentricity of fastening the tail part of the automatic coupler, respectively;
c, d – taking into account the friction forces at the contact point of the wheel flange and rail with
and without the eccentricity of fastening the tail part of the automatic coupler, respectively

а – a                  бb

в – c                  гd

Рис. 8. Коефіцієнт запасу стійкості від витискання завантаженого піввагона:
а, б – без урахування сил тертя в контакті гребеня колеса й рейки з і без ексцентриситету
закріплення хвостової частини автозчеплення відповідно;
в, г – з урахуванням сил тертя
в контакті гребеня колеса й рейки з і без ексцентриситету закріплення
хвостової частини автозчеплення відповідно

Fig. 8. Lift resistance coefficient of loaded gondola:
a, bwithout taking into account the friction forces at the contact point of the wheel flange
and rail with and without the eccentricity of fastening the tail part of the automatic coupler, respectively;
c, d – taking into account the friction forces at the contact point of the wheel flange and rail with
and without the eccentricity of fastening the tail part of the automatic coupler, respectively


Аналіз отриманих значень коефіцієнта запасу стійкості від витискання порожнього піввагона (рис. 7) показує, що залежність (26) дає більш жорсткі результати порівняно із залежністю (24). Так, урахування різної величини тертя в контакті колеса та рейки за наявності ексцентриситету закріплення хвостовика автозчеплення згідно з (26) показує відсутність запасу стійкості вже за 400 кН, а згідно з (24) – за стискної сили, яка дорівнює 500 кН. Ексцентриситет закріплення хвостової частини автозчеплення має істотний вплив на величину поздовжньої сили, здатну видавити порожній вантажний вагон. Відсутність ексцентриситету призводить до збільшення поздовжньої сили в середньому на 50 кН для розрахунків за обома залежностями.

Аналіз отриманих результатів свідчить, що відповідно до допустимої швидкості руху у кривій радіусом 250 м за відсутності ексцентриситету порожній вагон зберігає встановлений запас стійкості до поздовжньої сили у 550 кН за залежності (24), а з урахування сил тертя в контакті колеса та рейки за (26) – до 450 кН. За наявності ексцентриситету закріплення хвостовика автозчеплення поздовжні сили відповідно зменшуються на 50 кН.

У завантаженому режимі (рис. 8) досліджуваний піввагон зберігає встановлений запас стійкості для вантажних вагонів під час дії допустимої нормативною документацією квазістатичної стискної сили величиною в 1 МН.

Наукова новизна та практична
значимість

У результаті теоретичних досліджень отримано залежності коефіцієнта запасу стійкості від витискання поздовжніми силами з урахуванням ексцентриситету закріплення хвостової частини автозчеплення й величини тертя в контакті колеса й рейки.

Досліджено вплив поздовжніх стискних сил на стійкість вантажного рухомого складу під час руху у кривій малого радіуса зі швидкостями включно до конструкційного значення в 120 км/год.

Застосування результатів, отриманих за допомогою наведеної методики, сприятиме підвищенню стійкості вантажного рухомого складу, що у свою чергу дозволить збільшити технічну швидкість руху поїздів за рахунок зняття деяких наявних обмежень допустимих швидкостей.

Використання викладеної методики визначення коефіцієнта запасу стійкості від витискання дозволить обґрунтовувати причину сходження коліс, а також розробляти й реалізовувати на практиці технічні заходи щодо запобігання витискання екіпажів, розпору та зсуву колії.

Висновки

На підставі проведених теоретичних досліджень стійкості вантажного екіпажа на прикладі піввагона моделі № 12–532 можна зробити такі висновки:

наявність ексцентриситету закріплення хвостової частини автозчеплення в порожніх вагонів істотно впливає на величину коефіцієнта запасу стійкості від витискання;

зниження впливу на колію вантажних вагонів можливе за зменшення сумарного поперечного розбігу рами кузова вагона за рахунок зменшення ексцентриситету закріплення хвостової частини автозчеплення та збільшення горизонтальної жорсткості ресорного підвішування , а також за рахунок зменшення зазорів у буксових, п’ятникових та інших вузлах рухомого складу, які впливають на поперечні переміщення (перекоси) кузова;

у порожньому стані досліджуваний піввагон зберігає встановлений запас стійкості для вантажних вагонів під час руху з допустимою швидкістю в разі стискання силою в 550 кН за відсутності ексцентриситету закріплення хвостовика автозчеплення;

у завантаженому стані досліджуваний піввагон зберігає встановлений запас стійкості для вантажних вагонів у разі дії допустимої нормативною документацією квазістатичної стискної сили величиною в 1 МН.

СПИСОК ВИКОРИСТАНИХ ДЖЕРЕЛ

  1. Андриевский С. М., Крылов В. А. Сход колеса с рельса. Исследования в области динамики и прочности локомотивов. Сб. тр. ВНИИЖТа. Москва : Транспорт, 1969. №. 393. С. 20–41.

  2. Вершинский С. В. Динамика, прочность и устойчивость вагонов в тяжеловесных и скоростных поездах. Сб. тр. ВНИИЖТа. Москва : Транспорт, 1970. №. 425. 208 с.

  3. Данович В. Д., Малышева А. А. Математическая модель пространственных колебаний сцепа пяти вагонов, движущихся по прямолинейному участку пути. Транспорт. Нагруженность и прочность подвижного состава : сб. науч. тр. Днепропетр. гос. техн. ун-т ж.-д. трансп. Днепропетровск, 1998. С. 62–69.

  4. ДСТУ 7598:2014. Вагони вантажні. Загальні вимоги до розрахунків та проектування нових і модернізованих вагонів колії 1520 мм (несамохідних). [Чинний від 2015–07–01]. Вид. офіц. Київ : УкрНДНЦ, 2017. 158 с.

  5. Лазарян В. А., Блохин Е. П., Стамблер Е. Л. Движение легковесных вагонов в составах тяжеловесных поездов. Исследование переходных режимов движения поездов и динамики подвижного состава. Тр. ДИИТа. 1966. 59. С. 3447.

  6. Лысюк В. С. Причины и механизмы схода колеса с рельса. Проблема износа колес и рельсов : 2-е изд., перераб. и доп. Москва : Транспорт, 2002. 215 с.

  7. Мугинштейн Л. А., Ромен Ю. С. Влияние продольных сил на опасность сходов порожних вагонов
    в поездах. Вестник ВНИИЖТ, 2011. № 3. С. 3–6.

  8. Черкашин, Ю. М., Костин Г. В. Определение допустимых продольных сил в поезде по условию обеспечения устойчивости движения вагонов. Исследование прочности, устойчивости, воздействия на путь и техническое обслуживание вагонов в поездах повышенных массы и длины : сб. тр. ВНИИЖТа. Москва : Транспорт, 1992. С. 431.

  9. Швец А. А., Железнов К. И., Акулов А. С., Заболотный А. Н., Чабанюк Е. В. Некоторые аспекты определения устойчивости порожних вагонов от выжимания их продольными силами в грузовых поездах. Наука та прогрес транспорту. 2015. № 4 (58). С. 175–189. DOI: 10.15802/stp2015/49281

  10. Швец А. А., Железнов К. И., Акулов А. С., Заболотный А. Н., Чабанюк Е. В. Определение допустимых сил при оценке устойчивости грузовых вагонов от выжимания в поездах. Наука та прогрес транспорту. 2016. № 1 (61). С. 189–192. DOI: 10.15802/stp2016/61045

  11. Cole C., Spiryagin M., Wu Q., Sun Y. Q. Modeling, simulation and applications of longitudinal train dynamics. Vehicle System Dynamics. 2017. Vol. 55. Iss. 10. P. 1498–1571. DOI: 10.1080/00423114.2017.1330484

  12. Eckert J. J., Ramos P. G., Oliveira Junior A. J. S. D., Martins T. D. S., Kurka P. R. G. A dissipated energy model of shock evolution in the simulation of the dynamics of DGM's of railway compositions. Mechanism and Machine Theory, 2019. Vol. 134. P. 365–375. DOI: 10.1016/j.mechmachtheory.2018.12.034

  13. Fomin O., Kulbovsky I., Sorochinska E., Sapronova S., Bambura O. Experimental confirmation of the theory of implementation of the coupled design of center girder of the hopper wagons for iron ore pellets. Eastern-European Journal of Enterprise Technologies. 2017. Vol. 5. Iss. 1 (89). P. 11–18. DOI: 10.15587/1729-4061.2017.109588

  14. Fomin O., Lovska A., Masliyev V., Tsymbaliuk A., Burlutski O. Determining strength indicators for the bearing structure of a covered wagon's body made from round pipes when transported by a railroad ferry. Eastern-European Journal of Enterprise Technologies. 2019. Vol. 7. Iss. 1 (97). P. 33–40. DOI: 10.15587/1729-4061.2019.154282

  15. Fomin O., Shvets A., Hauser V., Prokopenko P. Transversal displacement of freight wagons bogies. XVII International Scientific Conference: Dynamics of Rigid and Deformable Bodies (Ústí nad Labem, Czech Republic, Oct. 09–11, 2019). Ústí nad Labem, 2019. Vol. 2198. Iss. 1. P. 020002-1–020002-4. DOI: 10.1063/1.5140863

  16. Gong K., Xiang J., Mao J., Yu C. Contribution of variable gauge freight wheelsets to interoperability. Journal of Central South University (Science and Technology). 2017. Vol. 48. Iss. 12. P. 3406–3414. DOI: 10.11817/j.issn.1672-7207.2017.12.035

  17. Hazrati Ashtiani I., Rakheja S., Ahmed A.K.W. Influence of friction wedge characteristics on lateral response and hunting of freight wagons with three-piece bogies. Proceedings of the Institution of Mechanical Engineers, Part F: Journal of Rail and Rapid Transit. 2017. Vol. 231. Iss. 8. P. 877–891. DOI: 10.1177/0954409716647095

  18. Kaiser I., Vinolas J., Gómez del Pulgar D., Galán R. Contribution of variable gauge freight wheelsets to interoperability. Proceedings of the Institution of Mechanical Engineers, Part F: Journal of Rail and Rapid Transit. 2019. Vol. 233. Iss. 5. P. 489–505. DOI: 10.1177/0954409718804960

  19. Pudovikov O. E., Sidorenko V. G., Sidorova N. N., Kiselev M. D. Systems for automatic control of locomotive speed of a freight train with distributed traction. Russian Electrical Engineering. 2019. Vol. 90. Iss. 9. P. 653–660. DOI: 10.3103/S1068371219090086

  20. Razinkin N. E., Voronova N. I., Podlesnikov Y. D., Danilov S. N. The influence of additional discharge of the brake line on the longitudinal dynamics of the train during braking. Journal of Mechanical Engineering Research and Developments. 2019. Vol. 42. Iss. 3. P. 6–9. DOI: 10.26480/jmerd.03.2019.06.09

  21. Rezvani M. A., Mazraeh A. Dynamics and stability analysis of a freight wagon subjective to the railway track and wheelset operational conditions. European Journal of Mechanics, A/Solids. 2017. Vol. 61. P. 22–34. DOI: 10.1016/j.euromechsol.2016.08.011

  22. Shvets A. O., Zhelieznov К. I., Akulov А. S., Zabolotnyi О. M., Chabaniuk Ye. V. Determination of the issue concerning the lift resistance factor of lightweight car. Наука та прогрес транспорту. 2015. № 6 (60). P. 134–148. DOI: 10.15802/stp2015/57098

  23. Wu Q., Spiryagin M., Cole C. Longitudinal train dynamics: an overview. Vehicle System Dynamics. 2016. Vol. 54. Iss. 12. P. 1688–1714. DOI: 10.1080/00423114.2016.1228988

А. А. Швец1*

1*Каф «Теоретическая и строительная механика», Днипровский национальный университет железнодорожного транспорта имени академика В. Лазаряна, ул. Лазаряна, 2, Днипро, Украина, 49010, тел. +38 (050) 214 14 19, эл. почта angela_Shvets@ua.fm, ORCID 0000-0002-8469-3902

устойчивость грузовых вагонов

при действии сжимающих

продольных сил

Цель. Данная работа направлена на: теоретическое исследование устойчивости движения вагонов при воздействии на них продольных сил квазистатического характера; определение аналитических зависимостей для оценки продольной нагруженности вагонов в поездах; анализ влияния одновременного действия некоторых факторов на значение продольных сил, при которых еще сохраняется устойчивость движения вагонов. Методика. Оценка устойчивости грузового вагона при движении с различными скоростями по криволинейным участкам пути исследована аналитическим методом. Рассмотрены наиболее неблагоприятные схемы приложения сжимающих продольных сил в вертикальной и горизонтальной плоскости. Результаты. Получены выражения для вычисления значения коэффициента запаса устойчивости от выжимания продольной сжимающей силой, действующей на вагон в составе грузового поезда. Расчеты проведены в порожнем и загруженном состоянии с поперечным разбегом рамы кузова вагона относительно оси пути в направляющем сечении в 50 мм в кривой малого радиуса с учетом сил инерции от непогашенного ускорения. Научная новизна. Теоретически исследовано влияние на устойчивость движения квазистатических продольных сжимающих сил в зависимости от изменения скорости и значения силы, а также влияние сил трения в контакте гребня колеса и рельса и эксцентриситета закрепления хвостовой части автосцепки. Исследовано влияние продольных сжимающих сил на устойчивость грузового подвижного состава при движении в кривой малого радиуса со скоростями вплоть до конструкционного значения в 120 км/ч. Практическая значимость. Применение результатов, полученных с помощью приведенной методики, будет способствовать повышению устойчивости грузового подвижного состава, что в свою очередь позволит увеличить техническую скорость движения поездов за счет снятия некоторых существующих ограничений допустимых скоростей. Использование методики определения коэффициента запаса устойчивости от выжимания позволит обосновывать причину схода колес, а также разрабатывать и реализовывать на практике технические меры по предотвращению выжимания экипажей, распора и сдвига колеи.

Ключевые слова: безопасность движения; полувагон; коэффициент запаса устойчивости от выжимания; криволинейные участки пути; продольные силы; скорость движения

A. O. shvets1*

1*Dep. «Theoretical and Structural Mechanics», Dnipro National University of Railway Transport named after Academician V. Lazaryan, Lazaryana St., 2, Dnipro, Ukraine, 49010, tel. +38 (050) 214 14 19, e-mail angela_Shvets@ua.fm, ORCID 0000-0002-8469-3902

STABILITY OF FREIGHT CARS UNDER

THE ACTION OF COMPRESSIVe

LONGITUDINAL FORCES

Purpose. The aim of the work is: a theoretical study of the car movement stability when exposed to longitudinal forces of a quasistatic nature; determination of analytical for estimating the longitudinal loading of cars in trains; the influence analysis of simultaneous action of certain factors on the value of longitudinal forces, at which the car movement stability is still preserved. Methodology. Assessment of the freight car stability when moving at different speeds along curved track sections was investigated using the analytical method. The most unfavorable schemes for applying compressive longitudinal forces in a vertical and horizontal plane are considered. Findings. Expressions are obtained for calculating the value of the car lift resistance coefficient by the longitudinal compressive force acting on the car as part of a freight train. The calculations were carried out in an empty and loaded state with a transverse run-up of the car body frame relative to the track axis in a guiding section of 50 mm in a curve of small radius taking into account the inertia forces from the unbalanced acceleration. Originality. In a theoretical study, the effect on the movement stability of quasistatic longitudinal compressive forces depending on the change in speed and the force value, as well as the effect of friction forces at the contact point of the wheel flange and rail and the eccentricity of fastening the tail of the automatic coupler, are considered. The influence of longitudinal compressive forces on the stability of freight rolling stock when moving in a curve of small radius with speeds up to a design value of 120 km/h is investigated. Practical value. The application of the results obtained by the above method will help to increase the stability of the freight rolling stock, which in turn will allow increasing the technical speed of train movement by removing some existing limits of permissible speeds. Using the described methodology for determining the car lift resistance coefficient will allow justifying the cause of wheel derailment, as well as to develop and put into practice the technical measures to prevent the lift of carriages, thrusts and shears of the track.

Keywords: traffic safety; gondola car; lift resistance coefficient; curved track sections; longitudinal forces; movement speed

REFERENCES

  1. Andrievsky, S. M. & Krylov, V. A. (1969). Skhod kolesa s relsa. Issledovaniya v oblasti dinamiki i prochnosti lokomotivov. Sbornik trudov VNIIZhT. (in Russian)

  2. Vershynskiy, S. V. (1970). Dynamica, prochnost i ustoychivost vagonov v tyazhelovesnykh i skorostnykh poezdakh. Sbornik trudov VNIIZhT. Moscow: Transport. (in Russian)

  3. Danovich, V. D., & Malysheva, A. A. (1998). Mathematical Model of Spatial Oscillations of the Coupling of Five Cars Moving Along a Rectilinear Section of the Track. In Transport. Stress loading and durability of a rolling stock, 62-69. Dnepropetrovsk. (in Russian)

  4. Vagoni vantazhnі. Zagalnі vimogi do rozrakhunkіv ta proektuvannya novikh і modernіzo-vanikh vagonіv kolії 1520 mm (nesamokhіdnikh), 162 DSTU 7598:2014 (2017). (in Ukranian)

  5. Lazarian, V. A., Blokhin, E. P. & Stambler, E. L. (1966). Dvizhenie legkovesnyh vagonov v sostavah tjazhelovesnyh poezdov. Trudy Dnepropetrovskogo instituta inzhenerov zheleznodorozhnogo transporta imeni akademika V. Lazariana, 59, 34-47. (in Russian)

  6. Lysyuk, V. S. (2002). Prichiny i mekhanizmy skhoda kolesa s relsa. Problema iznosa koles i relsov. Moscow: Transport. (in Russian)

  7. Muginshteyn, L. A., & Romen, Yu. S. (2011). Vliyanie prodolnykh sil na opasnost skhodov porozhnikh vagonov v poezdakh. Vestnik VNIIZhT, 3, 3-6. (in Russian)

  8. Cherkashin, Yu. M. & Kostin, G. V. (1992). Opredelenie dopustimykh prodolnykh sil v poezde po usloviyu obes-pecheniya ustoychivosti dvizheniya vagonov. Issledovanie prochnosti, ustoychivosti, vozdeystviya na put i tekhnicheskoe obsluzhivanie vagonov v poezdakh povyshennykh massy i dliny. Sbornik trudov VNIIZhT. Moscow: Transport, 4-31. (in Russian)

  9. Shvets, A. A., Zhelieznov, K. I., Akulov, A. S., Zabolotnyi, A. N., & Chabaniuk, Ye. V. (2015). Some Aspects of the Definition of Empty Cars Stability from Squeezing their Longitudinal Forces in the Freight Train. Science and Transport Progress, 4(58), 175-189. DOI: 10.15802/stp2015/49281 (in Russian)

  10. Shvets, A. A., Zheleznov, K. I., Akulov, A. S., Zabolotny, A. N., & Chabanyuk, E. V. (2016). Determination the permissible forces in assessing the lift resistant factor of freight cars in trains. Science and Transport Progress, 1(61), 189-192. DOI: 10.15802/stp2016/61045 (in Russian)

  11. Cole, C., Spiryagin, M., Wu, Q. & Sun, Y. Q. (2017). Modeling, simulation and applications of longitudinal train dynamics. Vehicle System Dynamics, 55(10), 1498-1571, DOI: 10.1080/00423114.2017.1330484 (in English)

  12. Eckert, J. J., Ramos, P. G., Oliveira Junior, A. J. S. D., Martins, T. D. S., & Kurka, P. R. G. (2019). A dissipated energy model of shock evolution in the simulation of the dynamics of DGM's of railway compositions. Mechanism and Machine Theory, 134, 365-375. DOI: 10.1016/j.mechmachtheory.2018.12.034 (in English)

  13. Fomin, O., Kulbovsky, I., Sorochinska, E., Sapronova, S., & Bambura, O. (2017). Experimental confirmation of the theory of implementation of the coupled design of center girder of the hopper wagons for iron ore pellets. Eastern-European Journal of Enterprise Technologies, 5, 1(89), 11-18. DOI: 10.15587/1729-4061.2017.109588 (in English)

  14. Fomin, O., Lovska, A., Masliyev, V., Tsymbaliuk, A., & Burlutski, O. (2019). Determining strength indicators for the bearing structure of a covered wagon's body made from round pipes when transported by a railroad ferry. Eastern-European Journal of Enterprise Technologies. 7, 1(97), 33-40. DOI: 10.15587/1729-4061.2019.154282 (in English)

  15. Fomin, O., Shvets, A., Hauser, V., & Prokopenko, P. (2019). Transversal displacement of freight wagons bogies. AIP Conference Proceedings, 2198(1), 020002-1-020002-4. DOI: https://doi.org/10.1063/1.5140863 (in English)

  16. Gong, K., Xiang, J., Mao, J., & Yu, C. (2017). Contribution of variable gauge freight wheelsets to interoperability. Journal of Central South University (Science and Technology), 48(12), 3406-3414. DOI: 10.11817/j.issn.1672-7207.2017.12.035 (in English)

  17. Hazrati Ashtiani, I., Rakheja, S., & Ahmed, A.K.W. (2017). Influence of friction wedge characteristics on lateral response and hunting of freight wagons with three-piece bogies. Proceedings of the Institution of Mechanical Engineers, Part F: Journal of Rail and Rapid Transit, 231(8), 877-891. DOI: 10.1177/0954409716647095 (in English)

  18. Kaiser, I., Vinolas, J., Gómez del Pulgar, D., & Galán, R. (2019). Contribution of variable gauge freight wheelsets to interoperability. Proceedings of the Institution of Mechanical Engineers, Part F: Journal of Rail and Rapid Transit, 233(5), 489-505. DOI: 10.1177/0954409718804960 (in English)

  19. Pudovikov, O. E., Sidorenko, V. G., Sidorova, N. N., & Kiselev, M. D. (2019). Systems for automatic control of locomotive speed of a freight train with distributed traction. Russian Electrical Engineering, 90(9), 653-660. DOI: 10.3103/S1068371219090086 (in English)

  20. Razinkin, N. E., Voronova, N. I., Podlesnikov, Y. D., & Danilov, S. N. (2019). The influence of additional discharge of the brake line on the longitudinal dynamics of the train during braking. Journal of Mechanical Engineering Research and Developments, 42(3), 6-9. DOI: 10.26480/jmerd.03.2019.06.09 (in English)

  21. Rezvani, M. A., & Mazraeh, A. (2017). Dynamics and stability analysis of a freight wagon subjective to the railway track and wheelset operational conditions. European Journal of Mechanics, A/Solids, 61, 22-34. DOI: 10.1016/j.euromechsol.2016.08.011 (in English)

  22. Shvets, A. A., Zhelieznov, K. I., Akulov, A. S., Zabolotnyi, A. N., & Chabaniuk, Ye. V. (2015). Determination of the issue concerning the lift resistance factor of lightweight car. Science and Transport Progress, 6(60), 134-148. DOI: 10.15802/stp2015/57098 (in English)

  23. Wu, Q., Spiryagin, M. & Cole, C. (2016). Longitudinal train dynamics: an overview. Vehicle System Dynamics, 54(12), 1688-1714, DOI: 10.1080/00423114.2016.1228988 (in English)


Надійшла до редколегії: 19.09.2019

Прийнята до друку: 22.01.2020

CПрямая соединительная линия 18reative Commons Attribution 4.0 International

doi: 10.15802/stp2020/199485
© А
. О. Швець, 2020