ISSN 2307–3489 (Print), ІSSN 2307–6666 (Online)

Наука та прогрес транспорту. Вісник Дніпропетровського
національного університету залізничного транспорту, 201
8, № 2 (74)



ЕКОНОМІКА ТА УПРАВЛІННЯ

UDC 656.2:338.47

O. A. Toporkova1, L. A. SHYLO2*

1Dep. «Accounting and Taxation», Dnipropetrovsk National University
of Railway Transport named after Academician V. La-zaryan, Lazaryan St., 2,
Dnipro, Ukraine, 49010, tel. +38 (056)
373 15 69,
e-mail toporkova1975@gmail.com,
ORCID 0000-0003-0956-3638

2*Dep. «Accounting and Taxation», Dnipropetrovsk National University
of Railway Transport named after Academician V. Lazaryan, Lazaryan St., 2,
Dnipro, Ukraine, 49010, tel. +38 (056)
373 15 69,
e-mail 1954shilo@gmail.com,
ORCID 0000-0003-3235-1377

ANALYTICAL SUPPORT OF FINANCIAL

ANALYSIS AT THE RAILWAY TRANSPORT

Purpose. The work is dedicated to systematization of basic directions for financial analysis taking into account the specific features of railway industry. Methodology. In the course of the research there were used the methods of analysis and synthesis to study the content and basic provisions of scientific publications on the chosen topic. Findings. The railway industry has a specific system of financial relations. Knowing the objective development laws of the industry technological system, you can create an appropriate mechanism for managing it and its resources. The selection of the necessary method of analysis and system of indicators, which will provide a comprehensive study and representation of the enterprise activity, is fundamental for the adoption of management decisions. Financial analysis is an important element of analytical work for the needs of modern management. With the help of financial analysis it is possible to determine the place of the enterprise among other subjects of the industry; to assess the structure of capital and the dynamics of enterprise development. Consequently, the quality of the decisions taken completely depends on the analytical substantiation. Financial analysis is carried out according to certain groups of economic indicators, which give an overall assessment of the financial condition of the enterprise, the profitability of its activities and long-term solvency. The analysis of the financial and economic condition is an important part of effective management of the formation, placement and use of rail transport resources. The features of conducting and interpreting the analysis results of the financial condition at the structural units of PJSC «Ukrzaliznytsia» regional branches, branch affiliates, production units (if they have a balance sheet), – are explained by the specifics of their economic activities. Originality. The obtained results allow us to consider financial reporting as an informational and analytical provision of financial analysis taking into account the specifics of the corporate railway industry relations. The method of financial analysis should be consistent with the strategic objectives of the business entity, which are determined by the system of strategic management and investment and financial planning of the railway industry. Practical value. The assessment of the financial condition of an enterprise can be objectively carried out using a system of indicators that take into account the technological specificity of the rail transport, comprehensively characterizing the results of its activities and reflect the competence of management through the quality of the decisions taken.

Keywords: financial reporting; analysis; analytical support; financial condition

Introduction

The transportation industry is leading for any country, because it provides interaction of all other industries. In the context of the corporatization of rail transport, there is a clear need for financial analysis of the company's activities in areas targeting the market segments. It should be considered as an integral part of the overall financial planning system, which will help to optimize the financial performance of the business entities by increasing their financial stability and liquidity, as well as ensure efficient management of cash flows, capital and investments, which is especially important in the current operating realities of the railway industry.

The railroad market requires, on the one hand, reduction of the operating costs, and on the other hand, improvement of the quality of transportation and increase in traffic. The consolidation of production (transition to a vertically integrated structure) and the associated concentration of capital can contribute to an effective solution to these problems.

Worldwide practice shows that large integrated companies are the most influential in most sectors of the economy of developed countries. The incentive to approve such a structure is the market itself, in which the subjects of management operate. But large integrated companies require system ma-nagement and financial planning, an important
element of which is financial analysis.

Purpose

The purpose of the work is to study, compare and generalize information and analytical support for the needs of financial analysis in the conditions of corporatization of the railway industry.

Methodology

To achieve this purpose, we use methods of comparison, scientific research, synthesis and analysis in the work. We explored the approaches to financial planning in railway transport. It has been found that in the economic literature there is a positive experience and the need for applying financial analysis according to the financial reporting taking into account the specific features of the industry.

Findings

Rail transport is a leader within the boundaries of internal communication, and often also in international traffic when transporting products and raw materials of most industrial branches. It is this transport that provides transportation of mass industrial and agricultural cargoes (coal, metal pro-ducts, grain, etc.) for long distances regardless of the season and weather conditions.

58% of cargo turnover and 43% of passenger traffic in Ukraine are provided by rail. Currently, it has key importance for maintaining the export potential of the state. The rail transport is also important for development of transit capacities in Ukraine, since three out of ten European transport corridors go through the territory of our country [5].

Modern railway industry is a complex system of interconnections of technological (industrial) and organizational (administrative) structures of the transportation process. Organizational structures are a reflection of the structures of technolo-gical systems and are intended to ensure their functioning and development.

A key direction for reforming the railway industry is the transition to a vertically integrated structure, which involves:

Transition from the regional organizational structure, namely – vertical integration of the company's activities in the areas targeted for market segments;

Principles of budgeting and economically justified mutual settlements between verticals;

New system of tariff formation: separation between the infrastructure and the traction component of the tariff;

New effective system of corporate gover-nance: a clear division of functions between structural units and verticals with the definition of financial and economic objectives for each vertical and control over their implementation [5].

The management process of any entity is cyclic, which is reflected in the sequential repetition of certain administrative actions in relation to the object of management while changing the conditions under which the object operates and changing certain tasks relating to this object.

The main stages of each single control cycle are as follows:

Identification of conditions and circumstances that determine the need for the management of the managing subject for the operation of the ma-naged object;

Formation of a problem in the activity of the managed object in connection with certain conditions and circumstances that need to be resolved;

Preparation and approval of the management decision;

Organization of the practical implementation of the decision;

Analytical assessment of the current and final results of the decision.

Understanding of the general financial condition of PJSC «Ukrzaliznytsia» (hereinafter PJSC «UZ») (Corporate Centre), of separate regional and branch affiliates (vertical) and timely and qualitative analysis of their financial situation are the basis for the adoption of management decisions.

The selection of the necessary method of ana-lysis and system of indicators, which will provide comprehensive study and representation of the enterprise activity, is fundamental for making managerial decisions aimed at solving the question of choosing the directions of activity and development of the enterprise, improving its efficiency, competitiveness and profitability [8, p. 99].

The railway industry has a specific system of financial relations connected with the fact that the transportation of goods and passengers throughout the network of railways of Ukraine is carried out in accordance with a single technological process on the basis of common network tariffs, although each regional branch (railroad) and each company in a vertically integrated structure of PJSC «UZ» has an individual cost, justified by objective factors and features of the railway.

Knowing the objective development laws of the industry technological system, you can create an appropriate mechanism for managing it and its resources.

The modern mechanism of railway transport management is considered as a set of strategic, tactical and operational levels of management.

Thus, the tasks of the Corporate Centre are as follows [5]:

Ensuring the implementation of strategic plans and achieving strategic goals and performance targets of PJSC «UZ»;

Improving the quality of planning and ensuring the transition from short-term planning to long-term planning by goals;

Formalization of business processes of PJSC «UZ» and preparation of the plan for their transformation in order to improve the management system and significantly reduce the administrative apparatus;

Balancing the decision-making process to determine the level of responsibility of each structural unit of the Corporate Centre and business verticals.

At the strategic level there is coordination of all resources and internal links, all goals, tasks and areas of responsibility with the chosen strategy. At this level, the necessary organizational changes are taking place and the directions of activity of each separate structural subdivision are developed. In accordance with the selected organizational management structure, the financial structures are formed. Also, the organizational support for ma-nagement is formed, which is the basis for constructing the accounting policy and logistics strategy management of economic entities.

At the tactical level, the selected strategies are detailed to business plans, financial plans and budgets. Financial analysis, based on accounting data, and technical-economic analysis are among the key elements when deciding on the effectiveness of tactical programs in terms of achieving an entity's strategic goals.

Achieving strategic goals means meeting the needs of customers, shareholders and other business entities. Therefore, at the operational level of management, the focus is on creating value for customers, shareholders and other stakeholders through the efficient use of available resources.

The formation of three main levels of ma-nagement: operational, strategic, tactical is associated with the creation of the necessary and sufficient information support system. Virtually every level of management creates its own integrated information system with clearly defined streams of information, the necessity and adequacy of which need to be determined.

At the operational management level, cost centres that serve as sources of information generation and initial processing are set up; this is essentially the level of information and analytical provision of the management process, therefore it requires operational control of the primary data input accuracy. At the level of tactical management decisions, it is expedient to form investment centres; information provision of this level is formed on the basis of consolidated accounting, internal reporting of structural units and business segments. The level of strategic management involves the emergence of profit centres and is characterized by the intensity of vertical and horizontal accounting flows.

Financial analysis is an important element of analytical work for the needs of modern management. Financial analysis, as a control element, allows you to evaluate:

property status of the business entity;

capital adequacy for current activities and long-term investments;

need for additional funding sources;

rationality of attraction of borrowed funds;

efficiency of the use of assets and capital;

state of the settlement discipline;

financial results of activity;

probability of bankruptcy.

The analysis of the financial and economic si-tuation is an important part of effective management of the formation, placement and use of rail transport resources. The financial condition is determined by the size, composition and structure of assets, equity and liabilities, certain ratios of which are determined by the financial stability, liquidity and solvency of economic entities.

But the railway industry is quite specific in terms of building financial relations. Therefore, the use of standard methods of financial analysis is conditional and does not reflect the real financial state of research objects. The peculiarities of conducting and interpreting the results of the analysis of the financial state of Ukrzaliznytsia PJSC's structural subdivisions (regional branches, branch affiliates, production units (if they have a balance sheet) are explained by the specifics of their economic activities.

In the economic literature, for the formation of the financial support mechanism, they use the diagnostics, which involves determining the composition and structure of the sources for financing the production activities, with an assessment of the degree of compliance of the sources structure with the specifics of the industry.

Karacharova K.A. considers the diagnosis of financial activity, namely – the diagnosis of financial security as the starting point for the formation of the financial strategy of railway transport enterprises. Karacharova K.A. offers three basic criteria for assessing the state of financial resources for the implementation of such a diagnosis [3, p. 37]:

Compliance of the capital structure with the assets of the enterprise (here there are used such indicators as equity to total assets ratio, assets immobilization ratio, short-term debt ratio);

Structure of current financinglevel of financial provision of current economic activity (here there are used such indicators as own working capital, own working capital coverage ratio, own inventories and expenses coverage ratio, days payable and receivable outstanding);

Structure of internal reserves and financial results of the enterprise (profit or its absence, pro-fitability, average interest rate on bank loans, income and property growth rate, etc.).

Based on these criteria, an integral estimation is formed that characterizes the quality of financial support and is the basis for the adoption of an appropriate management decision.

Such an approach, in our opinion, is appropriate to use at the level of PJSC «UZ», since the financial plan is made by Ukrzaliznytsia and only the indicators of the company as a whole comply with the proposed method. But at the level of regional affiliates, branch affiliates and structural units, it often becomes necessary to carry out financial analysis according to reporting indicators. Taking into account the huge amounts under the economic calculations, which, when drawing up consolidated accounts at the level of regional branches and PJSC «UZ» are withdrawn, we propose, when calculating the ratios, where the total amount of receivables or payables is used, to deduct the amount of this indebtedness.

According to Bogomolova N. I.: financial problems of the functioning of the industry are manifested in the inconsistency of the volume of financing regulatory requirements of the processes of reproduction of basic productive assets due to the reduction of the role of depreciation mechanism (only 7.5­10% of fixed assets are replaced because of depreciation) and a low level of investment activity [1].

If an entity has the opportunity to attract financial resources from different sources, this allows it to relatively freely manoeuvre with the structure of these resources, choosing effective combinations. However, the volume and structure of financial resources are influenced by such factors as the organizational and legal form of the entity, ownership, branch affiliation, internal financial policy, etc. The structure of financial support sources affects the balance between financial sustainability and financial risk of activities.

Despite the fact that PJSC «UZ» is a joint-stock company and 100% of the shares of the economic partners were introduced into its authorized capital, all of these shares belong to the state. A system of financial management of a state enterprise should take into account the following features:

Low profitability, in particular passenger traffic, which is connected, first of all, with satisfaction of social needs;

Significant need for state support;

Small opportunity to borrow due to low pro-fitability;

Influence of the state on tariff formation.

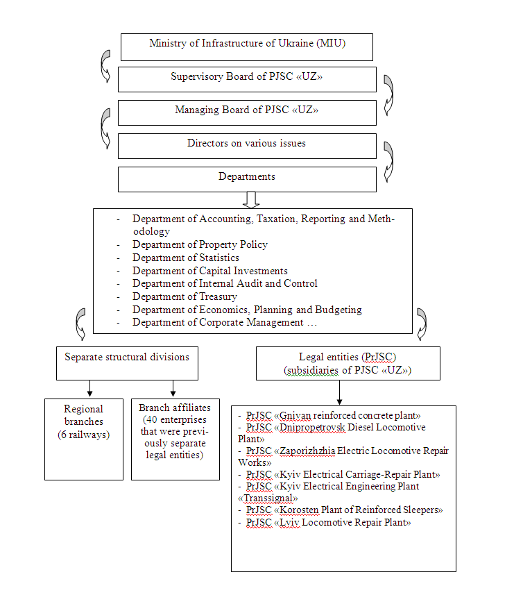
These features affect the indicators of the financial state of the railway industry operator. And the specific organizational structure of the branch requires an appropriate approach to managing financial resources and assessing the financial condition of certain divisions (affiliates) and subsidiaries of PJSC «UZ» (Fig. 1).

                 Fig. 1. Organizational structure of PJSC «Ukrzaliznytsia»



In the conditions of corporatization, the Board of PJSC «UZ» is subordinated to Directors (14 persons) and Departments (currently there are 48 units). Figure 1 shows only eight of them, which in our opinion should be involved in shaping the financial strategy of the company, as it is assumed that the general corporate services in the field of investment and finance will be:

Formation of financial plans and capital investment plan;

Maintenance of accounting and financial reporting;

Management of corporate accounts;

Financial control;

Attraction of investments for the needs of structural units.

Among the financial problems, the most important is the assessment and analysis of the financial situation, which is shaped by the influence of both external and internal factors. On the one hand, it is the result of the business entity’s activities, indicating its achievements, on the other hand, it identifies the preconditions and reserves for the development of the enterprise.

When conducting the analysis, the main attention is paid to internal factors that depend on the technological specifics of the railway industry entities, which one can influence, correct their effect and to a certain extent manage them.

In the railway industry, it is particularly important to determine the production efficiency, since it is aimed at minimizing costs and maximizing profits. The effectiveness and usefulness of assessing the efficiency of rail transport enterprise activity depends on the quality of data base formation for analysis needs. In particular, the data base for the analysis of the activity efficiency of the organizations of the branch enterprises of PJSC «Ukrzaliznytsia» is the accounting, consolidated, sectoral and statistical reporting (for the past and previous to the past periods) [9, p. 85].

Between railway enterprises (PrJSC, which are subsidiaries of PJSC «UZ»), regional affiliates and their structural subdivisions, as well as branch offices, in connection with the territorial peculiarities of the organization of transportation, there is a complex mechanism for the formation of accounting information and financial statements with regard to internal economic calculations.

Specificity of financial relations predetermines the peculiarities of financial statements (Fig. 2).



                 
                 Fig. 2.
Types of financial reporting on rail transport


PJSC «UZ» forms consolidated financial statements. The statements are prepared in accordance with international accounting standards and international financial reporting standards. In addition to the usual forms of consolidated financial statements, PJSC «UZ» in the Notes details the information by the following segments: «Freight transport» – includes freight transportation services provided by the industry; «Long-distance passenger transportation» – includes all services for inter-regional passenger transportation; «Suburban passenger transportation» – includes services for the carriage of passengers within a single region; «Subsidiary activities» includes repair and maintenance services for rolling stock and other services; «All other segments» – includes services related to freight transport, suburban transport, construction, reconstruction and modernization of railroad bed and transport infrastructure, repairs and maintenance of various types of railway equipment and other companies in the industry.

Separate railways (regional branches) provide consolidated financial statements.

Railroad enterprises (factories, organizations) and structural subdivisions that are part of each railway, are allocated to a separate balance sheet and are not legal entities make financial statements.

The methodological principles for the compilation of consolidated financial statements and disclosure in it are determined by the sectoral regulatory framework of rail transport.

According to the financial statements, an analysis of the financial condition of the research object is carried out.

The best financial condition of an entity is determined by the elements of its economic activity: profitability; the optimal distribution of profits remaining at the disposal of the entity after the payment of taxes and compulsory deductions; availability of own financial resources (fixed assets and current assets) not lower than the minimum required level for the organization of the transport process (in the conditions of rail transport); rati-onal placement of fixed and circulating assets (own and borrowed), liquidity of current assets. The signal indicator of the financial state is the solvency of an entity, that is, its ability to timely meet the payment requirements of suppliers of feedstock, materials, technology in accordance with economic agreements, to return bank loans, to pay staff, make payments to the appropriate budget [8, c . 97].

The assessment of the financial status of an enterprise can be objectively carried out using a system of indicators that comprehensively characterizes the results of its activities and reflect the competence of management through the quality of the decisions taken. The standard method of analysing the financial condition involves several aspects of assessment:

Assessment of the financial stability and independence of the enterprise, which is to determine the independence from external sources of financing;

Analysis of the liquidity of the balance sheet (assets, that is, enterprises property) and on this basis the degree of solvency of the enterprise is established;

Profitability analysis (i.e., degree of profi-tability of activities, assets, capital of the enterprise);

Analysis of business activity of the enterprise (i.e., efficiency of use of the entitys working capital);

Construction of predictive models and enterprise bankruptcy probability estimation [6, p. 111].

In practice, certain researchers suggest using the following methods for assessing the financial condition of an entity:

1. The complex assessment method analyses and groups the indicators in two directions: stable financial condition and unsatisfactory one. With this method it is possible to separate the problem areas in the enterprise and identify the causes. The method is rather laborious; on its basis it is difficult to draw conclusions about the financial condition of the enterprise, because it has all the disadvantages and the coefficient method.

2. The integral method examines an assessment of the financial condition of an enterprise based on the calculation of the integral indicator, which is formed into a generalized indicator in terms of le-vels of solvency, financial independence and asset quality.

3. The non-destructive method involves calculating the value of the operating leverage and assessing the financial condition of the enterprise with a financial stability indicator, but it does not give a complete assessment of the state of the enterprise.

4. Equilibrium method is based on the achievement of the equilibrium between liquid flows in the field of economic, investment and financial enterprise [8, p. 98].

The given methods, in our opinion, should be applied at the level of PJSC «UZ» as the main corporate centre. For regional branches, branch affiliates and structural divisions, the notion of assessing the financial condition according to the existing methods is rather conditional.

Thus, PJSC «UZ» provides branches and units with authorized capital, the management services can transfer, evaluate and revalue the fixed assets.

In addition, the production units have specific relations with the railways (now with the PJSC) regarding financial flows and financial planning.

Thus, revenues from the main activities (according to the Expenditure Nomenclature) of production units are still accrued within the established cost estimate, which determines the zero profitability of these divisions by main types of activity.

Financial results are generated only by auxiliary and other activities [6].

Some of the expenses of the main activity can be transferred to the service, distorting their size and structure; receivables and payables arise as a result of mutual settlements between services and divisions [4].

When analysing the results of the activity of the structural units of PJSC «Ukrzaliznytsia» it is ne-cessary to take into account the fact that their financial statements do not show enough information for a complete and unbiased analysis. In particular, the reporting has not enough information to assess the liquidity and solvency of structural units and their financial independence. Nevertheless, it is not possible to assess these two indicators negatively, since the structural units are part of regional branches, and regional branches, in turn, are part of PJSC «Ukrzaliznytsia». That is why for the analysis of the activities of structural units it is necessary to use those indicators, for which there is enough reporting data for analysis [2, p. 27].

It should be borne in mind that separate structural units of the railways (now – production structural units) could never carry out investment and financial activities as ordinary commercial entities, but had some autonomy in the adoption of current business decisions.

But now, at the current stage of corporatisation on the railway transport, production structural units (such as transportation directorates, permanent way divisions, locomotive service depots) have lost even this independence and have no right to enter into agreements with suppliers and contractors, which complicates the organization of material and technical supply, to hire employees, do not have accounts in banks and the right to carry out financial transactions.

In addition, in the process of corporatization and formation of PJSC «Ukrzaliznytsia», the authorized (registered) capital of these divisions was transferred to the authorized capital of PJSC «Ukrzaliznytsia». Such processes are reflected in the financial statements of the divisions and, of course, affect their financial condition. Thus, now the production units do not have the authorized capital, but such a capital turnover has no contradiction with the existing legislation.

Consequently, today's corporatization has considerably complicated the performance of the current economic activity of production units.

Any issues of logistics must be resolved by such a unit through the PJSC authorities; therefore, such a management structure is very cumbersome and ineffective.

Taking into account the foregoing, one can determine the following methodological problems of financial analysis of rail transport enterprises:

1) peculiarities of conducting the coefficient analysis and their interpretation;

2) contradictions between the results of the analysis on certain aspects of financial analysis;

3) problems of assessing the financial condition of regional branches and production structural subdivisions of PJSC «Ukrzaliznytsia» [6, p. 112-113].

Another feature of assessing the efficiency of the railway companies' operations is that at first the assessment is carried out at the level of railways (regional branches) and their production structural divisions. The effectiveness of the structural units of the railway is considered at the level of branch services of management of regional branches.

Based on the reports received from the structural units, the specialists of the relevant services of the regional branch offices compile a summary table for assessing the results of the work of subordinated structural subdivisions. The tables compare the indicators of each structural unit with the normative value of the indicator, as well as the average value of the indicator in the sectoral service.

By comparing the performance indicators of structural units with normative values and average indicators of service, the assessment of the financial condition of each structural unit and its classification into one of the groups is carried out.

The analysis of the performance indicators of the production structural units of the railways is made by the report on the branch service, observing the relevant requirements. The branch service forwards this report, together with measures for the improvement of structural units, to the financial and economic service of the regional branch to draw up measures on the railways and the head office of PJSC «UZ» for monitoring implementation of measures on improvement of the management of production and economic activity.

As a result of the analysis of the aggregate of indicators, it is possible to identify the overall performance of the enterprises of PJSC «UZ» and their production structural divisions, as well as make certain conclusions about the following:

Efficiency of use of the resources in each enterprise of PJSC «UZ», in each regional branch and their production departments;

Efficiency of all branch services;

Effectiveness of the decisions taken at all stages of management.

At the same time, in general, both in Ukraine and in railway transport, in particular, there is still no universal system of indicators that would meet international standards of economic activity and provide an opportunity to carry out a transparent analysis. Also, there is no single interpretation of the concept of «rail transport performance indicators», which would give a clear assessment of the effectiveness of work, which meets the needs and realities of the present [9, p. 87-88].

This leads to the need for constant, systematic financial analysis at the enterprise and improvement of its methods of conducting, building ma-thematical models and forming forecasts of deve-lopment prospects.

Consequently, the specifics of the railway transport process and the complex financial and organizational relations within PJSC «Ukrzaliznytsia» require the creation of their own methodology for assessing the financial condition of regional branches and their production structural divisions. And in order to carry out the more informative analysis of the indicators of financial and property condition in the context of the industry reform it is necessary to use the experience of European railways, railways of the Eurasian direction and Canada [10; 11; 12].

Originality and practical value

The originality of the work is that the results allow us to consider financial reporting as informational and analytical provision of financial analysis taking into account the specifics of the corporate railway industry relations. The method of financial analysis should be consistent with the strategic objectives of the business entity, which are determined by the system of strategic management and investment and financial planning of the railway industry.

The assessment of the financial condition of an enterprise can be objectively carried out using a system of indicators, comprehensively characterizing the results of its activities and reflect the competence of management through the quality of the decisions taken.

Conclusions

The imperfection of the methods of enterprise financial condition assessment is not the only problem of the present. To date, there are also difficulties in conducting the financial condition analysis due to instability of the economy, crisis situation, and political uncertainty. In the conditions of constant change of information, many financial and economic indicators, calculated for a certain time, can continue to lose their value for analysis due to the instability of the national currency.

The main direction of ensuring the achievement of the financial equilibrium of the railway industry in modern conditions is to reduce the amount of consumed financial resources. The list of measures to improve the financial condition is individual for each of the branches and companies and depends on the types of services provided, market conditions, regional infrastructure, ma-nagement systems, operational and administrative costs, technical and technological features and other internal and external factors.

LIST OF REFERENCE LINKS

  1. Богомолова, Н. І. Фінансова стратегія розвитку залізничного транспорту: сутність та особливості формування [Electronic resource] / Н. І. Богомолова // Ефективна економіка. – 2012. – № 1. – Available at: http://www.economy.nayka.com.ua/?op=1&z=881. Title from the screen. – Accessed : 26.02.2018.

  2. Божок, Н. О. Особливості аналізу результатів діяльності структурних підрозділів ПАТ «Українська залізниця» на прикладі локомотивного депо / Н. О. Божок, М. В. Полтавець, С. А. Кошман // Проблеми економіки транспорту : зб. наук. пр. Дніпропетр. нац. ун-ту залізн. трансп. ім. акад. В. Лазаряна. – Дніпро, 2017. – Вип. 13. – С. 19–30. doi: 10.15802/pte.v0i13.107608.

  3. Карачарова, К. А. Особливості формування фінансової стратегії підприємств залізничного транспорту [Electronic resource] / К. А. Карачарова // Вісник економіки транспорту і промисловості. – 2015. – № 51. – С. 35–39. – Available at: https://EconPapers.repec.org/RePEc:scn:031720:16374164. – Title from the screen. – Accessed : 26.02.2018.

  4. Матвієнко, В. В. Механізм державного управління розвитком залізничної галузі в Україні : дис. … канд. наук з держ. упр. : 25.00.02 / Матвієнко Володимир Васильович ; Донец. держ. ун-т управління – Маріуполь, 2017. – 256 с.

  5. Основні аспекти стратегії розвитку ПАТ «Укрзалізниця» 2017–2021 роки [Electronic resource].
    Available at
    : https://www.uz.gov.ua/files/file/Strategy_Presentation_fin1.pdf. – Title from the screen. – Accessed : 26.02.2018.

  6. Пилипенко, О. В. Методологія стратегічного та економічного аналізу діяльності виробничих підрозділів ПАТ «Укрзалізниця» (на прикладі локомотивних депо) : монографія / О. В. Пилипенко. – Київ : ДЕТУТ, 2017. – 131 с.

  7. Рекун, І. І. Основні напрями оцінки економічної стійкості ДП «Придніпровська залізниця» / І. І. Рекун // Проблеми економіки транспорту : зб. наук. пр. Дніпропетр. нац. ун-ту залізн. трансп. ім. акад. В. Лазаряна. – Дніпропетровськ, 2015. – Вип. 10. – С. 105–113.

  8. Сарапіна, О. А. Системний аналіз фінансового стану підприємства: методика та напрями вдосконалення / О. А. Сарапіна // Наук. вісн. Херсон. держ. ун-ту. Серія: Економічні науки : зб. наук. пр. – Херсон, 2013. – Вип. 1. – С. 96–99.

  9. Талавіра, Є. В. Необхідність надання оцінки ефективності роботи підприємств залізничного транспорту в сучасних умовах / Є. В. Талавіра, О. В. Семенік // Зб. наук. пр. Держ. екон.-технол. ун-ту трансп. Серія: «Економіка і управління». – Київ, 2012. – Вип. 21/22, ч. 1. – С. 84–88.

  10. Financial Analysis of Railway Construction Projects Based on Network / Fei Biao Bai, Rong Hua Hou,
    Hua Liu, Jian Mei Zhu
    // Applied Mechanics and Materials. – 2011. – Vol. 97/98. – Р. 463470.
    doi: 10.4028/www.scientific.net/AMM.97-98.463.

  11. GB rail industry financial information 2013-14 [Electronic resource]. 2015. – Р. 1–47. – Available at: http://orr.gov.uk/__data/assets/pdf_file/0005/16997/gb-rail-industry-financials-2013-14.pdf. Title from the screen. – Accessed : 26.02.2018.

  12. Kravchenko, O. Analysis of the financial risks of the Ukrainian railway transport / O. Kravchenko // Economy of Industry. – 2017. – Vol. 80. – Iss. 4. – P. 47–62. doi: 10.15407/econindustry2017.04.047.

  13. Vochozka, M. Financial Analysis of an Average Transport Company in the Czech Republic / M. Vochozka,
    Z. Rowland, J. Vrbka // Naše more
    . – 2016. – Vol. 63. – Iss. 3. – P. 227236. doi: 10.17818/NM/2016/SI28.

О. А. ТОПОРКОВА1, Л. А. ШИЛО2*

1Каф. «Облік і оподаткування», Дніпропетровський національний університет
залізничного транспорту імені академіка В. Лазаряна, вул. Лазаряна, 2, Дніпро,
Україна, 49010, тел. +38 (056) 373 15 69, ел. пошта toporkova1975@gmail.com,
ORCID 0000-0003-0956-3638
2*Каф. «Облік і оподаткування», Дніпропетровський національний університет
залізничного транспорту імені академіка В. Лазаряна, вул. Лазаряна, 2, Дніпро,
Україна, 49010, тел. +38 (056) 373 15 69, ел. пошта
1954shilo@gmail.com,
ORCID 0000-0003-3235-1377

АНАЛІТИЧНЕ ЗАБЕЗПЕЧЕННЯ ФІНАНСОВОГО

АНАЛІЗУ НА ЗАЛІЗНИЧНОМУ ТРАНСПОРТІ

Мета. Робота присвячена систематизації основних напрямів фінансового аналізу з урахуванням специфіки залізничної галузі. Методика. У процесі дослідження використані методи аналізу й синтезу для вивчення змісту й основних положень публікацій за обраною темою. Результати. Залізнична галузь має специфічну систему фінансових відносин. Знаючи об’єктивні закономірності розвитку технологічної системи галузі, можна створити відповідний механізм керування нею та її ресурсами. Вибір необхідного методу аналізу та системи показників, що забезпечить усебічне вивчення та представлення діяльності підприємства, є основоположним для прийняття управлінських рішень. Важливим елементом аналітичної роботи для потреб сучасного менеджменту є фінансовий аналіз, за допомогою якого можна визначити місце підприємства серед інших суб’єктів галузі, оцінити структуру капіталу й динаміку розвитку підприємства. Отже, якість ухвалених рішень цілком залежить від аналітичного обґрунтування. Фінансовий аналіз здійснюють за даними певних груп економічних показників, які дають загальну оцінку фінансового стану підприємства, прибутковості його діяльності й довгострокової платоспроможності. Аналіз фінансово-економічного стану є важливою складовою ефективного управління формуванням, розміщенням і використанням ресурсів залізничного транспорту. Особливості проведення та інтерпретації результатів аналізу фінансового стану структурних підрозділів ПАТ «Укрзалізниця» – регіональних, галузевих філій, виробничих підрозділів (за наявності в них балансу), – пояснюються специфікою ведення їх господарської діяльності. Наукова новизна. Отримані результати дозволяють розглядати фінансову звітність як інформаційно-аналітичне забезпечення фінансового аналізу з урахуванням специфіки корпоративних відносин залізничної галузі. Методика фінансового аналізу має бути узгоджена зі стратегічними цілями суб’єкта господарювання, які визначає система стратегічного менеджменту та інвестиційно-фінансового планування залізничної галузі.
Практична значимість. Оцінку фінансового стану підприємства можна об’єктивно здійснити за допомогою системи показників, що враховують технологічну специфіку залізничного транспорту, комплексно характеризують результати його діяльності та відображають компетентність керівництва через якість прийнятих рішень.

Ключові слова: фінансова звітність; аналіз; аналітичне забезпечення; фінансовий стан

Е. А. ТОПОРКОВА1, Л. А. ШИЛО2*

1Каф. «Учет и налогообложение», Днепропетровский национальный университет
железнодорожного транспорта имени академика В. Лазаряна, ул. Лазаряна, 2,
Днипро, Украина, 49010, тел. +38 (056) 373 15 69,
эл. почта toporkova1975@gmail.com,
ORCID 0000-0003-0956-3638
2*Каф. «Учет и налогообложение», Днепропетровский национальный университет
железнодорожного транспорта имени академика В. Лазаряна, ул. Лазаряна, 2,
Днипро, Украина, 49010, тел. +38 (056) 373 15 69,
эл. почта 1954shilo@gmail.com,
ORCID 0000-0003-3235-1377

АНАЛИТИЧЕСКОЕ ОБЕСПЕЧЕНИЕ ФИНАНСОВОГО

АНАЛИЗА НА ЖЕЛЕЗНОДОРОЖНОМ ТРАНСПОРТЕ

Цель. Работа посвящена систематизации основных направлений финансового анализа с учетом специфики железнодорожной отрасли. Методика. В процессе исследования использованы методы анализа и синтеза для изучения содержания и основных положений публикаций по избранной теме. Результаты. Железнодорожная отрасль имеет специфическую систему финансовых отношений. Зная объективные закономерности развития технологической системы отрасли, можно создать соответствующий механизм управления ею и ее ресурсами. Выбор необходимого метода анализа и системы показателей, которые обеспечат всестороннее изучение и представление деятельности предприятия, являются основополагающим для принятия управленческих решений. Важным элементом аналитической работы для нужд современного менеджмента является финансовый анализ, с помощью которого можно определить место предприятия среди других субъектов отрасли; оценить структуру капитала и динамику развития предприятия. Итак, качество принятых решений целиком зависит от аналитического обоснования. Финансовый анализ осуществляют на основании определенных групп экономических показателей, которые дают общую оценку финансового состояния предприятия, прибыльности его деятельности и долгосрочной платежеспособности. Анализ финансово-экономического состояния является важной составляющей эффективного управления формированием, размещением и использованием ресурсов железнодорожного транспорта. Особенности проведения и интерпретации результатов анализа финансового состояния структурных подразделений ПАТ «Укрзализныця» – региональных, отраслевых филиалов, производственных подразделений (при наличии у них баланса), объясняются спецификой ведения их хозяйственной деятельности. Научная новизна. Полученные результаты позволяют рассматривать финансовую отчетность как информационно-аналитическое обеспечение финансового анализа с учетом специфики корпоративных отношений железнодорожной отрасли. Методика финансового анализа должна быть согласована со стратегическими целями субъекта хозяйствования, которые определяет система стратегического менеджмента и инвестиционно-финансового планирования железнодорожной отрасли. Практическая значимость. Оценку финансового состояния предприятия можно объективно осуществить с помощью системы показателей, которые учитывают технологическую специфику железнодорожного транспорта, комплексно характеризуют результаты его деятельности и отображают компетентность руководства посредством качества принятых решений.

Ключевые слова: финансовая отчетность; анализ; аналитическое обеспечение; финансовое состояние

REFERENCES

  1. Bohomolova, N. I. (2012). Financial strategy of the railway: essence and features formation. Efektyvna ekonomika, 1. Retrived from http://www.economy.nayka.com.ua/?op=1&z=881. (In Ukranian)

  2. Bozhok, N. O., Poltavets, M. V., & Koshman, S. A. (2017). Features of activity analysis at structural divisious of PJSC ukranian railways at example of locomotive depot. Zbirnyk naukovykh prats Dnipropetrovskoho natsionalnoho universytetu im. ak. V. Lazariana «Problemy ekonomiky transportu», 13, 19-30.
    doi: 10.15802/pte.v0i13.107608. (In Ukranian)

  3. Karacharova, K. A. (2015). Osoblyvosti formuvannia finansovoi stratehii pidpryiemstv zaliznychnoho transportu. Visnyk ekonomiky transportu i promyslovosti, 51, 35-39. Retrived from https://EconPapers.repec.org/RePEc:scn:031720:16374164. (In Ukranian)

  4. Matviienko, V. V. (2017). Mekhanizm derzhavnoho upravlinnia rozvytkom zaliznychnoi haluzi v Ukraini (Dysertatsiia kandydata tekhnichnykh nauk) Donetskyi derzhavnyi universytet upravlinnia, Mariupol. (In Ukranian)

  5. Osnovni aspekty stratehii rozvytku PAT «Ukrzaliznytsia» 2017–2021 roky. Retrived from https://www.uz.gov.ua/files/file/Strategy_Presentation_fin1.pdf. (In Ukranian)

  6. Pylypenko, O. V. (2017). Metodolohiia stratehichnoho ta ekonomichnoho analizu diialnosti vyrobnychykh pidrozdiliv PAT «Ukrzaliznytsia» (na prykladi lokomotyvnykh depo): Monohrafiia. Kyiv. (In Ukranian)

  7. Rekun, I. I. (2015). Basic directions economic assessment of stability state enterprise «Dnieper railway». Zbirnyk naukovykh prats Dnipropetrovskoho natsionalnoho universytetu im. ak. V. Lazariana «Problemy ekonomiky transportu»,10, 105-113. (In Ukranian)

  8. Sarapina, O. A. (2013). Systemnyi analiz finansovoho stanu pidpryiemstva: metodyka ta napriamy vdoskona-lennia. Naukovyi visnyk Khersonskoho derzhavnoho universytetu. Seriia: Ekonomichni nauky: zbirnyk naukovykh prats, 1, 96-99. (In Ukranian)

  9. Talavira, Y. V. (2012). Neobkhidnist nadannia otsinky efektyvnosti roboty pidpryiemstv zaliznychnoho transportu v suchasnykh umovakh. Zbirnyk naukovykh prats Derzhavnoho ekonomiko-tekhnolohichnoho universytetu transportu. Seriia: «Ekonomika i upravlinnia», 21/22 (1), 84-88.(In Ukranian)

  10. Fei Biao Bai, Rong Hua Hou, Hua Liu, & Jian Mei Zhu (2011). Financial Analysis of Railway Construction Projects Based on Network. Applied Mechanics and Materials, 97/98, 463-470. doi: 10.4028/www.scientific.net/AMM.97-98.463. (In English)

  11. GB rail industry financial information 2013-14 (2015). Retrived from: http://orr.gov.uk/__data/assets/pdf_file/0005/16997/gb-rail-industry-financials-2013-14.pdf. (In English)

  12. Kravchenko, O. (2017). Analysis of the financial risks of the Ukrainian railway transport. Economy of Industry, 80(4), 47-62. doi: 10.15407/econindustry2017.04.047. (In English)

  13. Vochozka, M., Rowland, Z., & Vrbk, J. (2016). Financial Analysis of an Average Transport Company in the Czech Republic. Naše more, 63(3), 227-236. doi: 10.17818/NM/2016/SI28. (In English)


Prof. V. V. Bobyl, Doctor of Economics (Ukraine) recommended this article to be published


Received: Nov. 17, 2017

Accessed: March 14, 2018

doi: 10.15802/stp2018/130581 © O. A. Toporkova, L. A. Shylo, 2018