ISSN 2307–3489 (Print), ІSSN 2307–6666 (Online)

Наука та прогрес транспорту. Вісник Дніпропетровського
національного університету залізничного транспорту, 2018, №
2 (74)



РУХОМИЙ СКЛАД ЗАЛІЗНИЦЬ І ТЯГА ПОЇЗДІВ

РУХОМИЙ СКЛАД ЗАЛІЗНИЦЬ І ТЯГА ПОЇЗДІВ

УДК 629.463.65:621.863

О. В. ФОМІН1*, М. І. ГОРБУНОВ2, Н. С. КОЧЕШКОВА3, В. В. КОВАЛЕНКО4

1*Каф. «Вагони та вагонне господарство», Державний університет
інфраструктури і технологій, вул. Кирилівська, 9, Київ, Україна,
04071, тел. +38 (067) 813 97 88, ел. пошта fomin1985@ukr.net,
ORCID 0000-0003-2387-9946
2Каф. «Залізничний, автомобільний транспорт та підйомно-
транспортні машини», Східноукраїнський національний
університет ім. В. Даля, пр. Центральний, 59-а, Сєверодонецьк,
Україна, 93400, тел. + 38 (095) 309 10 39,
ел. пошта gorbunov0255@gmail.com,
ORCID 0000-0002-8556-3392
3Каф. «Вагони та вагонне господарство», Державний університет
інфраструктури і технологій, вул. Кирилівська, 9, Київ, Україна,
04071, тел. +38 (095) 272 36 82,
ел. пошта tasha.kocheshkova@gmail.com,
ORCID 0000-0003-1838-5167
4Каф. «Залізничний, автомобільний транспорт та підйомно-
транспортні машини», Східноукраїнський національний
університет ім. В. Даля, пр. Центральний, 59-а,
Сєверодонецьк, Україна, 93400, тел. +38 (095) 142 90 74,
ел. пошта kkaterina@ukr.net, ORCID 0000-0003-1706-2710

СТРУКТУРНО-ФУНКЦІОНАЛЬНЕ

ОПИСАННЯ КОНСТРУКЦІЇ

КРИШКИ ЛЮКА

Мета. Робота спрямована на створення структурно-функціонального аналізу існуючого виконання кришок люків напіввагонів і пошук можливих шляхів їх удосконалення та модернізації. Методика. Проведене дослідження, аналіз та узагальнення базуються на принципах морфологічного вивчення технічних систем і системного підходу та враховує результати відомих робіт із теми, власних розробок авторів, математичному обґрунтуванні та комп’ютерному моделюванні. При розрахунках складових рухомого складу використані сучасні нормативні та запропоновані методики. Результати. Системний підхід у створенні інноваційної кришки люка дозволив представити його конструкцію у вигляді ряду взаємопов’язаних і взаємодіючих підсистем та з максимальною повнотою врахувати основні фактори їх функціонування. Розроблено структурно-функціональну модель кришки люка напіввагона, яка показала, що полотно кришки люка є основним елементом, структурно-параметричні та функціональні властивості якого визначають відповідні характеристики інших вузлових та базових елементів її конструкції. Встановлено, що основні функції кришки люка розподіляються через складові елементи першого ієрархічного рівня (між вузлами): каркас є підсилюючим елементом полотна та базою для встановлення інших, окрім торсіонного, вузлів. Запропоновані теоретичні положення, методологічні основи та практичні засоби структурно-функціонального аналізу доцільно використовувати у пошуку шляхів оптимізації та для інших складових рухомого складу, а також об’єктів транспортного машинобудування. Наукова новизна. Запропоновано методологічні основи створення структурно-функціональної моделі кришки люка та результати її реалізації, які можуть бути використані при дослідженнях процесів їх функціонування, дослідженні роботи по сприйняттю та перерозподілу різних видів навантажень, таксономії, підвищення ступеня ідеальності, ідентифікації об’єктів, що розглядаються у процесах проектування, дослідження, ремонтів. Практична значимість. Базуючись на структурно-функціональному описанні, спроектовано інноваційний конструктив кришки люка, зокрема, безкаркасна модель із випуклою конструкцією полотна в сторону протидії маси вантажу, використання яких дозволить ефективно модернізувати вітчизняний парк напіввагонів.

Ключові слова: транспортна механіка; вантажні вагони; напіввагон; кришка люка; структурно-

функціональне описання


Вступ

Важливою складовою виробничої інфраструктури країни є залізничний транспорт. Витрати на транспортування залізницями складають вагому частку у собівартості більшості ресурсів т а матеріальної продукції. Притому більше ніж 70 % залізничних вантажів не потребують захисту від атмосферних опадів, тож їх перевозять у напіввагонах. Однак сучасний вітчизняний парк напіввагонів більше ніж на 90 % складається з фізично та морально застарілих зразків. Вищесказане обумовлює необхідність оновлення парку напіввагонів України моделями з поліпшеними техніко-еконо-мічними показниками [1, 9, 10, 17].

Перспективним напрямом створення зразків залізничної техніки нового покоління є розроблення їх інноваційних складових [5, 12–15, 18].

Як складову напіввагонів, що характеризується масовим попитом, можна виділити кришку люка [2, 4–6, 11]. Зазначене пояснюється важкістю умов її експлуатації – це корозійний та абразивний знос, удари під час падіння штучних вантажів, суттєве навантаження під час відкривання. На сучасному рівні розвитку науки й техніки для створення інноваційної конструкції кришки люка необхідно розробити і застосувати адаптивні методи проектування на основі системного підходу [3, 7, 18] з використанням сучасних напрацювань у галузі матеріалознавства [16, 17].

Особливістю сучасних методів проведення науково-дослідних та конструкторських робіт із удосконалення кришки люка є окремий розгляд її вузлів і деталей. Традиційний же підхід не дозволяє врахувати особливості взаємодії складових кришки люка між собою і дотичними елементами та, відповідно, зробити точний аналіз функціонування цих складових.

Мета

Метою роботи є проведення структурно-функціонального аналізу застосовуваного виконання кришок люків напіввагонів для пошуку можливих шляхів їх удосконалення та модернізації.

Методика

Упровадження принципів системного підходу для створення інноваційної кришки люка дозволяє подати конструкцію у вигляді ряду взаємопов’язаних і взаємодіючих підсистем, які являють собою сукупність складових, виокремлених у конструкції, а також із максимальною повнотою врахувати основні фактори їх функціонування. Серед останніх слід розрізняти характеристики матеріалу, що враховують міцність, пружність і пластичність, корозійну стійкість, зварюваність та інші технологічні вимоги, у тому числі енерговитрати, особливості технології виготовлення та ремонту тощо, експлуатаційні умови та конструктивні властивості, а також деградацію цих параметрів із часом експлуатації.

Вирішення окресленої проблеми можливе шляхом створення структурно-функціо-нального описання (СФО) кришок люків. Цей метод полягає у відображенні взаємозв’язків основних елементів (блоків) конструкції та функцій, які вони виконують [3, 7, 8]. Це дозволяє формалізувати (розширити) описання характеристик функціонування кришок розвантажувальних люків та їх відповідних підсистем під час пошуку нових технічних рішень та виконань. Однак аналіз чисельної, відповідно до профілю досліджуваного питання, науково-технічної та довідкової літератури засвідчив відсутність інформації з проведення таких робіт.

Вирішення зазначеного складного науково-технічного завдання обумовлює необхідність розв’язання ряду задач, серед яких можна виділити: створення структурного описання, визначення функцій блоків/вузлів/деталей, відповідних особливих умов та обмежень, за яких будуть виконуватись функції. Запропоновано новий підхід до формалізації структурного описання конструкції кришки люка, заснований на використанні принципів ієрархічності й декомпозиції (блочності), та створено блочно-ієрархічне описання конструкцій універсальних напіввагонів. Використання принципу ієрархічності передбачає структурування опису конструкції кришки люка за ступенем детальності з виділенням окремих ієрархічних рівнів. Застосування принципу декомпозиції забезпечує розділення описів конструкції кришки люка на кожному ієрархічному рівні на ряд відповідних блоків (конструкційних модулів) із можливостями роздільного проектування та дослідження. Вищезазначені принципи в повній мірі віддзеркалюються у блочно-ієрархічній моделі кришки люка, яку найчастіше подають у вигляді відповідної схеми, що є основою формалізованого описання її конструкції. Працездатність та доцільність застосування розробленої блочно-ієрархічної схеми підтверджується проведенням оптимізаційних робіт зі зниження матеріалоємності.

Результати

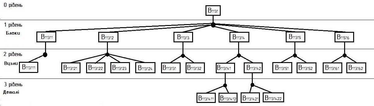
Під час розроблення структурно-функціо-нального описання кришок люків роботи виконуємо в три етапи. Перший етап включає проведення робіт зі структурно-функціонального описання кришок люків, яке передбачає виділення трьох ієрархічних рівнів. При цьому модуль кришки люка (В1131) розглядаємо як елемент нульового рівня, на першому рівні розташовані основні блоки конструкції кришки люка, вузлові елементи якої належать до другого рівня, а елементи, які умовно не підлягають подальшому розділенню, складають деталі третього рівня (рис. 1).

На 1-му рівні кришка люка розділена на основні блоки: лист кришки люка (В11311), каркас (В11312), блок кріплення кришки люка до хребтової балки (В11313), блок кріплення кришки люка до нижньої обв’язки напіввагона (В11314), блок взаємокріплення та посилення (В11315), блок кріплення торсіонного пристрою (В11316).

Рис. 1. Блочно-ієрархічна схема кришки
люка напіввагона

Fig. 1. Block-hierarchical scheme of hatch cover
of the gondola car

На 2-му рівні кожен із основних блоків розділений на вузли. Так, лист кришки люка (В11311) має лише один вузол – полотно (В113111). Каркас (В11312) поділяється на: поздовжню передню обв’язку (В113121), поздовжню середню обв’язку (В113122), поздовжню задню обв’язку (В113123) та поперечні бічні обв’язки (В113124). Блок кріплення кришки люка до хребтової балки (В11313) має такі вузли: петлі (В113131) та заклепки (В113132). Блок кріплення кришки люка до нижньої обв’язки напіввагона (В11314) поділяється на правий кронштейн (В113141) та лівий кронштейн (В113142). Блок взаємокріплення та посилення (В11315) містить посилювальну накладку (В113151) та з’єднувально-посилювальну косинку (В113152). Блок кріплення торсіонного пристрою (В11316) складається із задньої (В113161) та передньої планки (В113162).

На 3-му рівні «Деталі» правий кронштейн (В113141) поділяється на кутик (В1131411) та скобу (В1131412) правого виконання, а лівий кронштейн (В113142) – на кутик (В1131421) та скобу (В1131422) лівого виконання.

На другому етапі визначаємо функції кожної з виділених підсистем. Для цього доцільно використовувати наступне описання:

, (1)

де D – дія, яку виконує кришка люка (або її підсистемна складова), що приводить до бажаного результату; G – об’єкт, на який направлена дія D; H – особливі умови й обмеження, за яких виконується дія D.

Для розроблення структурно-функціо-нального описання доцільно застосовувати принципи блочності та ієрархічності, відповідно до них першочергово визначають головні функції кришки люка, що є блоком верхнього (нульового) рівня ієрархічної структури. Після визначення головних функцій кришки люка визначаємо головні корисні й допоміжні супутні функції блоків (перший ієрархічний рівень), які забезпечують виконання головних функцій кришки люка. У подальшому кожний елемент першого ієрархічного рівня розглядаємо як самостійну технічну систему, що дозволяє виділити конструкційні елементи другого рівня та їх головні корисні й допоміжні супутні функції, які забезпечують функціонування елементів першого рівня. Аналогічно проводимо поділ на функціональні елементи складові другого та третього ієрархічних рівнів. Обмеження розглядаємо відповідно до ієрархії рівнів, тобто обмеження для загальної конструкції висувають вимоги до складових модулів, які, у свою чергу, обумовлюють обмеження складових. Узагальнено в якості основних обмежень можна виділити такі: масові вимоги, геометричні/просторові/формові обмеження, обмеження з енерговитрат, технологічного характеру, уніфікації в ремонті та виготовленні, поверхневої обробки та інші.

На третьому, завершальному, етапі будуємо блочно-ієрархічну модель кришки люка функціональної взаємодії між складовими.

Блоки/вузли/деталі кришки люка зазвичай виконують декілька функцій (k>1). У таких випадках функції позначені для першого, другого та третього рівня відповідно через: F11x…Fk1x; F11xn…Fk1xn; F11xnl…Fk1xnl і F11xnlm…Fk1xnlm, де k змінюється залежно від кількості функцій складового елемента.

З точки зору розгляду конструкції кришки люка як складової блока загальної конструкції напіввагона її функціональне призначення
можна охарактеризувати наступним чином.

Кришки люків у загальній сукупності (зазвичай 14 одиниць) утворюють у закритому положенні підлогу вагона. Їх монтують на рамі вагона за допомогою петель, у закритому положенні вони фіксуються на нижній обв’язці стін боковими закидками та секторами, а у відкритому положенні спираються на упори проміжних балок. Для полегшення закривання кришки люка після вивантаження на вагоні встановлений торсіонний механізм. У закритому положенні верхня поверхня кришки люка контактує, окрім відповідних елементів хребтової балки та нижньої обв’язки, із сусідніми проміжними балками, утворюючи герметичний настил підлоги.

З урахуванням загального призначення та конструкційних властивостей можна виділити в якості основних функцій кришки люка наступні:

утворення підлоги вагона з достатнім рівнем герметичності;

сприйняття без залишкових деформацій експлуатаційних навантажень, до яких можна віднести навантаження насипним, навалочним або штучним вантажем; сприйняття статичних і динамічних навантажень від дії зусиль, які виникають у ході експлуатації; навантаження під час вивантаження (дія вантажу на кришку люка, удари в момент відкривання об упори);

достатній рівень ремонтопридатності, простота конструкції (простота у виготовленні, ремонті, встановленні на вагон, закриванні та відкриванні).

Беручи до уваги все вищезазначене, під час побудови структурно-функціонального описання кришки люка було виділено І-дерево конструкції кришки люка та наступні дотичні до неї складові напіввагона:

вузол кріплення кришки люка до хребтової балки (державки кришки люка) – В112162;

засоби закривання кришки люка та її фіксації – В11115;

вузол допомоги під час закривання – В1132, скоба під ломик – В11214;

вантаж – G2;

бокові дотичні поверхні в закритому положенні (верхні частини проміжних балок рами) – В112(2-4)2;

передні дотичні поверхні в закритому положенні (нижня обв’язка – кутик 150) – В11212;

задні дотичні поверхні в закритому положенні (балки, двотавр № 19) – В11261;

вузол упирання кришки люка на раму під час розвантаження (упори проміжних балок) – В112(2-4)4.

Зазначена конструкція кришки люка була обрана як найбільш поширена на сьогодні у конструктивно-технологічному виконанні (заклепкове кріплення петель, полотно з гофрованого листа і т. д.).

Проведений аналіз (рис. 2) показав, що кришка люка взаємодіє (впливає та зазнає зворотнього впливу) із такими складовими: вузол кріплення кришки люка до хребтової балки (В112162); засоби закривання кришки люка та її фіксації (В11115); вузол допомоги під час закривання (В1132), скоба під ломик (В11214); вантаж (G2); бокові дотичні поверхні в закритому положенні (В112(2-4)2); передні дотичні поверхні в закритому положенні (В11212); задні дотичні поверхні в закритому положенні (В11261); вузол упирання кришки люка на раму під час розвантаження (В112(2-4)4).

До того ж основні функції кришки люка розподіляються через складові елементи першого ієрархічного рівня (між вузлами): каркас є підсилювальним елементом полотна та базою для встановлення інших, окрім торсіонного, вузлів. Його основні функції знаходяться на внутрішньорівневому (1-й рівень) полі та додатково він наділений функцією упирання кришки люка на упори під час відкривання.



Рис. 2. Структурно-функціональна модель кришки люка напіввагона

Fig. 2. Structural-functional model of the hatch
cover of the gondola car

Визначені взаємодіючі функції полотна та їх кількість характеризують каркас як основний елемент кришки люка, структурно-пара-метричні та функціональні властивості якого визначають відносні характеристики (форма, принцип дії, матеріал тощо) інших вузлових та базових елементів конструкції. Також на користь сказаного свідчить інтенсивність взаємозв’язків полотна В113111 як елемента 2-го рівня.

З метою скорочення схематичних зв’язків та врахування ідентичних взаємодій із зовнішніми (окрім кришки люка) елементами схеми з блоком В11311 полотно на 2-му рівні має тільки внутрішньорівневі зв’язки.

Розроблена структурно-функціональна модель дозволяє використовувати для створення сучасних кришок люків відомі методи проектування і конструювання. Окрім того, запропоноване описання доцільно використовувати як основу для отримання нових технічних рішень, спрямованих на розробку кришок люків нового покоління.

У табл. 1 наведені функції F базових елементів кришки люка з урахуванням особливих умов Н.

Таблиця 1

Аналіз функцій кришки люка напіввагона

Table 1

Function analysis of the hatch cover
of the gondola car

з/п

Кришка люка чи блок/вузол/деталь її конструкції: об’єкт, на який спрямована дія елемента

Функції кришки люка/блока/вузла/деталі з урахуванням особливих умов і обмежень Н

1

В1131 – кришка люка:
В
112162 – вузол кріплення кришки люка до хребтової балки;

В11115 – засоби закривання
кришки люка та її фіксації;

В1132 – вузол допомоги під час закривання;

кріплення та взаємодія після сприйняття експлуатаційних навантажень через В112162 до загального силового
каркаса напіввагона;
– надійна фіксація та запобігання саморозкриванню кришки люка з В
11115 та взаємодія після сприйняття експлуатаційних навантажень;

Продовження табл. 1

Continuation of the Table 1

з/п

Кришка люка чи блок/вузол/деталь її конструкції: об’єкт, на який спрямована дія елемента

Функції кришки люка/блока/вузла/деталі з урахуванням особливих умов і обмежень Н


В11214 – скоба під ломик;

G2 – вантаж;

В112(2-4)2 – бокові дотичні поверхні в закритому положенні;

В11212 – передні дотичні поверхні в закритому положенні;

В11261 – задні дотичні поверхні в закритому положенні;

В112(2-4)4 – вузол упирання кришки люка на раму під час розвантаження

взаємодія з В1132 після підняття кришки люка на відповідну висоту без залучення
додаткових механізмів;
– взаємодія з В11214 після підтягування кришки люка до рівня фіксації;
– взаємодія з вантажем G2, що включає навантаження, які виникають під час завантаження (у тому числі великорозмірним вантажем), навантаження під час перевезень та навантаження під час вивантаження (у тому числі вантажів абразивного типу):
– виконання функції підлоги шляхом взаємодії з В
112(2-4)2, В11212, В11261 за умови забезпечення герметичності на достатньому рівні під час перевезення вантажів (у тому числі насипних);
– взаємодія з елементом В
112(2-4)4 після сприйняття навантажень
динамічного та статичного характеру, які виникають під час вивантаження.
В якості основних умов роботи кришки люка можна виділити такі:
– сприйняття експлуатаційних навантажень без залишкових деформацій;
– формування герметичної поверхні;
– корозійна стійкість;
– абразивна стійкість;
– технологічність виготовлення та ремонтів

Продовження табл. 1

Continuation of the Table 1

з/п

Кришка люка чи блок/вузол/деталь її конструкції: об’єкт, на який спрямована дія елемента

Функції кришки люка/блока/вузла/деталі з урахуванням особливих умов і обмежень Н

2

В11311 – лист кришки люка:

В1132 – вузол допомоги під час закривання;

G2 – вантаж;

В112(2-4)2 – бокові дотичні поверхні в закритому положенні;

В11212 – передні дотичні поверхні в закритому положенні;

В11261 – задні

дотичні поверхні в закритому положенні;

В11312 – каркас;

В11313 – вузол кріплення кришки люка до хребтової балки;

В11316 – вузол кріплення одного або декількох торсіонів

= ;
= ;

= ;

взаємодія з В11212 після сприйняття та перерозподілу
експлуатаційних навантажень;

взаємокріплення з В11313 та сприйняття відповідних експлуатаційних навантажень;

взаємодія з В11216 після сприйняття відповідних навантажень (у закритому та відкритому положенні, під час відкривань та закривань)

У разі виконання відповідних умов:

=

3

В11312 – каркас:

В11214 – скоба під ломик;

В112(2-4)4 – вузол упирання кришки люка на раму під час розвантаження;

В11311 – лист кришки люка;

В11313 – вузол кріплення кришки люка до хребтової балки;

= ;
= ;

= ;

взаємокріплення з В11313 та сприйняття відповідних експлуатаційних навантажень;
– розташування та взаємодія з В
11314 та сприйняття відповідних експлуатаційних навантажень;


Продовження табл. 1

Continuation of the Table 1

з/п

Кришка люка чи блок/вузол/деталь її конструкції: об’єкт, на який спрямована дія елемента

Функції кришки люка/блока/вузла/деталі з урахуванням особливих умов і обмежень Н

3

В11314 – вузол кріплення кришки люка до нижньої обв’язки;

В11315 – вузол взаємокріплення та посилення

взаємодія з В11315 після сприйняття відповідних експлуатаційних навантажень
У разі виконання відповідних умов:

= , ,

4

В11313 – вузол кріплення кришки люка до хребтової балки:

В112162 – вузол кріплення кришки люка до хребтової балки;

В11311 – лист кришки люка;

В11312 – каркас

= ;

= ;

=

У разі виконання відповідних умов:

= , ,

5

В11314 – вузол кріплення кришки люка до нижньої обв’язки:

В11115 – засоби закривання кришки люка та її фіксації;

В11312 – каркас

= ;

=

У разі виконання відповідних умов:

= , ,

6

В11315 – вузол взаємокріплення та посилення:

В11312 – каркас

=

У разі виконання відповідних умов:

= , ,

7

В11316 – вузол кріплення одного або декількох торсіонів:

В1132 – вузол допомоги при закриванні;

= ;

=

У разі виконання відповідних умов:

= , , ,

Продовження табл. 1

Continuation of the Table 1

з/п

Кришка люка чи блок/вузол/деталь її конструкції: об’єкт, на який спрямована дія елемента

Функції кришки люка/блока/вузла/деталі з урахуванням особливих умов і обмежень Н

7

В11311 – лист кришки люка

можливість накопичення та вивільнення у певних обставинах потенційної енергії

8

В113111 – полотно:

В113121 – передня обв’язка;

В113122 – середня обв’язка;

В113123 – задня обв’язка;

В113124 – бічні обв’язки;

В113132 – заклепки;

В113161 – задня планка;

В113162 – передня планка

взаємодія відповідно з В113124, В113123, В113122, В113121 після сприйняття експлуатаційних навантажень;

= ;

= ;

=

У разі виконання відповідних умов:

= ;

=

9

В113121 – передня обв’язка:

В11214 – скоба під ломик;

В113111 – полотно;

В113124 – бічні обв’язки;

В113141 – правий кронштейн;

В113142 – лівий кронштейн;

В113151 – накладка;

В113152 – косинка

= ;

=

взаємодія з В113124 після сприйняття експлуатаційних
навантажень;

взаємодія з В113141, В113142, В113151, В113152 після сприйняття відповідних експлуатаційних навантажень

10

В113122 – середня обв’язка:

В113111 – полотно;

В113124 бічні обв’язки

=

взаємодія з В113124 після сприйняття відповідних експлуатаційних навантажень

Продовження табл. 1

Continuation of the Table 1

з/п

Кришка люка чи блок/вузол/деталь її конструкції: об’єкт, на який спрямована дія елемента

Функції кришки люка/блока/вузла/деталі з урахуванням особливих умов і обмежень Н



У разі виконання відповідних умов:
= , ,

11

В113123 – задня обв’язка:

В113111 – полотно;

В113124 бічні обв’язки;

В113131 – петлі;

В113132 – заклепки

=
– взаємодія з В
113124 після сприйняття відповідних експлуатаційних навантажень;
– взаємодія з В
113131 після сприйняття відповідних експлуатаційних навантажень;
– взаємодія з В
113132 після сприйняття навантажень, що передаються від петель
У разі виконання відповідних умов:
= , ,

12

В113124 бічні обв’язки:
В
112(2-4)4 – вузол упирання кришки люка на раму під час розвантаження;
В113111 – полотно;

В113121 – передня обв’язка;
В
113122 – середня обв’язка;
В
113123 – задня обв’язка;
В
113141 – правий кронштейн;
В
113142 – лівий кронштейн;
В
113151 – накладка;
В
113152 – косинка

= ;
= ;
= ;
= ;
= ;
– взаємодія з
В113141, В113142 після сприйняття відповідних експлуатаційних навантажень у закритому
положенні

– взаємодія з В
113151, В113152 після сприйняття відповідних експлуатаційних
навантажень
У разі виконання відповідних умов:

Продовження табл. 1

Continuation of the Table 1

з/п

Кришка люка чи блок/вузол/деталь її конструкції: об’єкт, на який спрямована дія елемента

Функції кришки люка/блока/вузла/деталі з урахуванням особливих умов і обмежень Н



= , ,

13

В113131 – петлі:

В113123 – задня обв’язка;

В113132 – заклепки


=

У разі виконання відповідних умов:

= , ,

14

В113132 – заклепки:

В113111 – полотно;

В113123 – задня обв’язка;

В113131 – петлі


= ;

=

У разі виконання відповідних умов:

= , ,

15

В113141 – правий кронштейн:

В113121 – передня обв’язка;

В113124 бічні обв’язки

= ;

=

У разі виконання відповідних умов:

= , ,

16

В113142 – лівий кронштейн:

В113121 – передня обв’язка;

В113124 бічні обв’язки

= ;

=

У разі виконання відповідних умов:

= , ,

17

В113151 – накладка:

В113121 – передня обв’язка;

В113124 бічні обв’язки

= ;

=

У разі виконання відповідних умов:

= , ,

18

В113152 – косинка:

В113121 – передня обв’язка;


= ;

=


Продовження табл. 1

Continuation of the Table 1

з/п

Кришка люка чи блок/вузол/деталь її конструкції: об’єкт, на який спрямована дія елемента

Функції кришки люка/блока/вузла/деталі з урахуванням особливих умов і обмежень Н


В113124 бічні обв’язки

У разі виконання відповідних умов:

= , ,

19

В113161 – задня планка:

В113111 – полотно

=

У разі виконання відповідних умов:

= , , ,

=

20

В113162 – передня планка:

В113111 – полотно

=

У разі виконання відповідних умов:

= , , ,

=

21

В1131411 – кутик:

В11115 – засоби закривання
кришки люка та її фіксації;

В1131412 – скоба

взаємодія з В11115 після сприйняття відповідних навантажень та фіксації у закритому положенні без додаткового устаткування;

взаємодія з В1131412 для додаткового запобігання саморозкриванню кришки люка

У разі виконання відповідних умов:

= , ,

22

В1131412 – скоба:

В11115 – засоби закривання кришки люка та її фіксації;

В1131411 – кутик

= ;

=

У разі виконання відповідних умов:

= , ,

Закінчення табл. 1

End of the Table 1

з/п

Кришка люка чи блок/вузол/деталь її конструкції: об’єкт, на який спрямована дія елемента

Функції кришки люка/блока/вузла/деталі з урахуванням особливих умов і обмежень Н

23

В1131421 – кутик:

В11115 – засоби закривання
кришки люка та її фіксації;

В1131422 – скоба

= ;

=

У разі виконання відповідних умов:

= , ,

24

В1131422 – скоба:

В11115 – засоби закривання
кришки люка та її фіксації;

В1131421 – кутик

= ;

=

У разі виконання відповідних умов:

= , ,


Таким чином, подану структурно-функціональну модель кришки люка напіввагона доцільно використовувати під час застосування сучасних наукових та інженерних підходів, творчих і пошукових методів для дослідження наявних і створення перспективних зразків.

Отримана матриця суміжності конструкційних елементів (табл. 2) може бути використана під час проектування модернізованих вузлів кришок люків напіввагонів, із урахуваннях характеристик функціонування, протікання робочих та динамічних процесів тощо.

Упровадження на практиці запропонованого СФО кришки розвантажувальних люків дозволило згенерувати інноваційні конструкції, в яких порівняно з базовою конструкцією іншим чином розподілені функції між складовими. Так, було спроектовано інноваційну конструкцію кришки люка, зокрема безкаркасну модель (рис. 3) та модель із випуклою конструкцією полотна в сторону протидії масі вантажу (рис. 4).


Таблиця 2

Матриця суміжності внутрішньорівневих
функціональних зв’язків базових елементів
кришки люка напіввагона

Table 2

Matrix of adjacency of intraverbal functional bonds of hatch cover basic elements of the gondola car


В
113111

В
113121

В
113122

В
113123

В
113124

В
113131

В
113132

В
113141

В
113142

В
113151

В
113152

В
113161

В
113162

В113111

0

1

1

1

1

1

1

0

0

0

0

1

1

В113121

1

0

0

0

1

0

0

1

1

1

1

0

0

В113122

1

0

0

0

1

0

0

0

0

0

0

0

0

В113123

1

0

0

0

1

1

1

0

0

0

0

0

0

В113124

1

1

1

1

0

0

0

1

1

1

1

0

0

В113131

1

0

0

1

0

0

1

0

0

0

0

0

0

В113132

1

0

0

1

0

1

0

0

0

0

0

0

0

В113141

0

1

0

0

1

0

0

0

0

0

0

0

0

В113142

0

1

0

0

1

0

0

0

0

0

0

0

0

В113151

0

1

0

0

1

0

0

0

0

0

0

0

0

В113152

0

1

0

0

1

0

0

0

0

0

0

0

0

В113161

1

0

0

0

0

0

0

0

0

0

0

0

0

В113162

1

0

0

0

0

0

0

0

0

0

0

0

0

Наукова новизна та практична
значимість

Розроблені просторові моделі зазначених видів кришок характеризуються високими показниками міцності та стійкості до деформацій.

Результати розрахунку на міцність сучасної базової конструкції кришки люка показують, що найбільші напруження виникають у місцях кріплення кришки люка до хребтової балки та нижньої обв’язки [5, 6, 8, 11]. Водночас напруження й переміщення у безкаркасному виконанні кришки люка та у моделі з вигнутим полотном показують суттєво кращі результати
порівняно з базовою моделлю.

Висновки

Розробка структурно-функціонального описання кришки розвантажувальних люків напіввагонів дозволила:


Рис. 3. Інноваційна безкаркасна кришка люка:
а – вид зверху, б – вид знизу

Fig. 3. Innovative frameless hatch cover:
а – top view , bthe bottom view


Рис. 4. Конструкція кришки люка
з опуклим полотном:
а – вид зверху, б – вид знизу, в – вид збоку

Fig. 4. The design of the convex hatch cover:
а top view , bthe bottom view, с side view



1. Обґрунтувати наступне твердження: полотно кришки люка є основним елементом, структурно-параметричні та функціональні властивості якого визначають відповідні характеристики (форма, принцип дії, матеріал тощо) інших вузлових та базових елементів її конструкції. А каркас характеризується такою основною функцією, як силове підкріплення полотна, та є базою для розміщення вузлів кріплення кришки люка до хребтової балки, до нижньої обв’язки.

2. Встановити, що за умови включення основних функцій каркаса до полотна шляхом конструктивного вдосконалення можна створити безкаркасне виконання кришки люка. Таким чином, властивості кришки люка, окрім сприйняття без ушкоджень експлуатаційних навантажень, розширити пружно-демфуючими властивостями за рахунок використання мультиматеріального підходу.

3. Запропонувати методологічні основи створення структурно-функціональної моделі кришки люка та результати її реалізації, які можуть бути використані у дослідженнях процесів функціонування (наприклад, для відповідного застосування теорії графів), дослідженні роботи зі сприйняття та перерозподілу різних видів навантажень, таксономії, підвищення ступеня їх ідеальності, ідентифікації об’єктів, які розглядають у процесах проектування, дослідження, ремонтів.

4. Рекомендувати використовувати запропоновану методику під час здійснення проектувальних та вартісно-оцінювальних робіт і для інших видів рухомого складу залізниць, а також засобів транспортного машинобудування.

Запропоновані теоретичні положення, методологічні основи та практичні засоби оптимізації вагонів та їх складових доцільно використовувати для вирішення аналогічних задач і для інших типів рухомого складу, а також об’єктів транспортного машинобудування. Окрім цього, цей методологічний підхід можна використовувати не лише під час проектування, але й для аналізу наявних рішень.



СПИСОК ВИКОРИСТАНИХ ДЖЕРЕл

  1. Бутько, Т. В. Формалізація технології організації групових поїздів оперативного призначення /
    Т. В. Бутько, А. В. Прохорченко, А. М. Киман // Вост.-Европ. журнал передовых технологий. – 2015. –Т. 4, № 3 (76). – С. 38–43. doi: 10.15587/1729-4061.2015.47886.

  2. Кебал, И. Ю. Совершенствование конструкции крышки люка полувагона / И. Ю. Кебал, С. С. Мямлин // Вагонний парк. – 2016. – № 7/8. – С. 41–43.

  3. Кельріх, М. Б. Структурно-функціональне описання конструкції модуля кузова сучасних універсальних напіввагонів / М. Б. Кельріх, В. І. Мороз, О. В. Фомін // Вісн. Східноукр. нац. ун-ту ім. Володимира Даля. – 2014. – № 2 (210). – С. 94–103.

  4. Конструирование и расчет вагонов : учеб. для вузов ж.-д. трансп. / В. В. Лукин, Л. А. Шадур,
    В. Н. Котуранов, А. А. Хохлов, П. С. Анисимов ; под общ. ред. В. В. Лукина. – Москва : УМК МПС России, 2000. – 731 с.

  5. Мороз, В. І. Визначення перспективних напрямків удосконалення конструкції напіввагонів виробництва ДП «Укрспецвагон» / В. І. Мороз, В. В. Фомін, О. В. Фомін // Зб. наук. пр. Укр. держ. акад. залізн. трансп. – Харків, 2008. – Вип. 99. – С. 72–81.

  6. Мямлин, С. В. Крышка люка универсального полувагона / С. В. Мямлин, Д. Н. Барановский,
    И. Ю. Кебал // Бюл. науч. работ Брянск. фил. МИИТ : сб. науч. работ / Моск. гос. ун-т путей сообщения, Брянск. фил. – Брянск, 2015. – Вып. 1 (7). – С. 45–48.

  7. Половинкин, А. И. Основы инженерного творчества : учеб. пособие для студентов ВТУЗов / А. И. Половинкин. – Москва : Машиностроение, 1988. – 368 с.

  8. Фомін, О. В. Аналіз доцільності застосування шестигранних порожнистих профілів в якості складових елементів несучих систем напіввагонів / О. В. Фомін // Наука та прогрес транспорту. – 2014. – № 6 (54). – С. 146–153. doi: 10.15802/stp2014/33403.

  9. Формирование автоматизированной системы расчета пропускной способности железнодорожных сетей для продвижения грузопотоков предприятий горно-металлургического комплекса / С. В. Панченко, Т. В. Бутько, А. В. Прохорченко, Л. А. Пархоменко // Наук. вісн. НГУ. – 2016. – № 2. – С. 93–99.

  10. Determination of the dynamic characteristics of freight wagons with various bogie / S. Myamlin,
    L. P. Lingaitis, S. Dailydka, G. Vaičiūnas, M. Bogdevičius, G. Bureika // Transport. – 2015. – Vol. 30. – Iss. 1. – P. 88–92. doi: 10.3846/16484142.2015.1020565.

  11. Fomin, O. V. Improvement of upper bunding of side wall of gondola cars of 12-9745 model / O. V. Fomin // Metallurgical and Mining Industry. – 2015. – Vol. 7, No. 1. – P. 45–48.

  12. Impact of Wheelset Steering and Wheel Profile Geometry to the Vehicle Behavior when Passing Curved Track / V. Hauser, O. S. Nozhenko, K. O. Kravchenko, M. Loulová, J. Gerlici, T. Lack // Manufacturing Technology. – 2017. – Vol. 17, No. 3. – P. 306–312.

  13. Lovska, A. The study of dynamic load on a wagon-platform at a shunting collision / A. Lovska,
    A. Ryibin // Eastern-European J
    ournal of Enterprise Technologies. – 2016. – Vol. 3. – Iss. 7 (81). – P. 48. doi: 10.15587/1729-4061.2016.72054.

  14. Niezgoda, T. Simulations of motion of prototype railway wagon with rotatable loading floor carried out in MSC Adams software / T. Niezgoda, W. Krasoń, M. Stankiewicz // Journal of KONES. Powertrain and Transport. – 2015. Vol. 19. – Iss. 4. – P. 495–502. doi: 10.5604/12314005.1138622.

  15. Proposal of a Mechanism for Setting Bogie Wheelsets to Radisl Position while Riding Along Track Curve /
    V. Hauser, O. S. Nozhenko, K. O. Kravchenko, M. Loulová, J. Gerlici, T. Lack // Manufacturing Technology. – 2017. – Vol. 17, No. 2. – P. 186–192.

  16. Research into surface properties of disperses fillers based on plant raw materials / Yu. Danchenko,
    V. Andronov, A. Kariev, V. Lebedev, E. Rybka, R. Meleshchenko, D. Yavorska // Eastern-European Journal of Enterprise Technologies. – 2017. – Vol. 5. – Iss. 12 (89). – P. 20–26.
    doi: 10.15587/1729-4061.2017.111350.

  17. Research of the intermolecular interactions and structure in epoxyamine composites with dispersed oxides / Yu. Danchenko, V. Andronov, E. Barabash, T. Obigenko, E. Rybka, R. Meleshenko, A. Romin // Eastern-European Journal of Enterprise Technologies. – 2017. – Vol. 6. – Iss. 12 (90). – P. 412.
    doi:
    10.15587/1729-4061.2017.118565.

  18. Tartakovskyi, E. Improving the process of driving a locomotive through the use of decision support systems / E. Tartakovskyi, O. Gorobchenko, A. Antonovych // Eastern-European Journal of Enterprise Technologies. – 2016. – Vol. 5. – Iss. 3 (83). – P. 4–11. doi: 10.15587/1729-4061.2016.80198.

А. В. ФОМИН1*, Н. И. ГОРБУНОВ2, Н. С. КОЧЕШКОВА3, В. В. КОВАЛЕНКО4

1*Каф. «Вагоны и вагонное хозяйство», Государственный университет инфраструктуры
и технологий, ул. Кирилловская, 9, Киев, Украина, 04071, тел. +38 (067) 813 97 88,
эл. почта fomin1985@ukr.net, ORCID 0000-0003-2387-9946
2Каф. «Железнодорожный, автомобильный транспорт и подъемно-транспортные
машины», Восточноукраинский национальный университет им. В. Даля,
пр-т Центральный, 59-а, Северодонецк, Украина, 93400, тел. + 38 (095) 309 10 39,
эл. почта gorbunov0255@gmail.com, ORCID 0000-0002-8556-3392
3Каф. «Вагоны и вагонное хозяйство», Государственный университет инфраструктуры
и технологий, ул. Кирилловская, 9, Киев, Украина, 04071, тел. +38 (095) 272 36 82,
эл. почта tasha.kocheshkova@gmail.com, ORCID 0000-0003-1838-5167
4Каф. «Железнодорожный, автомобильный транспорт и подъемно-транспортные
машины», Восточноукраинский национальный университет им. В. Даля, пр-т Центральный, 59-а, Северодонецк, Украина, 93400,
тел. +38 (095) 142 90 74, эл. почта kkaterina@ukr.net, ORCID 0000-0003-1706-2710

СТРУКТУРНО-ФУНКЦІОНАЛЬНОЕ

ОПИСАНИЕ КОНСТРУКЦИИ

КРЫШКИ ЛЮКА

Цель. Работа направлена на создание структурно-функционального анализа существующего выполнения крышек люков полувагонов для поиска возможных путей их модернизации и усовершенствования. Методика. Проведенные исследования и анализ базируются на принципах морфологического изучения технических систем и системного подхода с учетом результатов ведущих исследований по теме, собственных разработок авторов, математическом обосновании и компьютерном моделировании. Расчет конструкционных элементов подвижного состава проведен с помощью современных нормативных и разработанных методик. Результаты. Системный подход при создании инновационной крышки люка позволил представить конструкцию в виде ряда взаимосвязанных и взаимодействующих подсистем, с учетом основных факторов их функционирования. Разработана структурно-функциональная модель крышки люка полувагона, которая показала, что полотно крышки люка есть основным элементом, структурно-параметрические и функциональные свойства которого определяют соответствующие характеристики других узловых и базовых элементов ее конструкции. Установлено, что основные функции крышки люка распределяются через составляющие элементы первого иерархического уровня (между узлами): каркас служит усиливающим элементом полотна и базой для установки других, кроме торсионных, узлов. Предложенные теоретические положения, методологические основы и практические методы структурно-функционального анализа целесообразно использовать при поиске путей оптимизации и других элементов подвижного состава, а также объектов транспортного машиностроения. Научная новизна. Предложены методологические основы создания структурно-функционального описания крышки люка и представлены результаты ее реализации, которые могут быть использованы в исследованиях процессов функционирования, восприятия и перераспределения разных видов нагрузок, таксономии, повышения степени их идеальности, идентификации объектов, рассматриваемых в процессах проектирования, исследования, ремонта. Практическая значимость. Структурно-функциональное описание позволило спроектировать инновационный конструктив крышки люка, в том числе бескаркасное ее выполнение, модель с выпуклой конструкцией полотна в сторону противодействия массе груза. С помощью предложенных моделей крышек разгрузочных люков возможна эффективная модернизация отечественного парка полувагонов.

Ключевые слова: транспортная механика; грузовые вагоны; полувагон; крышка люка; структурно-

функциональное описание

O. V. FOMIN 1*, M. I. GORBUNOV 2, N. S. KOCHESHKOVA 3, V. V. KOVALENKO 4

1*Dep. «Cars and Carriage Facilities», State Economy and Technology University
of Transport, I. Ogienka St., 19, Kyiv, Ukraine, 03049, tel. +38 (067) 813 97 88,
e-mail fomin1985@list.ru, ORCID 0000-0003-2387-9946
2Dep. «Railway, Road Transport and Handling Machines», East Ukrainian
Volodymyr Dahl National University, Central Av., 59-
а, Sievierodonetsk,
Ukraine, 93400, tel. + 38 (095) 309 10 39, e-mail gorbunov0255@gmail.com,
ORCID 0000-0002-8556-3392
3Dep. «Cars and Carriage Facilities», State Economy and Technology
University of Transport, Ogienka St., 19, Kyiv, Ukraine, 03049,
tel. +38 (095) 272 36 82, e-mail tasha.kocheshkova@gmail.com,
ORCID 0000-0003-1838-5167
4Dep. «Railway, Road Transport and Handling Machines», East Ukrainian
Volodymyr Dahl National University, Central Av., 59-
а,
Sievierodonetsk,
Ukraine, 93400, tel. +38 (095) 142 90 74,
e-mail kkaterina@ukr.net, ORCID 0000-0003-1706-2710

STRUCTURAL-FUNCTIONAL DESCRIPTION

OF THE HATCH COVER CONSTRUCTION

Purpose. The work aims at structural-functional description of the existing construction of hatch covers of gondola cars to find possible ways of their modernization and improvement. Methodology. The research and analysis are based on principles of morphological study of technical systems and systems approach. The research takes into account the results of the leading research on the topic, the authors' own development, mathematical justification and computer modeling. Calculation of the structural elements of the rolling stock was carried using modern normative and developed methodologies. Findings. The system approach in creating an innovative hatch cover allowed the design to be presented in the form of a series of interconnected and interacting subsystems, taking into account the main factors of their functioning. Authors developed the structural-functional model of the hatch cover of the gondola car, which showed that the hatch cover plate is the basic element, the structural-parametric and functional properties of which determine the corresponding characteristics of other nodal and base elements of its design. We established that the main functions of the hatch cover are distributed through the constituent elements of the first hierarchical level (between nodes): the frame serves as the reinforcing element of the plate and the base for installing other nodes, except the torsion ones. The proposed theoretical propositions, methodological foundations and practical methods of structural and functional analysis are expedient for using in the search for optimization ways and other elements of rolling stock, as well as objects of transport engineering. Originality. The methodological foundations for the creation of a structural and functional description of the hatch cover are proposed and the results of its implementation are presented, which can be used in studies of the processes of their functioning, perception and redistribution of different types of loads, taxonomy, increasing the degree of their ideality, identification of objects considered in design, repair. Practical value. The structural-functional description allowed projecting an innovative design of the hatch cover, including its frameless execution, a model with a convex design of the plate in the direction of counteracting the mass of the cargo. Using the proposed models of hatch covers, effective modernization of the domestic park of gondola cars is possible.

Keywords: transport mechanics; freight cars; gondola; hatch covers; structural-functional description

REFERENCES

  1. Butko, T. V., Prokhorchenko, A. V., & Kyman, A. M. (2015). Formalization of the technology of arranging tactical group trains. Eastern-European Journal of Enterprise Technologies, 4,3(76), 38-43.
    doi: https://doi.org/10.15587/1729-4061.2015.47886. (in Ukrainian)

  2. Kebal, I. Y., & Myamlin, S. S. (2016). Sovershenstvovanie konstruktsii kryshki lyuka poluvagona. Car Fleet, 7/8, 41-43. (in Russian)

  3. Kelrikh, M. B., Moroz, V. I., & Fomin, O. V. (2014). Strukturno-funktsionalne opysannia konstruktsii modulia kuzova suchasnykh universalnykh napivvahoniv. Visnik of the Volodymyr Dahl East Ukrainian National University, 2(210), 94-103. (in Ukrainian)

  4. Lukin, V. V., Shadur, L. A., Koturanov, V. N., Khokhlov, A. A., & Anisimov, P. S. (2000). Konstruirovanie i raschet vagonov: Uchebnik dlya vuzov zheleznodorozhnogo transporta. Moscow: UMK MPS Rossii. (in Russian)

  5. Moroz, V. I., Fomin, V. V., & Fomyn, O. V. (2008). Vyznachennia perspektyvnykh napriamkiv udoskonalennia konstruktsii napivvahoniv vyrobnytstva DP «Ukrspetsvahon». Collected Scientific Works of Ukrainian State University of Railway Transport, 99, 72-81. (in Ukrainian)

  6. Myamlin, S. V., Baranovskiy, D. M., Kebal, I. Y. (2015). Manhole cover of universal gondola car. Bulleten nauchnykh rabot Bryanskogo filiala MIIT, 1(7), 45-48. (in Russian)

  7. Polovinkin, A. I. (1988). Osnovy inzhenernogo tvorchestva: Uchebnoe posobie dlya studentov VTUZov. Moscow: Mashinostroenie. (in Russian)

  8. Fomin, O. V. (2014). Applicability analysis of hexahedral hollow profiles as component elements of supporting systems for gondola cars. Science and Transport Progress, 6(54), 146-153. doi: 10.15802/stp2014/33403. (in Ukrainian)

  9. Panchenko, S. V., Butko, T. V., Prokhorchenko, A. V., & Parkhomenko, L. O. (2016). Formation of an automated traffic capacity calculation system of rail networks for freight flows of mining and smelting enterprises. Scientific Bulletin of National Mining University, 2, 93-99. (in English)

  10. Myamlin, S., Lingaitis, L. P., Dailydka, S., Vaičiūnas, G., Bogdevičius, M., & Bureika, G. (2015). Determination of the dynamic characteristics of freight wagons with various bogie. Transport, 30(1), 88-92.
    doi: 10.3846/16484142.2015.1020565. (in English)

  11. Fomin, O. V. (2015). Improvement of upper bunding of side wall of gondola cars of 12-9745 model. Metallurgical and Mining Industry, 7(1), 45-48. (in English)

  12. Hauser, V., Nozhenko, O. S., Kravchenko, K. O., Loulová, M., Gerlici, J., & Lack, T. (2017). Impact of wheelset steering and wheel profile geometry to the vehicle behavior when passing curved track. Manufacturing Technology, 17(3), 306-312. (in English)

  13. Lovska, A., & Ryibin, A. (2016). The study of dynamic load on a wagon-platform at a shunting collision. Eastern-European Journal of Enterprise Technologies, 3/7(81), 4-8. doi: 10.15587/1729-4061.2016.72054. (in English)

  14. Niezgoda, T., Krasoń, W., & Stankiewicz, M. (2015). Simulations of motion of prototype railway wagon with rotatable loading floor carried out in MSC Adams software. Journal of KONES. Powertrain and Transport, 19(4), 495-502. doi: 10.5604/12314005.1138622. (in English)

  15. Hauser, V., Nozhenko, O. S., Kravchenko, K. O., Loulová, M., Gerlici, J., & Lack, T. (2017). Proposal of a Mechanism for Setting Bogie Wheelsets to Radisl Position while Riding Along Track Curve. Manufacturing Technology, 17(2), 186-192. (in English)

  16. Danchenko, Y., Andronov, V., Kariev, A., Lebedev, V., Rybka, E., Meleshchenko, R., & Yavorska, D. (2017). Research into surface properties of disperses fillers based on plant raw materials. Eastern-European Journal of Enterprise Technologies, 5/12(89), 20-26. doi: 10.15587/1729-4061.2017.111350. (in English)

  17. Danchenko, Y., Andronov, V., Barabash, E., Obigenko, T., Rybka, E., Meleshenko, R., & Romin, A. (2017). Research of the intermolecular interactions and structure in epoxyamine composites with dispersed oxides. Eastern-European Journal of Enterprise Technologies, 6/12(90), 4-12.
    doi:
    10.15587/1729-4061.2017.118565. (in English)

  18. Tartakovskyi, E., Gorobchenko, O., & Antonovych, A. (2016). Antonovych Improving the process of driving a locomotive through the use of decision support systems. Eastern-European Journal of Enterprise Technologies, 5/3(83), 4-11. doi: 10.15587/1729-4061.2016.80198. (in English)


Стаття рекомендована до публікації д.т.н., проф. С. В. Мямліним (Україна);


Надійшла до редколегії: 05.12.2017

Прийнята до друку: 06.03.2018

doi: 10.15802/stp2018/130014 © О. В. Фомін, М. І. Горбунов, Н. С. Кочешкова, В. В. Коваленко, 2018