ISSN 2307–3489 (Print), ІSSN 2307–6666 (Online)

Наука та прогрес транспорту. Вісник Дніпропетровського
національного університету залізничного транспорту, 2019, № 5 (83)



ЕКОЛОГІЯ ТА ПРОМИСЛОВА БЕЗПЕКА

UDC 004.94:[622.411:504.5]

V. V. BILIAIEVA1*, P. S. KIRICHENKO2*, E. Y. GUNKO3*, I. O. BONDARENKO4*,
P. B. MASHYKHINA
5*, Z. M. YAKUBOVSKA6*

1*Dep. «Fluid Dynamics, Energy and Mass Transfer», Oles Honchar Dnipro National University, Kazakova St., 18, Dnipro, Ukraine, 49000, tel. +38 (056) 374 98 22, e-mail water.supply.treatment@gmail.com, ORCID 0000-0003-2399-3124
2*
Dep. «Heat and Gas Supply, Drainage and Ventilation», Kryvyi Rih National University, Vitaliia Matusevycha St., 11, Kryvyi Rih, Ukraine, 50027, tel. +38 (056) 409 06 06, e-mail pasha_129@ukr.net, ORCID 0000-0002-0793-9593
3*Dep. «Hydraulics and Water Supply», Dnipro National University of Railway Transport named after Academician V. Lazaryan, Lazaryana St., 2, Dnipro, Ukraine, 49010, tel. +38 (056) 273 15 09, e-mail water.supply.treatment@gmail.com, ORCID 0000-0001-9257-763X
4*Dep. «Track and Track Facilities», Dnipro National University named after Academician V. Lazaryan, Lazaryana St., 2, Dnipro, Ukraine, 49010, tel. +38 (063) 802 21 80, e-mail irina_bondarenko@ua.fm, ORCID 0000-0003-4717-3032
5*
Dep. «Hydraulics and Water Supply», Dnipro National University of Railway Transport named after Academician V. Lazaryan, Lazaryana St., 2, Dnipro, Ukraine, 49010, tel. +38 (056) 273 15 09, e-mail water.supply.treatment@gmail.com, ORCID 0000-0003-3057-9204
6*Dep. «Physics», Ukrainian State University of Chemical Technology, Gagarin Avenue, 8, Dnipro, Ukraine, 49000, tel. +38 (056) 753 56 38, e-mail physics@udhtu.edu.ua, ORCID 0000-0002-9893-3479

COMPUTER SIMULATION

of dead-end mine working

VENTILATION

Purpose. The important problem in the field of ecological safety and industrial safety is providing of normal microclimate in dead-end mine working. In these regions of the mine methane gas can be accumulated and as a result explosion may take place. So, to avoid these accidents it is important to ventilate appropriately dead-end mine working. The purpose of the work is development of quick computing mathematical model to obtain information about dead-end mine working ventilation process. Methodology. The process of dead-end mine working ventilation computing is separated in two stages. At the first stage the velocity flow field is computed in the dead-end mine working. We consider the situation when the suction tube is situated in this region. To solve this problem the fluid dynamics model of inviscid gas flow was used. At the second stage of the computational modeling the convective – diffusive equation of admixture transfer was used. The equation takes into account non-uniform flow field in the dead end mine workings. Findings. The developed numerical model was coded using FORTRAN language. The developed computer code allows to perform numerical experiment to assess the efficiency of suction tube implementation to decrease methane gas concentration in dead-end mine working. Originality. The developed numerical model takes into account physical factors, which are not considered now days in the empirical models, which are used for solving the problems of dead-end mine working ventilation. It allows taking into account the geometrical form of the dead-end mine working. Practical value. The developed computer program allows to perform calculations to assess the efficiency of suction system used for the ventilation of the dead-end mine working.

Key words: air pollution; dead end mine workings; mathematical modelling; numerical model

Introduction

The development of the mining industry is based on increasing the intensity of work in the mine workings, which leads to an increase in dust and gas emission [2, 6, 9, 11]. This problem is connected with risk assessment [10, 12]. This places high demands on the efficiency of the ventilation system. The increase in the volume of cleaning space and the intensity of mining operations causes an increase in the volume of air, and this requires rational use of the supplied air. In this connection, it is necessary to know how the impurity concentration changes in the process of airing the mine working. Airing of underground workings is one of the most urgent problems of aerology in the mining industry. As part of this problem, the task of developing forecasting methods for calculating the ventilation time of underground workings should be highlighted [1, 2].

In recent years numerical models, computational fluid dynamics models are widely used by engineers to solve different problems [3–7]. Numerical simulation of the aerodynamics of air flow in underground workings helps to optimize the process of efficient air circulation and the removal of pollution.

Unfortunately, the development of numerical models for solving problems of ventilation of underground workings is carried out in Ukraine is not as active as abroad. The current approaches in Ukraine to calculate the parameters of the ventilation workings are based either on theoretical assumptions that require experiments to determine empirical coefficients, or use the values of average velocity over the mine working cross section and constant coefficients of turbulent diffusion throughout the volume. It is not possible to determine the concentration fields of pollutants at any given time, and thus control the process of ventilation.

Purpose

The aim of the work is to develop computing numerical models to assess dumps influence on air pollution and to solve the problem of choosing of rational dump location.

Methodology

An underground dead end mine working of a given size is considered, in which the air environment is polluted with fine dust of a known concentration. The space ventilation is carried out by supplying clean air through the discharge duct. The task is to develop a mathematical model for the operational calculation of the process of ventilation of the dead end mine working using suction of polluted air.

Modeling equations. To compute the velocity field in the underground dead end mine working when the suction of polluted air takes place, the potential flow model is used. In this case, the governing equation has the following form [1, 6, 8]:

, (1)

where Р – is velocity potential, x, y – are Cortesian coordinates, m.

When applying this equation, it is assumed that the Y axis is directed vertically upwards.

To solve the equation (1) the following boundary conditions is used [4]:

1) on the walls of the dead end mine working, as well as on other solid surfaces located inside it, a boundary condition is set: P/n = 0, where n – is unit vector of external normal to solid wall;

2) at the inlet boundary the boundary condition is P/n = Vn, where Vn – is known airflow velocity, m·s-1;

3) at the outlet boundary the boundary condition is: P = P0 +const, P0 – is an arbitrary number (Dirichlet condition).

To simulate the dispersion of dust in the underground mine, the mass transfer equation is used [3, 8]:

(2)

where С – is pollutant concentration in the air, g·m-3; u, v – are airflow velocity components in the mine working, m·s-1; =(x, y) – are turbulent diffusion coefficients, m2·s-1; (xi, yi) – are emission source coordinates, m; Qi – is pollutant emission rate at the point (xi, yi), g·s-1; (x xi)(y yi) – are Dirac's delta function, which is used to simulate the entry of a pollutant into the mine working.

Boundary conditions for (2) are discussed in [3, 4]. The initial condition is C=C0, for t = 0. Here, C0 is known concentration of pollutant in dead end mine working.

Numerical model. Numerical integration of modeling equations is carried out using a rectangular difference grid.

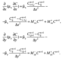
Before a numerical solution of equation (2), it was splitted, at the differential level, as follows [3]:

(3)

The construction of a numerical model is carried out by applying the following procedure.


Convective derivatives are represented as [4]:

where

.

The approximation of these derivatives is carried out according to the formulas [4]:

The time derivative is approximated as follows:

To approximate the second derivatives, the following formulas are used [4]:

The two-dimensional dust transport equation is written in a difference form [4]:


(4)

In this equation, a symbol ij means either «1» or «0», depending on whether or not there is
a source of dust emission in the differential cell «ij». Value
Qij is calculated as:

,

where Qk – the intensity of the emission of the k-th point source of dust emission, which is located in the difference cell «ij».

The splitting of difference equation (4) is carried out as following [4]:

1) on the first step of splitting k = 1/4 the difference equation has the appearance:

(5)

2) on the second step of splitting k = n + 1/2;
c = n + 1/4 the difference equation has the appearance:

(6)

3) on the third step of splitting k = n + 3/4;
c = n + 1/2 the difference equation has the appearance:



(7)

4) on the fourth step of splitting k = n + 1; c = n + 3/4 the difference equation has the appearance:

(8)

From equations (5) – (8) unknown value of the dust concentration on the highest time layer is calculated by explicit formula of running calculation [4]. The initial condition for these equations is written as:

.

To construct the boundary condition on the solid walls of the form C/n = 0 fictitious cells are used.

In conclusion, we note that the applied difference schemes have an important advantage the calculation of the unknown value of the dust concentration in the working area is carried out using explicit formulas, which ensures a simple software implementation of these formulas.

For the numerical integration of this equation, the method of total approximation is applied. To consider the two-dimensional equation for the velocity potential, first of all, this equation in evolutionary form is written [11]:

(9)

where t – fictitious time (dimensionless).

It is known, that when t the solution of this equation will approach to the Laplace equation solution for the velocity potential. In the numerical solution of equation (9), it is necessary to specify the potential field at t = 0. For example, before starting the calculation, you can take P = 0 in the entire computational domain for t = 0.

The solution of equation (9) is carried out on a rectangular grid, the function P is determined in the center of the difference cells. The solution of this equation is split into two steps. Difference equations at each step of the splitting are written as:

At each splitting step, the unknown value of the velocity potential is determined by the explicit running calculation formula. The calculation is terminated when the following condition is fulfilled:

(10)

where ε – is small number (e.g., ε =0.001); n iteration number.

We also used Libman method for numerical integration of equation (1). In this case the calculation formula is as follows

,

where .

After determining the velocity potential field, the components of the air velocity vector are calculated by dependencies:

The components of the air velocity vector are calculated on the sides of the difference cells (control volumes), which makes it possible to construct a conservative difference scheme for the dust transport equation (2).

To code the difference formulae of the developed numerical model Fortran language has been used.

Findings

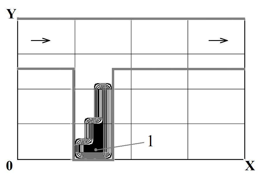
The developed numerical model was used to simulate the air cleaning in the dead-end mine working. To clean the air suction of the polluted air takes place. The suction opening is situated as it is shown in Figure 1.

To make all parameters dimensionless, we have chosen the following scales:

1) vw is the air velocity at the left boundary, vw=2m/s;

2) Lm, m is the length of the dead-end mine working;

3) C0, μg·m-3 is the initial dust concentration in the dead-end mine working for t=0.

The dimensionless parameters are calculated as following:

  1. t=tp·vw/Lm, where tp is time, s;

  2. C=Cp/C0, where Cp is dust concentration, μg·m-3;

  3. L=Lp/Lm, where Lp is length, m;

  4. v=vp/vw, vp is local air velocity, m/s.

At the initial moment of time throughout the mine working, a uniform impurity concentration is set С=1 (in dimensionless form). Air supply for ventilation is carried out through the duct (Fig. 1). The length of the dead-end mine working is L=1 (dimensionless), the width is W=0.3 (dimensionless). The length of the computational domain Lx=2.5, the width of the computational domain is Ly=1.5.

The computational experiment was carried out in two stages. At the first stage, the calculation of dead end mine working ventilation was carried out without the suction system.

In Figures 2 – 4 the change of the polluted zone in the dead end mine working for different time is shown. Time is dimentionless. In Figures 2–4, 6–7 the arrow indicates the wind flow direction.

Fig. 1. Scheme of calculation zone:
1 – dead-end mine working; 2 – suction inlet

Fig. 2. Dimensionless dust concentration field in mine working, t = 22 (no suction of dust, time is dimensionless):
1C=0.68

Fig. 3. Dimensionless dust concentration field
in mine working,
t = 58 (no suction of dust,
time is dimensionless):
1C=0.2

Fig. 4. Dimensionless dust concentration field in mine working, t = 105 (no suction of dust, time is dimensionless):
1C=0.05

In Figure 5 the maximum dust concentration change in the mine working during time is shown.

Fig.5. Dimensionless maximum dust concentration in mine working vs time (no suction of dust, time is dimensionless)

From Figure 5 it is seen that the process of concentration decrease takes part very slowly. It depends upon the aerodynamics process of ventilation: in this case the local speed in the dead-end mine working is very small. This results in small intensity of dust evacuation from the dead-end mine working. So, to increase the intensity of dust evacuation from dead-end mine working it is necessary to imply “external” impact. For example, we can use suction of dust from dead-end mine working.

It is well known, that suction application can be efficient if the suction opening is situated properly in the dead-end mine. The process of dust suction strictly depends on the length from the walls of the dead-end mine, coal heaps to the suction opening. Obtaining the proper position of the suction opening is possible by numerical experiment.

Fig. 6. Dimensionless dust concentration field in mine working (suction of dust, suction speed is 2.2 m/s),
t = 22 (time is dimensionless):
1C=0.14

Fig. 7. Dimensionless dust concentration field
in mine working (suction of dust, suction speed
is 2.2
m/s), t = 41 (time is dimensionless):
1C=0.016

In Figure 8, for this scenario, the maximum dust concentration change in mine working during time is shown.

Fig. 8. Dimensionless maximum dust concentration
in mine working vs time (suction of dust,
time is dimensionless)


From Figures 6–8 one can see that the process of ventilation is rapidly increased when suction of dust takes place.

In conclusion, it should be noted that the calculation took 10 seconds of computer time.

Originality and practical value

Fluid dynamics numerical models were developed to predict the efficiency of dead-end mine working ventilation. For ventilation the suction system was used. The models are based on equation of pollutant dispersion and equation for potential flow. Difference schemes were used for numerical integration. The developed models can be used on the stage the ventilation system development.

Conclusions

An effective numerical model was developed for calculating the process of ventilation of dead-end mine workings. The calculation of the aerodynamics of air flow is based on the model of potential flow. The process of dispersion of impurities is modeled on the basis of the mass transfer equation. Practical implementation of the model requires small amount of computer time. The model makes it possible to improve the quality of engineering calculations. Further development of this direction is associated with the creation of a three-dimensional numerical model of the process of ventilation of underground workings.



LIST OF REFERENCE LINKS

  1. Беляев, Н. Н. Защита зданий от проникновения в них опасных веществ : монография / Н. Н. Беляев, Е. Ю. Гунько, Н. В. Росточило. – Днепропетровск : Акцент ПП, 2014. – 136 с.

  2. Бересневич, П. В. Аэрология карьеров : справочник / П. В. Бересневич, В. А. Михайлов, С. С. Филатов. – Москва : Недра, 1991. – 280 с.

  3. Марчук, Г. И. Математическое моделирование в проблеме окружающей среды / Г. И. Марчук. – Москва : Наука, 1982. – 320 с.

  4. Численное моделирование распространения загрязнения в окружающей среде / М. З. Згуровский, В. В. Скопецкий, В. К. Хрущ, Н. Н. Беляев. – Киев : Наук. думка, 1997. – 368 с.

  5. Air pollution dispersion modeling in a polluted industrial area of complex terrain from Romania / G. Grigoras, V. Cuculeanu, G. Ene, G. Mocioaca, A. Deneanu // Romanian Reports in Physics. – 2012. – Vol. 64, No. 1. – P. 173–186.

  6. Alvarez, J. T. Dust barriers in open pit blasts. Multiphase Computational Fluid Dynamics (CFD) Simulations / J. T. Alvarez, I. D. Alvarez, S. T. Lougedo // WIT Transactions on Ecology and the Environment. –2008. – Vol. 116. – P. 86–93. doi:10.2495/AIR080101

  7. Anand Kumar Varma, S. Mathematical modeling of air pollution in a thermal power prоject [Electronic resource] / S. Anand Kumar Varma. – Available at: https://www.researchgate.net/publication/318284616_mathematical_modeling_of_air_pollution_in_a_thermal_power_project – Title from the screen. – Accessed : 16.10.2019.

  8. Biliaiev, M. M. Numerical Simulation of Indoor Air Pollution and Atmosphere Pollution for Regions Having Complex Topography / M. M. Biliaiev, M. M. Kharytonov // NATO Science for Peace and Security. Series C: Environmental Security. – Dordrecht, 2012. – P. 87–91. doi: 10.1007/978-94-007-1359-8_15

  9. Jyotsna, K. A mathematical model to study the impact of mining activities and pollution on forest resources and wildlife population / K. Jyotsna, A. Tandon // Journal of Biological Systems. – 2017. – Vol. 25, No. 02. – Р. 207–230. 10.1142/S0218339017500115

  10. Protective Action Criteria. A Review of Their Derivation, Use, Advantages and Limitations [Electronic resource] // Environmental Public Health Science Unit, Health Protection Branch, Public Health and Compliance Division, Alberta Health. – Edmonton, Alberta, 2017. – Available at: http://open.alberta.ca/publications/9781460131213 – Title from the screen. – Accessed : 16.10.2019.

  11. Škuta, R. Assessment of mining activities with respect to the environmental protection / R. Škuta, R. Kučerová, Z. Pavelek, V. Dirner // Acta Montanistica Slovaca. – 2017. – Vol. 22 (1). – P. 79–93.

  12. The analysis of the use of mathematical modeling for emergency planning purposes [Electronic resource] / O. Zavila, P. Dobes, J. Dlabka, J. Bitta // The science for population protection. – 2015. – № 2. – Available at: http://www.population-protection.eu/prilohy/casopis/eng/22/112.pdf – Title from the screen. – Accessed : 16.10.2019.

В. В. БІЛЯЄВа1*, п. с. кіріченко2*, о. ю. гунько3*, і. о. бондаренко4*,п. б. машихіна5*, З. М. Якубовська6*

1*Каф. «Аерогідромеханікa та енергомасоперенос», Дніпровський національний університет імені Олеся Гончара, вул. Кaзакова, 18, Дніпро, Україна, 49010, тел. +38 (056) 776 82 05, ел. пошта water.supply.treatment@gmail.com, ORCID 0000-0003-2399-3124
2*
Каф. «Теплогазопостачання, водовідведення та вентиляція», Криворізький національний університет, вул. Віталія Матусевича, 11, Кривий Ріг,Україна, 50027, тел. +38 (056) 409 06 06, ел. пошта pasha_129@ukr.net, ORCID 0000-0002-0793-9593
3*
Каф. «Гідравліка та водопостачання», Дніпровський національний університет залізничного транспорту імені академі-ка В. Лазаряна, вул. Лазаряна, 2, Дніпро, Україна, 49010, тел. +38 (056) 273 15 09,ел. пошта water.supply.treatment@gmail.com, ORCID 0000-0001-9257-763X
4*
Каф. «Колія та колійне господарство», Дніпровський національний університет залізничного транспорту імені акаде-міка В. Лазаряна, вул. Лазаряна, 2, Дніпро, Україна, 49010, тел. +38 (063) 802 21 80, ел. пошта irina_bondarenko@ua.fm, ORCID 0000-0003-4717-3032
5*Каф. «Гідравліка та водопостачання», Дніпровський національний університет залізничного транспорту імені академіка В. Лазаряна, вул. Лазаряна, 2, Дніпро, Україна, 49010, тел. +38 (056) 273 15 09, ел. пошта water.supply.treatment@gmail.com, ORCID 0000-0003-3057-9204
6*Каф. «Фізики», Український державний хіміко-технологічний університет, пр. Гагаріна, 8, Дніпро, Україна, 49000, тел. +38 (056) 753 56 38, ел. пошта physics@udhtu.edu.ua, ORCID 0000-0002-9893-3479

Компютерне моделювання

ВЕНТИЛЯЦІЇ ШАХТНОЇ ВИЇМКИ

Мета. Важливою проблемою в галузі екологічної та промислової безпеки є створення нормального мікроклімату в тупиковій шахтній виїмці. У цій зоні шахти може накопичуватися газоподібний метан, що в результаті призводить до вибух. Тому, щоб уникнути нещасних випадків, важливо належним чином провітрити шахтну виїмку. Метою роботи є розробка швидкодіючої математичної моделі для отримання інформації про процес вентиляції тупикової шахтної виїмки. Методика. Процес розрахунку вентиляції шахтної виїмки розділено на два етапи. На першому етапі обчислюють поле швидкісного потоку в шахтній виїмці. Розглядаємо ситуацію, коли усмоктувальна труба знаходиться в цій зоні. Для розв’язання задачі використано гідродинамічну модель потоку нев’язкого газу. На другому етапі обчислювального моделювання використано конвективно-дифузійне рівняння переносу домішки. Рівняння враховує нерівномірне поле потоку у виїмці. Результати. Розроблена чисельна модель була закодована з використанням мови FORTRAN. Створений комп’ютерний код дозволяє провести чисельний експеримент для оцінки ефективності застосування всмоктувальної труби з метою зниження концентрації метану в тупиковій виїмці. Наукова новизна. Розроблена чисельна модель враховує такий фізичний фактор, який у наш час не враховують в емпіричних моделях, застосовуваних для розв’язання задачі вентиляції шахтної виїмки, – це її геометрична форма. Практична значимість. Розроблена комп'ютерна програма дозволяє проводити розрахунки для оцінки ефективності системи всмоктування, використовуваної для вентиляції шахтної виїмки.

Ключові слова: забруднення повітря; шахтна виїмка; математичне моделювання; чисельна модель





в. в. БЕЛЯЕВа1*, п. с. кириченко2*, е. ю. гунько3*, и. а. бондаренко4*,п. б. машихина5*, З. М. ЯкубовскаЯ6*

1*Каф. «Аэрогидромеханика и энергомассоперенос», Днипровский национальный университет имени Олеся Гончара, ул. Кaзакова, 18, Днипро, Украина, 49000, тел. +38 (056) 374 98 22, эл. почта water.supply.treatment@gmail.com, ORCID 0000-0003-2399-3124
2*
Каф. «Теплогазоснабжение, водоотведение и вентиляция», Криворожский национальный университет, ул. Виталия Матусевича, 11, Кривой Рог, Украина, 50027, тел. +38 (056) 409 06 06, эл. почта pasha_129@ukr.net, ORCID 0000-0002-0793-9593
3*
Каф. «Гидравлика и водоснабжение», Днипровский национальный университет железнодорожного транспорта имени академика В. Лазаряна, ул. Лазаряна, 2, Днипро, Украина, 49010, тел. +38 (056) 273 15 09,эл. почта water.supply.treatment@gmail.com, ORCID 0000-0001-9257-763X
4*
Каф. «Путь и путевое хозяйство», Днипровский национальный университет железнодорожного транспорта имени академика В. Лазаряна, ул. Лазаряна, 2, Днипро, Украина, 49010, тел. +38 (063) 802 21 80, эл. почта irina_bondarenko@ua.fm, ORCID 0000-0003-4717-3032
5*
Каф. «Гидравлика и водоснабжение», Днипровский национальный университет железнодорожного транспорта имени академика В. Лазаряна, ул. Лазаряна, 2, Днипро, Украина, 49010, тел. +38 (056) 273 15 09, эл. почта water.supply.treatment@gmail.com, ORCID 0000-0003-3057-9204
6*Каф. «Физики», Украинский государственный химико-технологический университет, пр. Гагарина, 8, Днипро, Украина, 49000, тел. +38 (056) 753 56 38, эл. почта physics@udhtu.edu.ua, ORCID 0000-0002-9893-3479

КОМПЬЮТЕРНОЕ МОДЕЛИРОВАНИЕ

ВЕНТИЛЯЦИИ шахтной выемки

Цель. Важной проблемой в области экологической и промышленной безопасности является обеспечение нормального микроклимата в тупиковой шахтной выемке. В этой зоне шахты может накапливаться газообразный метан, что в результате приводит к произойти взрыву. Поэтому, чтобы избежать несчастных случаев, важно надлежащим образом проветрить шахтную выемку. Целью работы является разработка быстродействующей математической модели для получения информации о процессе вентиляции тупиковой шахтной выемки. Методика. Процесс расчета вентиляции шахтной выемки разделен на два этапа. На первом этапе вычисляют поле скоростного потока в шахтной выемке. Рассматриваем ситуацию, когда всасывающая труба находится в этой зоне. Для решения задачи была использована гидродинамическая модель потока невязкого газа. На втором этапе вычислительного моделирования использовано конвективно-диффузионное уравнение переноса примеси. Уравнение учитывает неравномерное поле потока в выемке. Результаты. Разработанная численная модель была закодирована с использованием языка FORTRAN. Созданный компьютерный код позволяет провести численный эксперимент для оценки эффективности применения всасывающей трубы для снижения концентрации метана в тупиковой выемке. Научная новизна. Разработанная численная модель учитывает такой физический фактор, который в настоящее время не учитывают в эмпирических моделях, используемых для решения задачи вентиляции шахтной выемки, – это её геометрическая форма. Практическая значимость. Созданная компьютерная программа позволяет проводить расчеты для оценки эффективности системы всасывания, используемой для вентиляции шахтной выемки.

Ключевые слова: загрязнение воздуха; шахтная выемка; математическое моделирование; численная модель

References

  1. Belyaev, N. N., Gunko, Y. Y., & Rostochilo, N. V. (2014). Zashchita zdaniy ot proniknoveniya v nikh opasnykh veshchestv: Monografiya. Dnepropetrovsk: Aktsent PP. (in Russian)

  2. Beresnevich, P. V., Mikhaylov, V. A., & Filatov, S. S. (1991). Aerologtya karerov: spravochnik. Moscow: Nedra. (in Russian)

  3. Marchuk, G. I. (1982). Matematicheskoye modelirovaniye v probleme okruzhayushchey sredy. Moscow: Nauka. (in Russian)

  4. Zgurovskiy, M. Z., Skopetskiy, V. V., Khrushch, V. K., & Biliaiev, N. N. (1997). Chislennoe modelirovanie rasprostraneniya zagryazneniya v okruzhayushchey srede. Kyiv: Naukova dumka. (in Russian)

  5. Grigoras, G., Cuculeanu, V., Ene, G., Mocioaca, G., & Deneanu, A. (2012). Air pollution dispersion modeling in a polluted industrial area of complex terrain from. Romanian Reports in Physics, 64(1), 173-186. (in English)

  6. Alvarez, J. T., Alvarez, I. D., & Lougedo, S. T. (2008). Dust Barriers In Open Pit Blasts. Multiphase Computational Fluid Dynamics (CFD) Simulations. WIT Transactions on Ecology and the Environment, 116, 86-93.doi: 10.2495/AIR080101 (in English)

  7. Anand Kumar Varma, S. Retrieved from https://www.researchgate.net/publication/318284616_mathematical_modeling_of_air_pollution_in_a_thermal_power_project (in English)

  8. Biliaiev, M. M., & Kharytonov, M. M. (2012). Numerical Simulation of Indoor Air Pollution and Atmosphere Pollution for Regions Having Complex Topography. NATO Science for Peace and Security. Series C: Environmental Security, 87-91. doi: 10.1007/978-94-007-1359-8_15 (in English)

  9. Jyotsna, K., & Tandon, A. (2017). A mathematical model to study the impact of mining activities and pollution on forest resources and wildlife population. Journal of Biological Systems, 25(2), 207-230. doi: 10.1142/S0218339017500115 (in English)

  10. Government of Alberta. (2017). Protective Action Criteria: A Review of Their Derivation, Use, Advantages and Limitations. Environmental Public Health Science Unit, Health Protection Branch, Public Health and Compliance Division, Alberta Health. Edmonton, Alberta. Retrived from http://open.alberta.ca/publications/9781460131213 (in English)

  11. Škuta, R., Kučerová, R., Pavelek, Z., & Dirner, V. (2017). Assessment of mining activities with respect to the environmental protection. Acta Montanistica Slovaca, 22(1), 79-93. (in English)

  12. Zavila, О., Dobes, Р., Dlabka, J., & Bitta, J. (2015). The analysis of the use of mathematical modeling foremergency planning purposes. The Science for Population Protection, 2. Retrieved from http://www.population-protection.eu/prilohy/casopis/eng/22/112.pdf (in English)


Received: May 20, 2019

Accepted: September 23, 2019

CПрямая соединительная линия 18reative Commons Attribution 4.0 International

doi: 10.15802/stp2019/
© V. V. Biliaieva, P. S. Kirichenko, E. Y. Gunko, I. O. Bondarenko, P. B. Mashykhina, Z. M. Yakubovska, 2019