ISSN 2307–3489 (Print), ІSSN 2307–6666 (Online)

Наука та прогрес транспорту. Вісник Дніпропетровського
національного університету залізничного транспорту, 2018, №
5 (77)



Експлуатація та ремонт засобів транспорту

Експлуатація та ремонт засобів транспорту

UDC 629.42.083-047.58

B. E. BODNAR1, O. B. ОCHKАSОV2*, Е. B. BODNAR3, Т. S. HRYSHECHKINA4,
М
. V. OCHERETNYUK5

1Dep. «Locomotives», Dnipropetrovsk National University named after Academician V. Lazaryan, Lazaryan St., 2, Dnipro, Ukraine, 49010, tel. + 38 (056) 733 19 01, e-mail bodnarz@nz.diit.edu.ua, ORCID 0000-0002-3591-4772
2*Dep. «Locomotives», Dnipropetrovsk National University named after Academician V. Lazaryan, Lazaryan St., 2, Dnipro, Ukraine, 49010, tel. + 38 (056) 733 19 61, e-mail abochkasov@gmail.com, ORCID 0000-0002-7719-7214
3Dep. «Locomotives», Dnipropetrovsk National University named after Academician V. Lazaryan, Lazaryan St., 2, Dnipro, Ukraine, 49010, tel. + 38 (056) 733 19 61, e-mail Melnar78@gmail.com, ORCID 0000-0001-6040-913X
4Dep. «Higher Mathematics», Dnipropetrovsk National University named after Academician V. Lazaryan, Lazaryan St., 2, Dnipro, Ukraine, 49010, tel. +38 (0562) 36 26 04, e-mail grishechkina.tatiana@gmail.com, ORCID 0000-0003-1570-4150
5Dep. «Locomotives», Dnipropetrovsk National University named after Academician V. Lazaryan, Lazaryan St., 2, Dnipro, Ukraine, 49010, tel. + 38 (056) 733 19 61, e-mail ocheretniukmaksym@gmail.com, ORCID 0000-0002-9032-8602

SIMULATION OF LOCOMOTIVE REPAIR

ORGANIZATION BY THE METHODS

OF QUEUE SYSTEMS THEORY

Purpose. The article is aimed to evaluate the influence of locomotives` operation and reliability indicators on the system of locomotives repair organization in depot, using the methods of queue theory. Methodology. The article describes the locomotive repair workshop using the terms and concepts of the queue systems theory (QST). The tasks solved during simulation of the repair workshop operation are formulated, the list of initial data and simulation results is given. A graphical simulation environment Simulink was used as a software simulation tool. Findings. It was established that the main indicators of locomotive depot operation are affected by the volume of traffic, the reliability of locomotives, the rule used to select locomotives from the queue, the number of operating repair bays. The developed model of the depot repair workshop will make possible rational planning of the repair workshop`s equipment use, the human capital, the time of putting the locomotives into repair taking into account the workshop loading uniformity, as well as to improve the repair parts supply logistics. This model in a simplified form describes the repair process of the main diesel locomotive fleet, and can be supplemented depending on the repair type performed in the depot. Originality. The paper presents the locomotive repair depot as an object of the queue systems theory. The simulation model of the locomotive repair depot was developed. It allows analyzing the influence of various factors on the system of locomotives` repair organization in the depot. Practical value. The obtained results make it possible to determine the influence of locomotives` operation and reliability indicators on the organization of the locomotive repair depot operation. In further studies, the developed model can be used to improve the system of repair organization on the railway network when introducing new series of locomotives and changing the strategy of their maintenance.

Keywords: locomotive repair workshop; simulation; queue system theory; organization of the repair workshop operation

Introduction

Improvement of the locomotives` repair system organization is one of the ways to reduce operating costs. Management system restructuring of Ukrzaliznytsia`s locomotive facilities involves the separation of operation and repair functions of traction rolling stock. Such an approach is already used at large industrial transport enterprises (metallurgical enterprises, ore mining and processing enterprises). Foreign railway companies (RR, Lithuanian Railways, etc.) also carried out the functions` separation of locomotive operation and their repairs between the locomotive depots. On the basis of the largest depots, the repairs of locomotives allocated not only in this depot, but also in the other ones, are performed. Another part of the depots performs solely the locomotive maintenance during operation. At this stage in Ukrzaliznytsia operate locomotive depots specialized in locomotive series and repair types (CR-2, CR-3).

Separation of depots into operational and repair ones requires careful consideration, as the repair program is changing, which can lead to the formation of locomotives queue waiting for repairs, and this in turn will lead to increase in their downtime. On the one hand, when using this approach, the enterprise`s costs increase, this is due to the locomotive's withdrawal from operation and the costs of their transportation from the operating depot to the repair one. On the other hand, there may be a low loading of repair enterprises, which leads to the idle of repair facilities waiting for the locomotives supply. The described situations eventually lead to the maintenance costs increase for both the locomotives and the technological equipment. The positive thing is that the creation of specialized depots reduces the capital costs for the repairs organization, increases the equipment use efficiency, increases the labor productivity, and, as a consequence, the repair quality. The distribution task of the repair program between the repair depots of the railway network and the methodology of selecting the specialized depots is an urgent task [7, 10, 16]. Solution of this task involves the development of general model for the locomotives` repair organization at a level not less than that of the Ukrzaliznytsia`s regional branch. The part of this model is the model of locomotives` repair organization at the level of repair depot. This article is devoted to the analysis of methods and approaches to simulating the operation organization of the repair locomotive depot.

The initial data when simulating the repair organization in the locomotive depot is the need for locomotive repairs. From the point of view of the operating company, the locomotive is a part of the overall locomotive fleet management system. To maintain a given level of locomotive reliability, the transport companies use a certain maintenance system. In this case, the choice of the locomotive maintenance system is influenced by such factors as the repair enterprise characteristics, the type of service and operating conditions, the performance history of each locomotive (electronic passport), the level of equipment and loading of the repair enterprise, the failure statistics (reliability) of locomotive units and the locomotives of this series, as well as a number of other factors.

Based on the analysis [7, 12, 14, 19, 20] of the existing systems of locomotive fleet management, the main tasks are formulated that need to be addressed when choosing a system of technical maintenance of locomotives. Among them are as follows:

development of the methodology for repair units loading planning, taking into account the technical condition of the locomotive fleet and the volume of planned repair works;

development of methodology for planning logistical support for repair units, taking into account the technical condition of the locomotive fleet and the volume of planned repair works.

Solution of the set tasks also requires the creation of the model for the locomotive repair organization in the repair depot, taking into account the repair units loading planning, the technical condition of the locomotive fleet, and the volume of the performed works.

The methods of the queue system theory [5, 7, 8, 11, 13], optimization [2, 4, 9, 15], the theory of economic and mathematical modeling [1, 4], analysis of the large amounts of data and simulation modeling are used during the development of the repair organization model in the locomotive depot [18].

Purpose

To analyze the influence of locomotives` operation and reliability indicators on the locomotive repair system organization in the depot with the use of the queue theory methods.

Methodology

The task of planning the locomotive putting into repair is to reduce the idle time of locomotives in repair and waiting for repairs, which significantly affects the locomotive availability. At the same time, it is necessary to ensure the loading uniformity of the repair units, the possibility of planning the supply of components and consumables, as well as to ensure a given level of the locomotive fleet reliability.

The existing system of repair planning is based on the control of overhaul periods. It determines the need for repair or maintenance on the basis of comparison with the normative values of the between-repair mileages of locomotives (first of all, when working in trains) or the operating time (for example, when used for shunting or export works). Typical standards for between-repair mileages according to locomotive series can be set individually for different locomotive series.

The need for repair or maintenance for this locomotive is fixed in the event the between-repair mileage, or the operating time, have become more than the normative ones for the corresponding repair type. In this case, according to regulatory documents, for the loading uniformity of the depot repair workshops and locomotive repair plants, it is possible to regulate the overhauls (usually within -10% + 25%). That is, fixing of the need for repair or maintenance takes place for a certain interval of values of between-repair mileage or the operating time of locomotive.

Current values of between-repair mileages or locomotive operating time are determined based on the accounting for their work (by processing the running schedules of the drivers). At the same time, since the determination of the need for repair or maintenance should be carried out for the future, forecasting of changes in these parameters is used. As a rule, forecasting is carried out based on their average values.

Planning of locomotives` putting into repair can be of two types: the calendar planning and the planning by mileage. When planning according to calendar time one proceeds from the average daily mileage during this period or the planned task in order to determine a planned day of locomotive putting into repair. The disadvantage of this method of planning is that the actual daily mileage of locomotives greatly varies due to their different technical condition, different idle times in the current repair, different degrees of use at work and other things and it is significantly different from the planned one. More expedient is the planning according to the mileage, since in this case the locomotives are put into repair according to the established frequency. The disadvantage of this method of planning is possible uneven performance of the daily maintenance plan. The maintenance schedule of an individual locomotive is based on the established periodicity of maintenance, repair cycle and daily mileage of locomotive.

This approach is used in the case of the planned-preventive locomotive repair system. However, its use when implementing the combined repair system or the one, which takes into account the technical condition of the locomotives, is not rational, since in this case the repair volume and the overhaul periods are determined for each individual locomotive taking into account the reliability characteristics of the locomotive units.

For the operational planning of putting the locomotives into repair, one has to know the probabilities of locomotives being in different conditions (operation, repair type, idle time when waiting for repair, etc.).

When solving this problem, it is expedient to use the tools of queue theory.

Let us consider in more detail the possibility of using the queue theory approaches to simulate the processes of putting the locomotive into repair and its implementation, analyzing the loading of repair bays and calculating their required quantity.

In the queue theory the methods of probability theory and mathematical statistics are used. The queue theory considers the theoretical basis of rational design and operation of queue systems (QS). The queue system operation consists in performing the flow of applications received by it. The subject of the queue theory is the establishment of a relationship between the nature of the application flow, the performance of certain channels, the number of channels and the service efficiency.

The following indicators can be the efficiency characteristics of services:

the average idle-time of certain channels;

the average time of waiting in the queue;

the probability that the received application will be accepted for service immediately;

etc.

The given characteristics describe the degree of the system's suitability to perform the application flow (i.e., its capacity). The average number of applications that a system can serve per unit of time is considered as capacity.

Maintenance of requirements in the system is performed by the service channels. A classical queue system contains from one to an infinite number of channels.


Depending on the availability of the possibility for the beginning of servicing the QS are divided into:

lossy systems in which the claims that did not find any free handler at the time of receipt are lost;

the systems with waiting, which have an infinite capacity storage for buffering the received requirements, while the waiting requirements form a queue;

the systems with end capacity storage (with waiting and restrictions), in which the queue length cannot exceed the storage capacity. At the same time, the requirement received by the overflow system in which there is no free place for waiting is lost.

The selection of the application from the queue is made using the discipline of service. Its examples are: FIFO (first in, first out), random, SF (short forward). In systems with waiting, a storage in the general case can have a complex structure. The system can be single-channel and multi-channel.

To simulate the locomotive fleet repair under conditions of locomotive depot, a waiting system that has infinite capacity storage for buffering the received requirements is suitable. At this the waiting locomotives form a queue. Also in this case, from our point of view, it is most appropriate to choose a requirement from the queue according to the FIFO system.

In this system, the repair bays are the service facilities (channels), the flow of applications is the number of locomotives received by the service system for a certain time: year, month, week, shift, hour, minute. The application flow serves as the basis for planning the production program of the repair bays.

Due to the randomness of the incoming application flow and the duration of their execution, there is always some average number of idle locomotives. Therefore, it is necessary to distribute the number of repair bays between different subsystems so that the idle time and, therefore, the losses would be minimal. Note that the locomotive queue system is a discrete type physical system S with a countable set of states:

.

At any moment of time t the system S can be in one of these states. Then for any t:

,

where – is the probability that at the moment of time t the system will be in the state .

Let us consider in more detail the repair workshop of the locomotive depot, in which all types of depot repairs are performed, as a queue system for locomotives.

Repair workshop with repair bays, in terms of queue theory, has the following characteristics:

it is an open system, since the source of applications is outside the system (operation depot) and has an infinite number of them;

by the nature of the queue creation it is a waiting system with an infinite queue. Non-preferential service discipline, the service system can be adopted any of the previously considered ones;

by the number of channels it is a multi-channel system with parallel channel arrangement. In this paper, we consider the depot as a system with heterogeneous channels, since when performing repairs in the depot, the bays specialized according to the repair types are used (M-3, CR-1, etc.).

For the repair workshop as a queue system, the main factor that determines the processes occurring in it is the input application flow – the number of locomotives that need one or another type of repair. The Poisson application flow was considered during the simulation. The service time of one application is accepted as distributed according to the demonstrative law.

To analyze the random processes with discrete states it is convenient to use the so-called graph of states and transitions. For further calculation of the efficiency characteristics of the QS operation, it is necessary to determine the possible states of the system, as well as the probability of occurrence of these states (pi), which are called the limit probabilities of the system.

The graph of the states of the repair workshop with repair positions n and places in the queue m is shown in Fig. 1.


Fig. 1. The graph of the repair workshop states with n repair positions and a limited queue


Let us introduce the following designations:
i – is the number of locomotive sections (applications) in the queue system (in the queue and on the service); – is the intensity of sections receipt into the system, provided that there are already i sections in the system; – is the output flow intensity of the served sections, provided that there are i sections in the system; – is the probability that there are i sections in the system; – is the summary bay loading intensity (or the channel loading intensity)

The repair workshop of locomotives can take one of the following states:

–  all positions are free; – the one position is occupied, and the rest ones are free;

– two positions are occupied, and the rest ones are free; – all positions are occupied, but there is no queue;

– all positions are occupied, one locomotive (section) is in the queue;

– all positions are occupied, locomotives (sections) are in the queue.

It should be noted that in this system the service flow intensity will increase from to with the increase in the number of applications from 0 to . Accordingly, the number of service channels is increased. With the number of requirements exceeding , the service intensity remains equal to .

When simulating, the following tasks need to be solved: simulating the repair workshop operation for a specified number of hours; determining the probabilities of the repair workshop conditions ; determining the average number of applications (locomotives) in the service queue; determining the average number of applications for service; determining the average number of applications in the system; determining the average duration of the application stay in the queue; determining the average duration of the application stay in the system; determining the system relative capacity; determining the absolute system capacity.

For the probabilities p1(t), p2(t),…, pn(t) the system of linear differential equations (Erlang equations) will be:

;

;

;

;

;

. (1)

In the steady (stationary) state (with ) the system of equations takes the form:

;

;

;

;

. (2)

Let us add a normalizing condition:

. (3)

Its meaning is that at any moment the workshop must be in one of its states (idle, operation, operation with a queue).


The initial data for the simulation of the repair workshop operation are: the number of repair positions; simulation time; the intensity of the incoming application flow (including the scheduled and unscheduled repairs); the duration of service at each repair position for each repair type.

As a result of simulation, the following indicators of the QS (locomotive repair workshop) are determined: the probability of the system conditions ; the average number of applications (locomotives) in the queue for service; the average number of applications in the system; the average duration of stay in the queue; the average duration of application stay in the system. The simulation results of the repair workshop operation for a given time include the number of the received applications and the number of hours spent for service.

To determine the probability of finding a QS in one of the possible conditions, we use formulas
4–6:

(4)

, , (5)

where k – is the number of the occupied repair bays;

, (6)

The probability of queue formation is determined by the formula:

. (7)

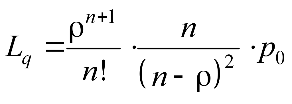
The average application number in a queue:

(8)

Average number of applications served:

. (9)

The average number of application stay in the system:

, (10)

where Q – is the relative QS capacity (in this case it is equal to one).

Average time in the queue:

. (11)

Findings

To study the influence of the system of maintenance, operation and repair organization of locomotives, as well as their reliability level, a model was developed and the operation of the main diesel locomotive repair workshop at the repair depot was simulated. When simulating, it was taken the performance of all types of depot repair of diesel locomotives TM-3, CR-1, CR-3 and unscheduled repairs in the repair workshop. When organizing the applications servicing (locomotive repair simulation), specialization of repair bays by the repair type was taken. There are two groups of repair bays. Unscheduled repairs and CR-3 are performed in one group, CR-1 and TM-3 are performed in another group of repair bays.

A graphical environment Simulink was used as a simulation software. The block diagram of the repair workshop model of the locomotive depot is presented in Fig. 2

The blocks 1 and 2 form the applications for the diesel locomotives repair interspaced in time in a random manner. Block 3 forms the time for performing repair in a random manner. The calculation of application number and the service time of diesel locomotives is made in accordance with the current regulatory documentation. In this case, it is allowed the deviation of the receipt time  20% from the norm. The block 4 «repair position» was used as a repair depot in the model. The time required to perform the corresponding repair type is determined by this block depending on the repair type  20%. FIFO discipline has been adopted as the discipline for servicing the applications. The queue of diesel locomotives waiting for repair is organized by the block 5.

A simulation of the repair workshop for the allocated locomotive fleet of diesel locomotives (36 sections) of the 2TE116 series was performed. The average daily mileage of diesel locomotives was taken , the simulation time is 365 days, the share of unscheduled repairs is 5%. The simulation results are shown in Table 1–3.

Fig. 2. Repair workshop model of diesel locomotives in the form of QS:
1 – former of the receipt time of locomotives for repair;
2 – block of the former of the application distribution in time;
3 – former of diesel locomotive service time at repair position;
4 – diesel locomotive repair positions; 5 – queue of locomotives waiting for repair


In tab. 1 shows the simulation results with a different number of repair stalls. As can be seen from the obtained results, with the accepted initial data, the use of three repair stalls is the most rational, while the loading of the depot workshop is 0.6%.

The Tab. 1 shows the simulation results with a different number of repair bays. As one can see from the obtained results, with the accepted initial data the use of three repair bays is the most rational, at this the loading of the depot workshop is 0.6%.

Table 1

The simulation results of the repair workshop operation for diesel locomotives on change
of the repair bays number

Number of repair bays, pcs.

The average time of waiting in the queue, h.

The average queue length, sect.

Workshop/depot loading, %

The average time of application in the QS, h

2

60

1.439

0.88

83.18

3

1.5

0.044

0.59

45.78

4

0

0

0.45

44.6


The Tab. 2 shows the simulation results when using in the depot three repair bays and changing the average daily mileage of diesel locomotives from 400 to 700 km/day. As one can see from the obtained results, increase in the average daily mileage leads to an increase in the repair workshop loading to 0.79%, while the queue length increases by 10 times, and the average waiting time – by 5.6 times. This is explained by the fact that with increase in the average daily mileage, the number of applications for repairs is increasing.

The Tab. 3 shows the simulation results when using in the depot three repair bays and changing the number of unscheduled repairs from 5 to 10%. The results show that increase in the percentage of unscheduled repairs leads to a slight increase in the repair workshop loading, at this, the queue length and average waiting time change slightly as well.

Table 2

The simulation results of the repair workshop when changing the average daily mileage of diesel locomotives

The average daily mileage of locomotive, km

The average time of waiting in the queue, h

The average queue length, locomotives

Workshop/depot loading, %

The average time of application in the QS, h

400

0.8

0.02

0.48

44.94

500

1.5

0.04

0.59

45.78

600

2.1

0.08

0.68

45.58

700

4.5

0.22

0.79

48.22

Table 3

The simulation results of the repair workshop when changing the unscheduled repair percentage

Percentage of unscheduled repairs of locomotives, %

Locomotive average daily mileage, km

The average waiting time in the queue, h

The average queue length, locomotives

Workshop/depot loading, %

The average time of application in the QS, h

5

500

1.4

0.032

0.57

44.3

8

500

1.5

0.044

0.59

45.78

10

500

1.5

0.048

0.6

46.68


Originality and practical value

The work originality lies in the presentation of the locomotive depot as the queue system object. A simulation model of a locomotive repair depot has been developed. It allows analyzing the influence of various factors on the system of organizing the locomotive repair in depot.

The use of the developed model and simulation results allows determining the influence of operation and reliability indicators of locomotives on the work organization of the locomotive repair depots. In further studies, the proposed model can be used to improve the organization of repair on the road network when introducing new series of locomotives and changing their maintenance strategy.

Conclusions

The paper presents the locomotive repair workshop description using the terms and concepts of the queue system. The tasks for modeling the repair work workshop operation are formulated, a list of the initial data and the results of the simulation are given. Based on the simulation results analysis, it is possible to optimize the repair workshop structure and the required number of personnel, based on the transportations volume, locomotive reliability indicators, the locomotive selection rule used, the number of operating repair bays, etc. It is established that the listed parameters influence the main indicators of the locomotive repair depot. The proposed models of the repair workshop make possible the rational planning of the equipment use, human capital, the time for putting the locomotive into repair, taking into account the uniform loading of the workshop, as well as providing the opportunity to improve the spare parts supply logistics. The model in a simplified form describes the process of the mainline locomotive fleet repair and can be supplemented depending on the repair type performed at the depot.

The problem of accounting the reliability indicators when simulating the locomotive putting into unplanned repair types, determining the probability of locomotive transition from one state to another, as well as taking into account the reliability indicators when determining the repair work amount, requires further development.

LIST OF REFERENCE LINKS

  1. Берестовой, А. М. Моделирование системы технического обслуживания и ремонта локомотивов /
    А. М. Берестовой, А. А. Лямзин // Вісн. Приазов. держ. техн. ун-ту. Серія: Технічні науки : зб. наук. пр. Маріуполь, 2003. – Вип. 13. – С. 276–280.

  2. Босов, А. А. Теоретические основы рационального содержания подвижного состава железных дорог : монография / А. А. Босов, П. А. Лоза. – Днепропетровск : Дриант, 2015. – 252 с.

  3. Гришечкіна, Т. С. Побудова математичної моделі раціональної системи утримання технічних об’єктів залізничного транспорту / Т. С. Гришечкіна // Транспортні системи та технології перевезень : зб. наук. пр. Дніпропетр. нац. ун-ту залізн. трансп. ім. акад. В. Лазаряна. – Дніпропетровськ, 2017. – Вип. 14. – С. 30–35. doi: 10.15802/tstt2017/123165

  4. Гурьева, А. Г. Основы моделирования процессов технического обслуживания локомотивов /
    А. Г. Гурьева, Н. Б. Чернецка
    я-Белецкая // Вісн. Східноукр. нац. ун-ту ім. В. Даля. – 2015. – № 1 (218). – С. 262–265.

  5. Зіненко, О. Л. Підвищення ефективності використання локомотивного парку шляхом вдосконалення управління експлуатаційною роботою : дис. ... канд. техн. наук : 05.22.20 / Зіненко Ольга Леонідівна ; Дніпропетр. нац. ун-т залізн. трансп. ім. акад. В. Лазаряна. – Дніпропетровськ, 2010. – 200 с.

  6. Исследование процесса эксплуатации и ремонта электровозов с использованием инструментов BIG DATA и имитационного моделирования / А. В. Скребков, А. А. Воробьев, А. Г. Ламкин,
    Д. И. Бодриков // Бюллетень результатов научных исследований. – 2017. – № 4. – С. 190–198.

  7. Кудаяров, М. М. Выбор оптимальной организации ремонта локомотивов на полигоне железной дороги / М. М. Кудаяров // Изв. Петербург. ун-та путей сообщения. – 2012. – № 3 (32). – С. 99–103.

  8. Кудаяров, М. М. Оптимизация системы технологического процесса ремонта тягового подвижного состава / М. М. Кудаяров, И. С. Цихалевский // Современные проблемы транспортного комплекса России : межвуз. сб. науч. тр. молодых ученых, магистрантов и аспирантов. – Магнитогорск, 2012. Вып. 2. – С. 14–22.

  9. Лоза, П. А. Оценка качества выполнения системы содержания парка электроподвижного состава /
    П. А. Лоза, Т. С. Гришечкина // Електрифікація транспорту. – 2015. – № 9. – С. 87–93.

  10. Методика и алгоритм оптимального распределения локомотивов по ремонтным предприятиям /
    А. В. Горский, А. В. Скребков, Т. О. Чигамбаев, И. С. Цихалевский // Транспорт Урала. – 2008. –
    3 (18). – С. 25–27.

  11. Моделювання процесу оперативного планування роботи локомотивного парку і локомотивних бригад / І. В. Жуковицький, В. В. Скалозуб, О. В. Вєтрова, О. Л. Зіненко // Вісн. Дніпропетр. нац. ун-ту залізн. трансп. ім. акад. В. Лазаряна. – Дніпропетровськ, 2006. Вип. 12. – С. 74–78.

  12. Моделювання зміни коефіцієнту технічного використання маневрового тепловозу для різних систем утримання / А. П. Фалендиш, А. Л. Сумцов, О. В. Артеменко, О. В. Клецька // Восточно-Европейский журнал передовых технологий. – 2016. – № 1/3 (79). – С. 24–31. doi: 10.15587/1729-4061.2016.60640

  13. Очкасов, А. Б. Подходы к моделированию системы технического обслуживания локомотивов /
    O. Б. Очкасов, Т. С. Гришечкина, М. В. Очеретнюк // Актуальні проблеми автоматизації та управління : тези доп. V міжнар. наук.-практ. інтернет-конф. молодих учених і аспірантів (Луцьк, 28–30 бер. 2017 р.) / Луцьк. нац. техн. ун-т, НУ «Львівська політехніка», Київ. нац. ун-т харчових технологій, Нац. гірн.
    ун-т, Херсон. нац. техн. ун-т, Люблінська політехніка. – Луцьк, 2017. – № 5. – С. 99–104.

  14. Сумцов, А. Л. Удосконалення методів та моделей визначення системи технічної експлуатації модернізованих маневрових тепловозів : дис. … канд. тех. наук : 05.22.07 / Сумцов Андрій Леонідович ; Укр. держ. ун-т залізн. трансп. – Харків, 2017. 165 с.

  15. Шантаренко, С. Г. Моделирование процессов технического обслуживания локомотивов /
    С. Г.
    Шантаренко // Изв. Томск. политехн. ун-та. Инжиниринг георесурсов. – 2005. – Т. 308, № 5. –
    С. 169–171.

  16. Bodnar, B. Improving Operation and Maintenance of Locomotives of Ukrainian Railways / B. Bodnar,
    A. Ochkasov, D. Bobyr // Technologijos ir Menas = Technology and Art. 2016. № 7. P. 109114.

  17. Bodnar, B. System Choice of the Technical Maintenance of Locomotives Equipped with on-Board Diagnostic Systems / B. Bodnar, O. Ochkasov // Transport Means : Proc. of 21st Intern. Sci. Conf. (Sept. 20–22, 2017) / Kaunas University of Technology, Klaipėda University. – Juodkrante, Kaunas, Lithuania. – 2017. – Pt. I. – P. 43–47.

  18. Development of an Integrated Model for the Evaluation and Planning of Railroad Track Maintenance / Alexander H. Lovett, C. Tyler Dick, Conrad Ruppert, M. Rapik Saat, Christopher Barkan // Proc. of the 2013 Joint Rail Conf. (Apr. 1518, 2013, Knoxville, Tennessee, USA). – Knoxville, 2013.
    doi:
    10.1115/jrc2013-2407

  19. Ochkasov, O. Usage of Intelligent Technologies in Choosing the Strategy of Technical Maintenance of Locomotives / O. Ochkasov, O. Shvets, L. Černiauskaitė // Technologijos ir Menas = Technology and Art. – 2017. – № 8. – P. 68–71.

  20. Wu, J. Study on Adjustment Evaluation of Locomotive Affair Productivity Layout / Jun Wu, Hua Fei Jia // Applied Mechanics and Materials. – 2013. – Vol. 401403. – P. 2120–2126.
    doi: 10.4028/www.scientific.net/amm.401-403.2120

Б. Є. БОДНАР1, О. Б. ОЧКАСОВ2*, Є. Б. БОДНАР3, Т. С. ГРИШЕЧКИНА4,
М.
В. ОЧЕРЕТНЮК5

1Каф. «Локомотиви», Дніпропетровський національний університет залізничного транспорту імені академіка
В. Лазаряна, вул. Лазаряна, 2, Дніпро, Україна, 49010, тел. +38 (056) 733 19 01, ел. пошта bodnarz@nz.diit.edu.ua,
ORCID 0000-0002-3591-4772
2*Каф. «Локомотиви», Дніпропетровський національний університет залізничного транспорту імені академіка
В. Лазаряна, вул. Лазаряна, 2, Дніпро, Україна, 49010, тел. +38 (056) 733 19 61, ел. пошта abochkasov@gmail.com,
ORCID 0000-0002-7719-7214
3Каф. «Локомотиви», Дніпропетровський національний університет залізничного транспорту імені академіка
В. Лазаряна, вул. Лазаряна, 2, Дніпро, Україна, 49010, тел. +38 (056) 733 19 61, ел. пошта Melnar78@gmail.com,
ORCID
0000-0001-6040-913X
4Каф. «Вища математика», Дніпропетровський національний університет залізничного транспорту імені академіка
В. Лазаряна, вул. Лазаряна, 2, Дніпро, 49010, Україна, тел. +38 (0562) 36 26 04, ел. пошта grishechkina.tatiana@gmail.com,
ORCID 0000-0003-1570-4150
5Каф. «Локомотиви», Дніпропетровський національний університет залізничного транспорту імені академіка
В. Лазаряна, вул. Лазаряна, 2, Дніпро, Україна, 49010, тел. +38 (056) 733 19 61, ел. пошта ocheretniukmaksym@gmail.com,
ORCID 0000-0002-9032-8602

МОДЕЛЮВАННЯ ОРГАНІЗАЦІЇ РЕМОНТУ

ЛОКОМОТИВІВ МЕТОДАМИ ТЕОРІЇ

СИСТЕМ МАСОВОГО ОБСЛУГОВУВАННЯ

Мета. У науковій роботі необхідно оцінити вплив показників експлуатації та надійності локомотивів на систему організації їх ремонту в депо з використанням методів теорії масового обслуговування.
Методика. У роботі представлено опис цеху з ремонту локомотивів за допомогою термінів і понять системи масового обслуговування (СМО). Сформульовано завдання, які вирішуються при моделюванні роботи ремонтного цеху, наведено перелік вихідних даних і результатів моделювання. У якості програмного засобу моделювання використане графічне середовище імітаційного моделювання Simulink.
Результати. Встановлено, що на основні показники роботи локомотивного депо впливає обсяг перевезень, надійність локомотивів, що використовуються, правило відбору локомотивів із черги, кількість працюючих ремонтних стійл. Розроблена модель ремонтного цеху депо дозволяє раціонально планувати використання обладнання, фонду робочої сили, часу постановки локомотивів у ремонт із урахуванням рівномірності завантаження цеху, а також удосконалити логістику поставок запасних частин. Ця модель у спрощеному вигляді описує процес виконання ремонту парку магістральних тепловозів і може бути доповнена в залежності від виду виконуваних у депо ремонтів. Наукова новизна. У роботі локомотиворемонтне депо представлене як об’єкт системи масового обслуговування. Розроблено імітаційну модель локомотиворемонтного депо, яка дозволяє проводити аналіз впливу різних чинників на систему організації ремонту локомотивів у депо. Практична значимість. Отримані результати дозволяють визначити вплив показників експлуатації та надійності локомотивів на організацію роботи локомотиворемонтного депо.
У подальших дослідженнях розроблена модель може бути використана для удосконалення системи організації ремонту на мережі доріг при впровадженні нових серій локомотивів та зміні стратегії їх технічного обслуговування.

Ключові слова: цех ремонту локомотивів; моделювання; система масового обслуговування; організація роботи ремонтного цеху

Б. Е. БОДНАРЬ1, А. Б. ОЧКАСОВ2*, Е. Б. БОДНАРЬ3, Т. С. ГРИШЕЧКИНА4,
М.
В. ОЧЕРЕТНЮК5

1Каф. «Локомотивы», Днепропетровский национальный университет железнодорожного транспорта имени академика
В. Лазаряна, ул. Лазаряна, 2, Днипро, Украина, 49010, тел. +38 (056) 733 19 01, эл. почта bodnarz@nz.diit.edu.ua,
ORCID
0000-0002-3591-4772
2*Каф. «Локомотивы», Днепропетровский национальный университет железнодорожного транспорта имени академика
В. Лазаряна, ул. Лазаряна, 2, Днипро, Украина, 49010, тел. +38 (056) 733 19 61, эл. почта abochkasov@gmail.com,
ORCID 0000-0002-7719-7214
3Каф. «Локомотивы», Днепропетровский национальный университет железнодорожного транспорта имени академика
В. Лазаряна, ул. Лазаряна, 2, Днипро, Украина, 49010, тел. +38 (056) 733 19 61, эл. почта
Melnar78@gmail.com,
ORCID 0000-0001-6040-913
X
4Каф. «Высшая математика», Днепропетровский национальный университет железнодорожного транспорта имени академика
В. Лазаряна, ул. Лазаряна, 2, Днипро, Украина, 49010, тел. +38 (0562) 36 26 04, эл. почта grishechkina.tatiana@gmail.com,
ORCID 0000-0003-1570-4150
5Каф. «Локомотивы», Днепропетровский национальный университет железнодорожного транспорта имени академика
В. Лазаряна, ул. Лазаряна, 2, Днипро, Украина, 49010, тел. +38 (056) 733 19 61, эл. почта ocheretniukmaksym@gmail.com,
ORCID 0000-0002-9032-8602

МОДЕЛИРОВАНИЕ ОРГАНИЗАЦИИ РЕМОНТА

ЛОКОМОТИВОВ МЕТОДАМИ ТЕОРИИ

СИСТЕМ МАССОВОГО ОБСЛУЖИВАНИЯ

Цель. В научной работе необходимо оценить влияние показателей эксплуатации и надежности локомотивов на систему организации их ремонта в депо с использованием методов теории массового обслуживания. Методика. В работе представлено описание цеха по ремонту локомотивов с помощью терминов и понятий системы массового обслуживания (СМО). Сформулированы задачи, решаемые при моделировании работы ремонтного цеха, приведен перечень исходных данных и результатов моделирования. В качестве программного средства моделирования использована графическая среда имитационного моделирования Simulink. Результаты. Установлено, что на основные показатели работы локомотивного депо влияет объем перевозок, надежность локомотивов, используемое правило отбора локомотивов из очереди, количество работающих ремонтных стойл. Разработанная модель ремонтного цеха депо позволяет рационально планировать использование оборудования, фонда рабочей силы, времени постановки локомотивов в ремонт с учетом равномерности загрузки цеха, а также усовершенствовать логистику поставок запасных частей. Эта модель в упрощенном виде описывает процесс выполнения ремонта парка магистральных тепловозов и может быть дополнена в зависимости от вида выполняемых в депо ремонтов. Научная новизна. В работе локомотиворемонтное депо представлено как объект системы массового обслуживания. Разработана имитационная модель локомотиворемонтного депо, которая позволяет проводить анализ влияния различных факторов на систему организации ремонта локомотивов в депо. Практическая значимость. Полученные результаты позволяют определить влияние показателей эксплуатации и надежности локомотивов на организацию работы локомотиворемонтного депо.
В дальнейших исследованиях разработанная модель может быть использована для усовершенствования системы организации ремонта на сети дорог при внедрении новых серий локомотивов и изменении стратегии их технического обслуживания.

Ключевые слова: цех ремонта локомотивов; моделирование; система массового обслуживания; организация работы ремонтного цеха



REFERENCES

  1. Berestovoy, A. M., & Lyamzin, A. A. (2003). Modelirovanie sistemy tekhnicheskogo obsluzhivaniya i remonta lokomotivov. Visnyk Pryazovskoho derzhavnoho tekhnichnoho universytetu. Seriia: Tekhnichni nauky, 13, 276-280. (in Russian)

  2. Bosov, A. A., & Loza, P. A. (2015). Teoreticheskie osnovy ratsionalnogo soderzhaniya podvizhnogo sostava zheleznykh dorog: monografiya. Dnepropetrovsk: Driant. (in Russian)

  3. Hryshechkina, T. S. (2017). Mathematical Model of the Rational Maintenance System of Railway Transport Technical Objects. Transport Systems and Transportation Technologies. Collection of Scientific Works of Dnepropetrovsk National University of Railway Transport named after Academician Lazaryan, 14, 30-35. doi: 10.15802/tstt2017/123165 (in Ukrainian)

  4. Hureva, А. Н., & Chernetskaia-Beletskaia, N. B. (2015). Fundamentals of Modeling of Processes of Maintenance of Locomotives. Visnyk Skhidnoukrainskoho natsionalnoho universytetu imeni Volodymyra Dalia, 1(218), 262-265. (in Russian)

  5. Zinenko, O. L. (2010). Pidvyshchennia efektyvnosti vykorystannia lokomotyvnoho parku shliakhom vdoskonalennia upravlinnia ekspluatatsiinoiu robotoiu. (Dysertatsiia kandydata tekhnichnykh nauk). Dnipropetrovsk National University of Railway Transport named after Academician V. Lazaryan, Dnipropetrovsk. (in Ukranian)

  6. Skrebkov, A. V., Vorobiyov, A. A., Lamkyn, A. G., & Bodrikov, D. I. (2017). The Study of Running and Maintenance Process of Electric Locomotives with Big Data and Simulation Modeling Tools. Byulleten rezultatov nauchnykh issledovaniy, 4, 190-198. (in Russian)

  7. Kudayarov, M. M. (2012). Vybor optimalnoy organizatsii remonta lokomotivov na poligone zheleznoy dorogi Izvestiya Peterburgskogo universiteta putey soobshcheniya, 3(32), 99-103. (in Russian)

  8. Kudayarov, M. M. (2012). Optimizatsiya sistemy tekhnologicheskogo protsessa remonta tyagovogo podvizhnogo sostava. Sovremennye problemy transportnogo kompleksa Rossii, 2, 14-22. (in Russian)

  9. Loza, P. A., & Hryshechkyna, T. S. (2015). Estimation of the quality of implementation electric rolling stock maintenance system. Elektryfikatsiia transportu, 9, 87-93. (in Russian)

  10. Gorskiy, A. V., Skrebkov, A. V., Chigambaev, T. O., & Tsikhalevskiy, I. S. (2008). Methods and Algorithm of Optimum Sending of Locomotives to Repair Enterprises. Transport Urala, 3(18), 25-27. (in Russian)

  11. Zhukovytskyi, I. V., Skalozub, V. V., Vietrova, O. V., & Zinenko, O. L. (2006). Modeliuvannia protsesu operatyvnoho planuvannia roboty lokomotyvnoho parku i lokomotyvnykh bryhad. Visnyk Dnipropetrovskoho natsionalnoho universytetu zaliznychnoho transportu imeni akademika V. Lazariana, 12, 74-78. (in Ukrainian)

  12. Falendysh, A. P., Sumtsov, A. L., Artemenko, O. V., & Kletska, O. V. (2016). Simulation of changes in the steady state availability factor of shunting locomotives for various maintenance systems. Eastern-European Journal of Enterprise Technologies, 1/3(79), 24-21. doi: 10.15587/1729-4061.2016.6064040 (in Ukrainian)

  13. Ochkasov, O. B., Hryshechkina, T. S., & Ocheretnyuk, M. V. (2017). Approaches to the system simulation of maintenance operations for locomotives. Aktualni problemy avtomatyzatsii ta upravlinnia : tezy dopovidei V mizhnarodnoi naukovo-praktychnoi internet-konferentsii molodykh uchenykh i aspirantiv (Lutsk, 28–30 bereznia 2017 r.), 5, 99-104. (in Russian)

  14. Sumtsov, A. L. (2017). Udoskonalennia metodiv ta modelei vyznachennia systemy tekhnichnoi ekspluatatsii modernizovanykh manevrovykh teplovoziv. (Dysertatsiia kandydata tekhnichnykh nauk). Ukrainskyi derzhavnyi universytet zaliznychnoho transport, Kharkiv. (in Ukraininan)

  15. Shantarenko, S. G. (2005). Modelirovanie protsessov tekhnicheskogo obsluzhivaniya lokomotivov. Izvestiya Tomskogo politekhnicheskogo universitetata. Inzhiniring georesursov, 308(5), 169-171. (in Russian)

  16. Bodnar, B., Ochkasov, A. & Bobyr, D. (2016). Improving Operation and Maintenance of Locomotives of Ukrainian Railways. Technologijos ir Menas = Technology and Art, 7, 109-114. (in English)

  17. Bodnar, B., & Ochkasov, О. (2017). System Choice of the Technical Maintenance of Locomotives Equipped with on-Board Diagnostic Systems. Transport Means: Proceedings of 21st International Science Conference (Sept. 20–22, 2017). Juodkrante, Kaunas, Lithuania, Pt. I, 43-47. (in English)

  18. Lovett, A. H., Dick, C. T., Ruppert, C., Saat, M. R., & Barkan, C. (2013). Development of an Integrated Model for the Evaluation and Planning of Railroad Track Maintenance. 2013 Joint Rail Conference. doi: 10.1115/jrc2013-2407 (in English)

  19. Ochkasov, O., Shvets, O., & Černiauskaitė, L. (2017). Usage of Intelligent Technologies in Choosing the Strategy of Technical Maintenance of Locomotives. Technologijos ir Menas = Technology and Art, 8, 68-71. (in English)

  20. Wu, Jun, & Jia, Hua Fei (2013). Study on Adjustment Evaluation of Locomotive Affair Productivity Layout. Applied Mechanics and Materials, 401-403, 2120-2126. doi: 10.4028/www.scientific.net/amm.401-403.2120 (in English)


Received: June 20, 2018

Accepted: October 03, 2018


d oi 10.15802/stp2018/ © B. E. Bodnar, A. V. Оchkаsоv, Е. B. Bodnar, Т. S. Hryshechkina, М. V. Ocheretnyuk, 2018