ISSN 2307–3489 (Print), ІSSN 2307–6666 (Online)

Наука та прогрес транспорту. Вісник Дніпропетровського
національного університету залізничного транспорту, 2018, № 3 (75)



нетрадиційні види транспорту. машини та механізми

НЕТРАДИЦІЙНІ ВИДИ транспорту.
МАШИНИ ТА МЕханізми

УДК 621.923

Р. П. ПОГРЕБНЯК1*

1*Каф. «Прикладна механіка», Національна металургійна академія України, пр. Гагаріна, 4, Дніпро, Україна, 49005,
тел. +38 (056) 743 32 76,
+38 (095) 499 75 54, ел. пошта pogrebnyakk@ukr.net, ORCID 0000-0002-4685-1818

нестаціонарні режими роботи головного привода

карусельного верстата для обробки

суцільнокатаних залізничних коліс

Мета. У роботі передбачено визначити умови створення динамічного перевантаження приводу колесообробного верстата в різних нестаціонарних режимах експлуатації й запропонувати способи його зменшення. Методика. Поставлена задача вирішувалася шляхом створення динамічної розрахункової багатомасової ланцюгової пружної моделі з подальшим математичним моделюванням її навантаження зовнішніми силовими факторами, значення яких були отримані аналітичними й експериментальними методами. Розв’язання рівнянь руху з визначенням навантаження приводу в перехідному режимі розгону та в режимі врізання здійснювалось засобами MathCad. Результати. Розрахункова схема приводу обертального руху планшайби верстату представлена лінійною тримасовою рядною системою з двома пружними зв’язками і з трьома абсолютними ступенями вільності. Аналітичне визначення моментів сили різання враховує зміни кінематичних параметрів режиму різання під час обробки різних ділянок профілю чашковим різцем. Прийнятий найгірший випадок прикладання навантаження за одночасного врізання інструментів. Еквівалентний момент сил різання визначений як сума моментів від кожного з інструментів за умови багаторізцевої обробки. Визначені моменти пружності зв’язків у стаціонарному стані приводу верстата. Динамічні перевантаження з коефіцієнтами динамічності у зв’язках Кд12 = 1,13 і Кд23 = 1,04 в режимі врізання незначні й швидко зменшують своє значення. Абсолютні значення крутного пружного моменту у наведеному зв’язку редуктора С23 в режимі пуску несуттєві й значно менші від величин стаціонарного навантаження. За допомогою методу розрахунку й експериментальних досліджень встановлене суттєве динамічне перевантаження приводу верстата в режимі реостатного пуску електродвигуном постійного струму. Реактивний пружний момент періодичної зміни у 2,7 разів перевищує номінальний момент стаціонарного режиму обробки. Наукова новизна. Була створена пружна динамічна модель приводу колесообробного верстата. Складені і розв’язані моделі й розв’язані рівняння руху мас та визначене навантаження зв’язків. З’ясовані теоретичні умови зниження навантаження в приводі. Практична значимість. На підставі моделювання перехідного процесу пуску приводу визначені суттєві перевантаження його елементів, які в декілька разів перевищують реакцію пружних зв’язків під час різання. Для запобігання цьому рекомендовано змінити режим багатоступеневого запуску двигуна зі зниженням пускового струму мінімум у два рази до величини не більше 1 200 А.

Ключові слова: залізничне колесо; колесообробний верстат; привід верстата; коливання; динамічні навантаження; перехідні процеси

Вступ

Для масової механічної обробки різанням прокатаних залізничних коліс на технологічних лініях металургійного виробництва використовують спеціальні колесотокарні верстати карусельного типу, оснащені електрокопіювальними пристроями або пристроями числового керування (рис. 1). Це важке обладнання виробляють провідні світові компанії: «Hegenscheіdt – MDF» (Німеччина), «SIMMONS», «OKUMA» (США), «Kreven», «Dorries Scharmann» (Великобританія), «ЮЗТС» (Росія), «Rafamet» (Польща), «Morando», «Marіo Carnaghі» (Італія), «Sculfort» (Франція), «TOSHULІn» (Чехія), «BOST» (Іспанія).

Первинна чорнова обробка зі значними глибинами різання та суттєво нестаціонарним припуском викликає перевантаження вузлів верстата і зношування й руйнування деталей головного приводу й приводів подач. Такі динамічні перевантаження в приводах подач та особливості контурної обробки фасонних деталей призводять до похибок формоутворення профілю колеса й повторного переточування [11].

Небажані коливальні процеси в пружній системі приводу головного руху (обертання заготовки) стають причиною не тільки руйнування його деталей, але й практично завжди знижують стійкість різального інструмента. Зафіксовані систематичні руйнування підшипників і посадкових місць валів приводу, послаблення затяжок болтових кріплень фланцевих з’єднань, а в разі утворення понаднормативних зазорів у конічній передачі з круговим зубом рух планшайби стає ривкоподібним. Структурний аналіз приводу з пошуком і усуненням шкідливих надлишкових зв’язків виконаний у роботі [3], на його основі розроблені практичні рекомендації.

Рис. 1. Загальний вигляд колесообробного
верстата моделі 1Б502С

Fig. 1. General view of the wheel-processing

machine model 1Б502С


Динаміка приводу металорізальних верстатів із урахуванням пружності зв’язків висвітлювалася в роботах Рівіна Е. І., Gegg B. C., Пуша В. Э., Кожевнікова С. М., Кедрова С. С., Brecher C., Орликова М. Л., Петракова Ю. В., Струтинського В. Б. та ін. Монографії, підручники і статті з цієї тематики завжди містять передумову аналізу руху складання наведеної розрахункової ланцюгової схеми приводу. Цей етап підготовки аналізу найбільш відповідальний і потребує скрупульозності й точності, бо похибки на цьому етапі стають вирішальними на етапі аналізу результатів рішення рівнянь руху і, відповідно, розробки рекомендацій. Особливо втрата точності у визначенні власних частот приводу робить подальші розрахунки марними. Визначення пружно-масових характеристик машинними засобами за допомогою 3D-моделювання також потребує критичного контролю виконавця.

Методики розрахунків змушених і вільних коливань приводів верстатів [4, 5, 7, 8, 13–20] мають загальний характер, їх розробляли для універсальних верстатів із широким діапазоном забезпечення режимів обробки й без обліку специфіки навантаження, властивої спеціальним верстатам. Питанням моделювання рівнянь динаміки технологічних машин, у тому числі металорізальних верстатів, у режимі нестаціонарного навантаження і проблемам демпфування коливань присвячені роботи [6, 9, 14].

Перевантаження у головному приводі обертального руху заготовки (рис. 2, а) викликають руйнування зубчастих коліс, валів і підшипників, призводять до утворення та збільшення зазорів, які суттєво загострюють динамічну реакцію приводу на зовнішнє збурювання. У перехідних режимах розгону та гальмування в системі головного приводу зростає амплітуда пружних деформацій зв’язків і збільшується
в них величина реактивних моментів.

У наведеній схемі моменти інерції мас І у кг·м2 складають: І= 2,04, І= 1,387, І3 = 1,781, І4 = І= 0,006, І= 0,0013, І= І= 0,002, І= І10 = І11 = 0,001, І12 = 0,026, І13 = 0,004.

Коефіцієнти жорсткості зв’язків С у Н·м: С1 = 1,174·106, С2 = 58·103, С3 = 34,9·104, С4 = 6,711·106, С5 = 73,6·104, С= 5,865·106, С7 = 21,3·104, С= 1,757·106, С= 56·103,С10 = 69,2·104, С11 = 32·103, С12 = 78,3·104.

Рис. 2. Розрахункова схема приводу
колесообробних верстатів:
а – кінематична; б – наведена до валу двигуна;
в – спрощена наведена

Fig. 2. Design scheme of the drive unit of the wheel-processing machine:
a – kinematic; b – reduced to the motor shaft;
c – simplified is presented

Момент інерції ротора двигуна та ведучого шківа пасової передачі ІІ = 34,24, момент інерції редуктора та веденого шківа пасової передачіІІІ = 18,12, момент інерції планшайби із заготовкою ІІІІ =0,32; жорсткість пасової передачі С12 = 58·103, жорсткість редуктора С23 = 20·103.

Мета

За основну мету статті ставиться визначення умов створення динамічного перевантаження приводу в різних режимах експлуатації і пошук способів його зменшення.

Методика

Розв’язання поставленої задачі здійснюється за допомогою аналізу рівнянь руху методами інженерної динаміки машин та імітаційного моделювання навантаження приводу. Моделювання навантаження приводу в перехідному режимі розгону та в режимі врізання здійснювалось за допомогою засобів MathCad.

Результати

Для визначення поведінки пружної системи приводу верстата складена розрахункова схема (рис. 2). Розрахунковим методом були отримані значення моментів інерції обертових мас, крутильних жорсткостей елементів приводу, наведеної до крутильної жорсткості пасової та зубчастих передач, контактної жорсткості шпонкових та шліцьових з’єднань і згинальної жорсткості валів та опор. На етапі складання розрахункової схеми система розглядалася як лінійна, хоча контактна жорсткість взаємодії деталей приводу здебільшого нелінійна і збільшується зі зростанням статичного навантаження. Прийнято, що зосереджені моменти інерції мас не мають властивостей пружності, а вали невагомі. За цих умов складена повна ланцюгова 13-масова розрахункова схема приводу з дванадцятьма ступенями вільності у кутових координатах (рис. 2, б).

Експериментальні дослідження верстата визначили граничну величину частоти сил збурення (ωд 125 р/с), що викликана неврівноваженістю обертових мас і відповідає частоті обертання двигуна. Ця частота наявна у всіх режимах експлуатації верстату. Високочастотні процеси втрати стійкості під час різання чашковим різцем за значної довжини контакту різця з деталлю, які теж були зафіксовані експериментально, впливають лише на стійкість інструмента і шорсткість обробленої поверхні. Необхідна шорсткість обробленої поверхні за вимогами ДСТУ ГОСТ 10761:2016 [2] не перевищує Rz80, а вид обробки відносять до чорнової. Тому в спектрі з дванадцяти власних частот системи практичний інтерес представляє поведінка приводу на перших двох. На більш високих частотах, де амплітуди коливань незначні, динамічне навантаження приводу несуттєве. За методикою [14] схема була спрощена до тримасової з двома ступенями вільності [10] (рис. 2, в).

Наведення пружних і масових елементів здійснювалося до вала привідного двигуна без урахування демпфування та жорсткості електромагнітного зв’язку в двигуні. Частотний аналіз цієї схеми виконаний у роботі [10], в якій за кількісними значеннями параметрів схеми визначені власні частоти вільних коливань β1 69,53 р/с і β2 252,32 р/с, парціальні частоти n1 69,96 р/с і n2 252,20 р/с, коефіцієнт інерційного зв’язку γ = 0,107, коефіцієнт зв’язаності парціальних систем σ = 0,064, значення узагальненого параметра [1] склало 0,066.

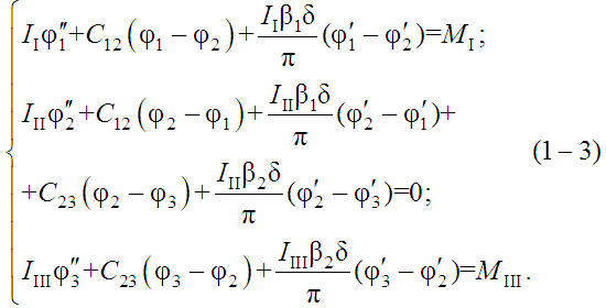
Рух тримасової коливальної системи виразимо в абсолютних координатах за допомогою системи лінійних диференційних рівнянь:



Тут: δ
– логарифмічний декремент коливань; МІ, МІІІ – момент двигуна та зовнішній момент сил різання на планшайбі відповідно.

Математичний опис технологічних навантажень здійснений за результатами заводських експериментів та аналітичних узагальнень, які отримані в результаті зіставлення декількох схем формоутворення поверхонь колеса. На рис. 4 представлена схема чотирирізцевої обробки залізничного колеса, яка використовується в Україні. Супортом 1 підрізується торець і обточується зовнішня поверхня маточини із зовнішньої сторони колеса. По обробленому торцю колесо додатково притискається. Подальша обробка ведеться супортами 2, 3, 4 одночасно: бічним супортом 2 обточується поверхня кочення, бічним супортом 3 – торець обода з внутрішньої сторони колеса й гребінь, лівим супортом 4 підрізується торець і внутрішня поверхня обода з зовнішньої сторони колеса.

Рис. 3. Схема обробки колеса на верстатах
моделей 1Б502, 1Б502С, 1В502

Fig. 3. Scheme of wheel processing on machine tools
models 1
Б502, 1Б502С, 1В502

Параметри, що визначають величину основної складової сили різання, не є сталими. За весь цикл обробки всіх поверхонь колеса суттєво змінюється середня глибина, швидкість різання, подача на криволінійних ділянках обробки і відстань від різця до осі обертання колеса на планшайбі. Найбільший вплив на зміну сили різання має зміна глибини різання, яка викликана змінністю припуску на обробку. Колесо може бути встановлене з ексцентриситетом на планшайбі (t1 = 0...1,5 мм), а також має огранювання третього роду (t2 = 1,3...1,6 мм) після обробки тиском на колесопрокатному стані [12]. Тому глибина різання на окремих ділянках обробки профілю змінюється за залежністю:

(4)

де t0 – середня глибина різання ділянки профілю; t2 – амплітуда хвилеутворювання (огранювання); τ – поточний час, с; φ – фазовий зсув між ексцентриситетом і хвилеутворюванням.

Момент сил різання визначимо як суму моментів від кожного з інструментів під час багаторізцевої обробки:


, (5)

де R – поточні відстані від осі обертання колеса до інструмента кожного супорта; момент двигуна у номінальному режимі роботи МІ = Мn М0sin(ωд·τ), Мn – номінальний момент двигуна, М0 – середній момент від неврівноваженості обертових мас. Зміна моменту на частоті обертання двигуна не викликає резонансних підсилювань, тому що частота впливу знаходиться у міжрезонансній зоні відносно власних частот системи (β1 69,53 р/с, β2 252,32 р/с) і у післярезонансній зоні відносно частот зміни моментів різання(ω1 = 3,14 р/с, ω2 = 9,42 р/с). Зрозуміло, що дія незрівноваженого моменту сил інерції обертових мас може бути виключена балансуванням.

Моменти пружності зв’язків у стаціонарному стані приводу [6], коли відсутні додаткові гармонічні складові навантаження на власних частотах, визначимо за залежностями:

(6)

У динамічно активних системах моменти сил пружності стаціонарного й нестаціонарного стану відрізняються один від одного. Чим більша ця різниця, тим більш динамічно недосконалою є машина.

Динамічні навантаження приводу під час врізання інструментів. Під час врізання інструмента в деталь сили різання змінюються дуже швидко, тому динамічні ефекти можуть бути значними, при цьому крутна деформація приводу не настає миттєво.

Під час врізання кожного з різців момент сил різання прийнятий лінійно зростаючим до номінальної величини за час врізання, далі момент змінюється відповідно до зміни основних параметрів сили різання (в основному зміни глибин). На рис. 4, а представлені графіки окремих моментів різання та сумарного моменту. Момент М2 змінюється бігармонійно, відповідно до зміни припуску за залежністю (4), моменти М1, М3, й М4 змінюються з частотою обертання заготовки. Прийнятий найгірший випадок прикладання навантаження за одночасного врізання інструментів.

Пружна реакція системи в момент дії обмеженого лінійно зростаючого навантаження тим більша, чим менше відношення часу τ0 врізання інструмента до періоду власних коливань системи T. Найбільше значення (два) коефіцієнт динамічності набуває за τ0/T = 0 і змінюється від 2 до 1 в діапазоні 0 ≤ τ0/T < 1, подальші локальні максимуми настають за τ0/T кратного 1,5. Подачі супортів знаходяться в діапазоні
24…36 мм/хв, період власних коливань першої форми
Т1 = 0,09 с, тому для моделювання прийняте відношення τ0/T1 = 1,5, тобто τ0 = 0,135 с. Логарифмічний декремент коливань прийнятий δ = 0,1 [8, 13, 14].

Пружний момент у зв’язку С12 (рис. 4, б) змінюється з першою власною частотою з максимальною амплітудою першого півперіоду М12max = 1 159 Н·м, значення моменту стаціонарного стану М12с = 1023 Н·м, коефіцієнт динамічності становить Кд12 = М12max/М12с = 1,13.


Рис. 4. Результати моделювання динамічного
навантаження приводу верстата за одночасного врізання різців 2, 3 і 4 (за рис. 3):
а – зовнішнє навантаження; б – пружна реакція у зв’язках С12 і С23; в – відносна віброшвидкість зміни пружного моменту в зв’язках С12 і С23

Fig. 4. Simulation results of dynamic
load of the machine drive unit with
simultaneous tie-in of tools 2, 3 and 4 (according to Fig. 3):
a – external load; b – the elastic reaction in connections C12 and C23; c – relative vibration velocity of the change in the elastic moment in connections C12 and C23

Пружний момент у зв’язку С23 (рис. 4, в) змінюється з другою власною частотою і максимальною амплітудою першого півперіоду М23max = 1 110 Н·м, момент стаціонарного стану складає М23с = 1063 Н·м і не відрізняється від моменту навантаження МІІІ, а коефіцієнт динамічності становить Кд23 = М23max/М23с = 1,04. Динамічні перевантаження у зв’язку незначні й швидко зменшують своє значення.

Динамічні навантаження приводу під час пуску двигуном постійного струму. Як відомо, навантаження верстатів у перехідних режимах можуть перевищувати навантаження в стаціонарному режимі роботи. У визначенні навантаження приводу в перехідному процесі пуску електродвигуном постійного струму з паралельним збудженням була прийнята зміна пускового моменту, пропорційна силі струму пуску за експериментальними даними (рис. 4).

Рис. 5. Фрагмент осцилограми перехідного
процесу двоступеневого реостатного пуску
приводу верстата двигуном постійного струму
(
n – кутова швидкість обертання планшайби,
I – сила струму двигуна, номінальна сила
струму складає 511 А, номінальний момент
двигуна – 955 Нм)

Fig. 5. An oscillogram segment of the transient
process of a two-stage resistor start
for the machine drive unit with a DC motor
(
n – angular velocity of the faceplate rotation,
I – motor current, rated current is 511 A,
the nominal motor moment is 955 Nm)

Для моделювання навантаження в цьому режимі в рівняннях (1–3) момент сил різання МІІІ = 0, а момент двигуна МІ представлений лінеаризованою функцією згідно з вище наведеною осцилограмою зміни струму. Реакція пружної системи приводу на таке збурення представлена на рис. 5.


Рис. 6. Результати моделювання навантаження
приводу під час перехідного процесу
пуску верстата:
а – зовнішнє навантаження й пружна реакціях
у зв’язках
С12 і С23; б – відносна віброшвидкість зміни пружного моменту в зв’язках С12 і С23

Fig. 6. Simulation results of the drive unit load during the transition process of the machine start:
a – external load and the elastic reaction in the connections C12 and C23; b – relative vibration velocity of the change in the elastic moment in connections C12 і C23

Як видно, за час пуску в обох підсистемах двічі збуджуються вільні коливання значної амплітуди тільки на першій власній частоті з періодом Т1. Максимальні амплітуди пружного моменту у зв’язку С12 на першому етапі перехідного процесу (рис. 6, а) більш ніж у два рази (М12max = 2093 Н·м) перевищують величину номінального моменту двигуна і більш ніж у 2,5 рази (М12max = 2589 Н·м) – на другому. Абсолютні значення крутного пружного моменту у зв’язку С23 несуттєві й значно менші від величин стаціонарного навантаження.

Такі суттєві перевантаження стають причиною руйнування деталей приводу, а багатоциклічні змінні механічні напруження призводять до їх втомного руйнування. Критичне накопичення втомних напружень настає доволі швидко, оскільки кількість оброблених коліс за зміну сягає 40. Перехідних режимів пуску ще більше за рахунок використання режиму «поштовх» після базування та закріплення колеса на планшайбі. Якщо первинне базування колеса здійснене зі значним биттям заготовки, то її розкріплюють і базують повторно, при цьому планшайба повертається на частину обороту короткочасним імпульсом, який викликає подібний до вищенаведеного перехідний процес. Реакція може бути ще більшою, якщо запуск приводу здійснюється за відкритих зазорів у зубчастих передачах та стиках. Тоді початок навантаження здійснюється за ненульових початкових умовах, що викликає додаткове зростання пружних моментів.

Очевидно, що таке перевантаження приводу великим пусковим моментом недопустиме. Існує реальна практична можливість зниження пускових моментів за рахунок застосування багатоступеневого реостатного пуску, де максимальна величина струму не перевищувала б 1 200 А. Це збільшить час розгону приводу вдвічі, але зробить його більш плавним і зменшить перевантаження.

Наукова новизна та практична
значимість

У ході дослідження була створена пружна динамічна модель приводу колесообробного верстата. Складені і розв’язані рівняння руху мас та визначене навантаження зв’язків.

За допомогою моделювання перехідного процесу пуску приводу визначені суттєві перевантаження його елементів, які в декілька разів перевищують реакцію пружних зв’язків під час різання. Тому запуск двигуна повинен бути багатоступеневим, можливо, із додатковим передпусковим періодом, зі зниженням пускового струму мінімум у два рази до величини не більше 1 200 А.

Висновки

Під час точіння різних ділянок прокатаного залізничного колеса за багаторізцевої обробки змінюються величина й характер моментів сил різання.

На підставі моделювання визначені якісні й кількісні значення динамічного навантаження приводу верстата у перехідних режимах запуску та врізання інструментів.

За допомогою розрахункового методу та експериментальних досліджень встановлене суттєве динамічне перевантаження приводу верстата в режимі реостатного пуску електродвигуном постійного струму. Реактивний пружний момент періодичної зміни у 2,7 разів перевищує номінальний момент стаціонарного режиму обробки.

Для запобігання цьому запропонований спосіб зниження перевантаження приводу під час пуску.



СПИСОК ВИКОРИСТАНИХ ДЖЕРЕЛ

  1. Адамия, Р. Ш. Основы рационального проектирования металлургических машин / Р. Ш. Адамия, В. М. Лобода. – Москва : Металлургия, 1984. – 128 с.

  2. ДСТУ ГОСТ 10761:2016. Колеса суцільнокатані. Технічні умови. – На заміну ГОСТ 10761-2004 та ГОСТ 9036-88. – Чинний від 2016–09–01. – Київ : Держспоживстандарт України, 2016. – 15 с.

  3. Зданевич, В. А. Структура и рациональное проектирование привода станка модели 1Б502 для обработки железнодорожных колес / В. А. Зданевич, Р. П. Погребняк // Металлургическая и горнорудная промышленность. – 1995. – № 2. – С. 64–67.

  4. Зданевич, С. В. Системная динамика приводов шестивалковых трубоправильных машин / С. В. Зданевич, В. А. Ермократьев, С. С. Зданевич // Металлургическая и горнорудная промышленность. – 2015. – № 7. – С. 137–142.

  5. Кедров, С. С. Колебания металлорежущих станков / С. С. Кедров. – Москва : Машиностроение, 1978. – 199 с.

  6. Кожевников, С. Н. Динамика нестационарных процессов в машинах / С. Н. Кожевников. – Киев : Наук. думка, 1986. – 288 с.

  7. Левин, А. И. Математическое моделирование в исследованиях и проектировании станков / А. И. Левин. – Москва : Машиностроение, 1978. – 184 с.

  8. Орликов, М. Л. Динамика станков / М. Л. Орликов. – Киев : Вища школа, 1989.272 с.

  9. Петраков, Ю. В. Моделирование гашения колебаний при токарной обработке / Ю. В. Петраков // Вісн. нац. техн. ун-ту України «Київ. політехн. ін-т». Серія: Машинобудування : зб. наук. пр. Київ, 2016. – № 2. – С. 119–124. doi: 10.20535/2305-9001.2016.77.78960

  10. Погребняк, Р. П. Динамічні властивості пружної системи приводу важкого карусельного верстата для обробки залізничних коліс / Р. П. Погребняк // Проблеми обчислювальної механіки і міцності конструкцій : зб. наук. пр. – Дніпро, 2017. – Вип. 27. – С. 129–136.

  11. Погребняк, Р. П. Пружна нелінійна динаміка руху супорта карусельного верстата для обробки суцільнокатаних залізничних коліс / Р. П. Погребняк // Наука та прогрес транспорту. – 2017. – № 4 (70). –
    С. 98–105.
    doi: 10.15802/stp2017/109606

  12. Погребняк, Р. П. Экспериментальное исследование формы прокатанной заготовки железнодорожного колеса / Р. П. Погребняк // Производство проката. – 2012. – № 2. – С. 29–33.

  13. Пуш, В. Э. Конструирование металлорежущих станков / В. Э. Пуш. – Москва : Машиностроение, 1977. 390 с.

  14. Ривин, Е. И. Динамика привода станков / Е. И. Ривин. – Москва : Машиностроение, 1966. 204 с.

  15. Струтинський, В. Б. Вібраційні процеси механічної обробки : монографія / В. Б. Струтинський, І. В. Перфілов. – Київ : Хімджест, 2015. – 579 c.

  16. Струтинський, В. Б. Математичне моделювання процесів та систем механіки / В. Б. Струтинський. – Житомир : ЖІТІ, 2001. – 612 с.

  17. Dynamics prediction of spindle system using joint models of spindle tool holder and bearings / Chao Xu, Jianfu Zhang, Dingwen Yu, Zhijun Wu, Pingfa Feng // Proc. of the Institution of Mechanical Engineers. Part C: Journal of Mechanical Engineering Science. 2015.Vol. 229. – Іss. 17. – P. 30843095. doi10.1177/0954406215569588

  18. Gegg, B. C. Machine Tool Vibrations and Cutting Dynamics / Brandon C. Gegg, C. Steve Suh, Albert C. J. Luo. – New York : Springer, 2011. 179 p. doi: 10.1007/978-1-4419-9801-9

  19. Hybrid analytic-experimental modeling for machine tool structural dynamics / Bosheng Ye, Weiwei Xiao, Kuanmin Mao, Bin Li // The International Journal of Advanced Manufacturing Technology. 2017. – Vol. 90. – Іss. 5-8. – P. 1679–1691. doi: 10.1007/s00170-016-9507-2

  20. Multipoint Constraints for Modeling of Machine Tool Dynamics / С. Brecher, М. Fey, С. Tenbrock, М. Daniels // Journal of Manufacturing Science and Engineering. – 2015. – Vol. 138. – Іss. 5. – P. 117–124.
    doi: 10.1115/1.4031771

Р. П. ПОГРЕБНЯК1*

1*Каф. «Прикладная механика», Национальная металлургическая академия Украины, пр. Гагарина, 4, Днипро, Украина, 49005, тел. +38 (056) 743 32 76, +38 (095) 499 75 54,
эл. почта pogrebnyakk@ukr.net, ORCID 0000-0002-4685-1818

нестационарные режимы работы ГЛАВНОГО ПРИВОДА

КАРУСЕЛЬНОГО СТАНКА ДЛЯ ОБРАБОТКИ

ЦЕЛЬНОКАТАНЫХ ЖЕЛЕЗНОДОРОЖНЫХ КОЛЕС

Цель. В работе предусматрено определить условия образования динамичной перегруженности привода колесообрабатывающего станка в разных нестационарных режимах эксплуатации и предложить способы ее уменьшения. Методика. Задача решалась путем создания динамической расчетной многомассовой цепной модели с последующим моделированием ее нагружения внешними силовыми факторами, значения которых были получены аналитическим и экспериментальным методами. Решение уравнений движения с определением нагрузки привода в переходном режиме разгона и в режиме врезки осуществлялось средствами MathCad. Результаты. Расчетная схема привода вращательного движения планшайбы станка представлена линейной трехмассовой рядной системой с двумя упругими связями и с тремя абсолютными степенями свободы. Аналитическое определение моментов силы резания учитывает изменения кинематических параметров режима резания при обработке различных участков чашечным резцом профиля. Принят худший случай приложения нагрузки при одновременной врезке инструментов. Эквивалентный момент сил резания определен как сумма моментов от каждого из инструментов при многорезцовой обработке. Определены моменты упругости связей в стационарном состоянии привода станка. Динамические нагружения с коэффициентами динамичности в связях Кд12 = 1,13 и Кд23 = 1,04 в режиме врезки незначительные и быстро уменьшают свое значение. Абсолютные значения крутящего упругого момента в связи С23 в режиме пуска несущественные и значительно меньше величин стационарной нагрузки. С помощью метода расчета и экспериментальных исследований установлена существенная динамическая перегрузка привода станка в режиме реостатного пуска электродвигателем постоянного тока. Реактивный упругий момент периодического изменения в 2,7 раза превышает номинальный момент стационарного режима обработки. Научная новизна. Была создана упругая динамическая модель привода станка для обработки железнодорожных колес. Соответственно модели составлены и решены уравнения движения масс и нагружения связей. Определены теоретические условия снижения нагруженности привода. Практическая значимость. На основании моделирования переходного процесса пуска привода определены значительные перегрузки его элементов, которые в несколько раз превышают реакцию упругих связей при резании. Для предотвращения этого рекомендовано изменить режим многоступенчатого пуска двигателя с уменьшением пускового тока минимум в два раза до величины не более 1 200 А.

Ключевые слова: железнодорожное колесо; колесообрабатывающий станок; привод станка; динамические нагрузки; колебания; переходные процессы

R. P. POGREBNYAK1*

1*Dep. «Applied Mechanics», National Metallurgical Academy of Ukraine, Gagarin Av., 4, Dnipro, Ukraine, 49005,
tel. +38 (056) 743 32 76, tel.
+38 (095) 499 75 54, e-mail pogrebnyakk@ukr.net, ORCID 0000-0002-4685-1818

unsteady OPERATING MODES OF THE MAIN DRIVE UNIT

OF A
MACHINE-TOOLS FOR SOLID RAILWAY WHEELS PROCESSING

Purpose. The paper deals with determining the conditions of the dynamic overload formation for a drive unit in the wheel-processing machine in various unsteady operating modes and suggests ways to reduce it.
Methodology. The problem was solved by creating a dynamic computational multi-mass chain model followed by modeling of its loading by external force options, the values of which were obtained by analytical and experimental methods. The solution to equations of motion with determining the load of the drive unit in the transient acceleration mode and in the tie-in one was carried out by means of MathCad. Findings. The design scheme for the drive unit of the rotational movement of the machine faceplate is represented by a linear three-mass row system with two elastic connections and with three absolute degrees of freedom. The analytical determination of the cutting force moments takes into account changes in the kinematic parameters of the cutting regime when machining the different sections of the profile with cup-tip tool. The worst case of load application is accepted with simultaneous insertion of tools. The equivalent torque of the cutting forces is defined as the sum of the moments from each of the tools at multi-cut machining. The moments of elasticity of bonds in the steady state of the machine drive unit are determined. Dynamic loads with coefficients of dynamism in the bonds Kd12 = 1.13 and Kd23 = 1.04 are insignificant in the tie-in mode and rapidly decrease their value. Absolute values of the twisting elastic moment in the C23 bond in the start-up mode are insignificant and much less than the values of the steady load. Using the method of calculation and experimental research, a significant dynamic overload of the machine drive unit in the mode of rheostat start-up by a direct-current motor was established. The reactive elastic moment with the periodic change is 2.7 times higher than the nominal moment of steady processing regime. Originality. Authors created the elastic dynamic model of the machine drive unit for the processing of railway wheels. In accordance with the model, the equations of mass motion and bond loading are compiled and solved. The theoretical conditions for reducing the drive unit loading are determined. Practical value. Based on the simulation of the transient drive start-up process, significant overloads of its elements have been determined. They are several times higher than the response of elastic bonds during cutting. To prevent this, it is recommended to change the mode of multistage starting of the engine with a decrease of the starting current by at least two times up to a value of not more than 1 200 A.

Keywords: railway wheel; wheel-processing machine; machine drive unit; dynamic loads, vibrations; transitional processes

REFERENCES

  1. Adamiya, R. S., & Loboda, V. M. (1984). Osnovy ratsionalnogo proektirovaniya metallurgicheskikh mashin. Moscow: Metallurgiya. (in Russian)

  2. Kolesa sutsilnokatani. Tekhnichni umovy, DSTU GOST 10761:2016 (2016). (in Ukranian)

  3. Zdanevich, V. A., & Pogrebnyak, R. P. (1995). Struktura i ratsionalnoe proektirovanie privoda stanka modeli 1B502 dlya obrabotki zheleznodorozhnykh koles. Metallurgicheskaya i gornorudnaya promyshlennost, 2, 64-67. (in Russian)

  4. Zdanevich, S. V., Yermokratev, V. A., & Zdanevich, S. S. (2015). Sistemnaya dinamika privodov shestivalkovykh trubopravilnykh mashin. Metallurgical and Mining Industry, 7, 137-142. (in Russian)

  5. Kedrov, S. S. (1978). Kolebaniya metallorezhushchikh stankov. Moscow: Mashinostroenie. (in Russian)

  6. Kozhevnikov, S. N. (1986). Dinamika nestatsionarnykh protsessov v mashinakh. Kiev: Naukova dumka. (in Russian)

  7. Levin, A. I. (1978). Matematicheskoe modelirovanie v issledovaniyakh i proektirovanii stankov. Moscow: Mashinostroenie. (in Russian)

  8. Orlikov, M. L. (1989). Dinamika stankov. Kiev: Vishcha shkola. (in Russian)

  9. Petrakov, Y. (2016). Simulation of chatter suppression for lathe machining. Journal of Mechanical Engineering of the National Technical University of Ukraine «Kyiv Polytechnic Institute», 2(77), 119-124.
    doi
    : 10.20535/2305-9001.2016.77.78960 (in Russian)

  10. Pogrebnyak, R. P. (2017). Frequency analysis of elastic system of main drive of machine for railway wheels turning. Problems of computational mechanics and strength of structures, 27, 129-136. (in Ukranian)

  11. Pogrebnyak, R. P. (2017). Elastic nonlinear dynamics of motion of slide of vertical turning machine for working of solid-rolled railway wheels. Science and Transport Progress, 4(70), 98-105.
    doi 10.15802/stp2017/109606 (in Ukranian)

  12. Pogrebnyak, R. P. (2012). Eksperimentalnoe issledovanie formy prokatannoy zagotovki zheleznodorozhnogo kolesa. Proizvodstvo prokata, 2, 29-33. (in Russian)

  13. Push, V. E. (1977). Konstruirovanie metallorezhushchikh stankov. Moscow: Mashinostroenie. (in Russian)

  14. Rivin, Y. I. (1966). Dinamika privoda stankov. Moscow: Mashinostroenie. (in Russian)

  15. Strutynskyi, V. B., & Perfilov, I. V. (2015). Vibratsiini protsesy mekhanichnoi obrobky: Monohrafiia. Kyiv: Khimdzhest. (in Ukranian)

  16. Strutynskyi, V. B. (2001). Matematychne modeliuvannia protsesiv ta system mekhaniky. Zhytomyr: ZhITI. (in Ukranian)

  17. Chao, X., Jianfu, Z., Dingwen, Y., Zhijun, W. & Pingfa, F. (2015). Dynamics prediction of spindle system using joint models of spindle tool holder and bearings. Journal of Mechanical Engineering Science, 229(17), 3084-3095. doi: 10.1177/0954406215569588 (in English)

  18. Gegg, B. C., Suh, C. S., & Luo, A. C. J. (2011). Machine Tool Vibrations and Cutting Dynamics.
    doi: 10.1007/978-1-4419-9801-9 (in English)

  19. Bosheng, Y., Weiwei, X., Kuanmin, M., & Bin, L. (2017). Hybrid analytic-experimental modeling for machine tool structural dynamics. The International Journal of Advanced Manufacturing Technology, 90(5-8), 1679-1691. doi: 10.1007/s00170-016-9507-2 (in English)

  20. Brecher, C., Fey, M., Tenbrock, C., & Daniels, M. (2015). Multipoint Constraints for Modeling of Machine Tool Dynamics. Journal of Manufacturing Science and Engineering, 138(5), 117-124. doi: 10.1115/1.4031771 (in English)


Стаття рекомендована до друку д.т.н., проф. С. В. Ракшею ( Україна)


Надійшла до редколегії: 12.02.2018

Прийнята до друку: 28.05.2018

doi: 10.15802/stp2018/132960 © Р. П. Погребняк, 2018