ISSN 2307–3489 (Print), ІSSN 2307–6666 (Online)

Наука та прогрес транспорту. Вісник Дніпропетровського
національного університету залізничного транспорту, 2018, № 1 (73)



ЕКСПЛУАТАЦІЯ ТА РЕМОНТ ЗАСОБІВ ТРАНСПОРТУ

УДК 625.032:629.424.015.2

С. А. КОСТРИЦЯ1*, Ю. Г. СОБОЛЕВСЬКА2*, А. Я. КУЗИШИН3*, А. В. БАТІГ4*

1*Каф. «Теоретична та будівельна механіка», Дніпропетровський національний
університет залізничного транспорту імені академіка В. Лазаряна,
вул. Лазаряна, 2, Дніпро, Україна, 49010, тел. +38 (056) 373 15 11,
ел. пошта
kossa571@gmail.com,
ORCID 0000-0002-7922-0975

2*Каф. «Фундаментальні дисципліни», Дніпропетровський національний
університет залізничного транспорту імені академіка В. Лазаряна
(Львівська філія), вул. І. Блажкевича, 12-а, Львів, Україна, 79052,
тел. +38 (032) 267 99 74,ел. пошта
sobolevskyu@gmail.com,
ORCID
0000-0002-8087-2014
3*
Лаб. «Залізнично-транспортні дослідження», Львівський науково-дослідний
інститут судових експертиз,
вул. Липинського, 54, Львів, Україна,
79024, тел. +38 (032) 231 76 13, ел.
пошта kuzyshyn1993@gmail.com,
ORCID 0000-0002-3012-5395
4*
Лаб. «Залізнично-транспортні дослідження», Львівський науково-дослідний
інститут судових експертиз,
вул. Липинського, 54, Львів, Україна,
79024, тел. +38 (032) 231 76 13, ел. пошта batigasha1992@gmail.com,

ORCID 0000-0003-1205-6004

МАТЕМАТИЧНА МОДЕЛЬ ВАГОНА

ДИЗЕЛЬ-ПОЇЗДА ДПК
р-2

Мета. У науковій роботі на основі механічної моделі вагона дизель-поїзда ДПКр-2 виробництва Крюківського вагонобудівного заводу потрібно побудувати математичну модель для вивчення динамічних явищ, які виникають при русі рухомого складу по рейковій колії як на прямих, так і на кривих ділянках. Методика. Для побудови математичної моделі складається система з 38 диференціальних рівнянь руху дизель-поїзда. При використанні в центральному ресорному підвішуванні пневматичної ресори її еквівалентна механічна модель представляється у вигляді вузла Кельвіна-Фойгта, який включає у себе паралельно розташований пружний елемент та елемент в’язкого тертя. Податливість рейкової колії враховується пружним та дисипативним елементами. При моделюванні приймалось, що колісна пара та взаємодіюча з нею маса колії рухаються безвідривно. В якості збурювання при дослідженні вимушених вертикальних та горизонтальних коливань прийняті геометричні нерівності лівої та правої рейок. Результати. На основі прийнятої механічної моделі вагона дизель-поїзда було побудовано математичну модель, яка складається з 38 диференціальних рівнянь руху. Наукова новизна. Вперше для вагона дизель-поїзда ДПКр-2 була розроблена його просторова математична модель із урахуванням особливостей взаємодії окремих елементів конструкції та можливості просадки рейкової колії. При побудові математичної моделі було запропоновано враховувати податливість рейкової колії пружним та дисипативним елементами. Практична значимість. Математична модель вагона дизель-поїзда буде використовуватися для вивчення динамічних явищ та визначення динамічних навантажень елементів конструкції у процесі експлуатації. Вивчення цих явищ необхідно для оптимального вибору схеми та параметрів обладнання рухомого складу, зокрема віброзахисних пристроїв (ресорного підвішування, горизонтальних, поздовжніх та поперечних зв’язків колісних пар із рамою візка, візка з кузовом), а також для зменшення динамічних сил, діючих на елементи конструкції рухомого складу та рейкову колію.

Ключові слова: математична модель; дизель-поїзд; система диференціальних рівнянь; пневматична ресора; ресорне підвішування

Вступ

Внаслідок взаємодії ходових частин із верхньою будовою колії у процесі експлуатації рухомого складу виникають взаємні переміщення елементів конструкції дизель-поїзда, а також динамічні сили та моменти, величини яких необхідно знати для забезпечення комфортних умов перевезення пасажирів та їх безпеки [1, 6].

Зусилля, що виникають, у значній мірі залежать від конструкції рухомого складу, стану його ходових частин та верхньої будови колії [8–11].

Основне завдання дослідження динамічних процесів у системі «рухомий склад–колія» полягає у визначенні оптимальних значень параметрів цієї системи, при яких значно знижуються амплітуди коливань і динамічні сили. Під параметрами розуміють габаритні розміри, маси, жорсткості в’язей. Для визначення оптимальних параметрів необхідно дослідити коливальні процеси рухомого складу і його окремих частин, встановити критерії для оцінки плавності ходу, стійкості проти сходження з рейок, вібрації елементів [12]. З точки зору динаміки механічна частина рухомого складу повинна відповідати таким вимогам:

  • забезпечувати стійкість руху екіпажу;

забезпечувати виконання умов міцності елементів екіпажу;

відповідати вимогам до якості механічної частини.

В роботі [5] була запропонована просторова механічна модель (розрахункова схема) дизель-поїзда, яка враховує основні властивості досліджуваного об’єкта.

Мета

На основі механічної моделі вагона (у вигляді вузла Кельвіна-Фойгта) дизель-поїзда ДПКр-2 виробництва Крюківського вагонобудівного заводу побудувати його математичну модель для вивчення динамічних явищ, які виникають при русі рухомого складу по рейковій колії як на прямих, так і на кривих ділянках.

Методика

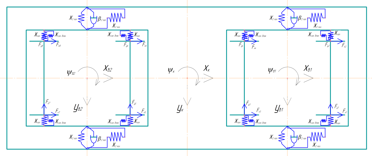
Об’єктом дослідження є вагон пасажирського дизель-поїзда ДПКр-2 виробництва Крюківського вагонобудівного заводу. Методом математичного моделювання на основі прийнятої розрахункової схеми необхідно побудувати модель руху поїзда. Механічна модель вагона дизель-поїзда надається на рис. 1–3.

Рис. 1. Механічна модель вагона дизель-поїзда ДПКр-2 в площині ZX

Fig. 1. Mechanical model of the diesel train DTKr-2 car in the plane ZX

Рис. 2. Механічна модель вагона дизель-поїзда ДПКр-2 в площині YX

Fig. 2. Mechanical model of the diesel train DTKr-2 car in the plane YX

Рис. 3. Механічна модель вагона дизель-поїзда ДПКр-2 в площині ZY

Fig. 3. Mechanical model of the diesel train DTKr-2 car in the plane ZY

Приймаємо наступні припущення:

кузов, рами візків і колісні пари розглядаються як абсолютно тверді тіла, тому що їх жорсткості значно перевищують жорсткості пружних елементів, що їх з’єднують;

центри мас цих твердих тіл співпадають із їх геометричними центрами;

  • розглядаються коливання підстрибування, бокового виносу, посмикування, галопування, бокового хитання, виляння;

  • величини жорсткостей і коефіцієнтів згасання рахуються однаковими для відповідних елементів ресорного підвішування різних візків і колісних пар;

  • пружні і дисипативні сили вважаються діючими по осі відповідного пружного і дисипативного елемента;

  • пружина і паралельний їй гідравлічний гасник коливань вважаються закріпленими в одній точці [4, 7];

  • не враховується жорсткість контакту «колесо–рейка»;

  • колісна пара та взаємодіюча з нею маса колії рухаються безвідривно;

  • як причини збурювання прийняті геометричні нерівності лівої і правої рейки.

Із наведених трьох проекцій механічної схеми видно, що коливання прийнятої для дослідження моделі вагона дизель-поїзда і рейкової колії можуть бути описані наступними узагальненими координатами: підстрибування , посмикування , бокового виносом , галопування , виляння , бокового хитанням кузова; підстрибування , посмикування , бокового виносу , галопування , виляння , бокового хитання рам візків ( номер рами візка); підстрибування , посмикування , бокового виносу , виляння , бокового хитання колісних пар ( – номер колісної пари).

Як зазначено у припущенні, центри рухомих систем координат розташовуються в центрах мас відповідних елементів розрахункової схеми. Враховуючи також припущення, що колісна пара і приведена до неї маса колії рухаються безвідривно, отримуємо 38 ступенів вільності.

Слід зазначити, що в реальних конструкціях пневматична ресора встановлюється на візок екіпажа, а зверху на неї опирається кузов. Тому в складених рівняннях буде враховано, що оболонку пневматичної ресори деформують коливання кузова і візка .

Запишемо активні пружні сили, діючі на кузов, візки та колісні пари, які виникають у вертикальному, поперечному та поздовжньому напрямках:

пружна вертикальна сила, яка виникає при деформації -ї пневматичної ресори під час коливань кузова;

пружна вертикальна сила, яка виникає при деформації оболонки -ї пневматичної ресори під час коливань -го візка;

пружна горизонтальна поперечна сила, яка виникає при деформації оболонки n-ї пневматичної ресори під час коливань кузова;

пружна горизонтальна поперечна сила, яка виникає при деформації оболонки n-ї пневматичної ресори під час коливань -го візка;

пружна горизонтальна поздовжня сила, яка виникає при деформації оболонки n-ї пневматичної ресори під час коливань кузова;

пружна горизонтальна поздовжня сила, яка виникає при деформації оболонки n-ї пневматичної ресори під час коливань -го візка;

пружна вертикальна сила, яка виникає при деформації -ї буксової пружини під час коливань -го візка;

пружна вертикальна сила, яка виникає при деформації -ї буксової пружини під час коливань -ї колісної пари ;

пружна горизонтальна поздовжня сила, яка виникає при деформації -го сален-блока під час коливань -го візка;

пружна горизонтальна поздовжня сила, яка виникає при деформації -го сален-блока під час коливань
-ої колісної пари;

пружна горизонтальна поперечна сила, яка виникає при деформації -ї буксової пружини від дії коливань -го візка;

пружна горизонтальна поперечна сила, яка виникає при деформації -ї буксової пружини під час коливань -ї колісної пари;

поздовжні та поперечні сили кріплення в контакті «колесо–рейка» [2, 3, 14–16].

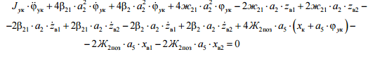
Для опису коливань під час побудови механічної моделі вагона дизель-поїзда, у центральній ступені ресорного підвішування якого використовуються пневматичні ресори з паралельно до них встановленими гідравлічними гасниками коливань, отримано математичну модель, яка складається з 38 диференціальних рівнянь другого порядку.

Результати

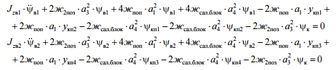
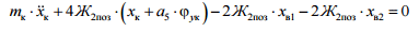
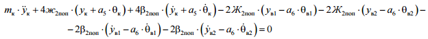
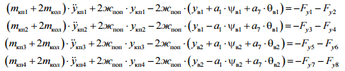
На основі розрахункової схеми була побудована математична модель вагона дизель-поїзда ДПКр-2.

Дана математична модель виглядає наступним чином:


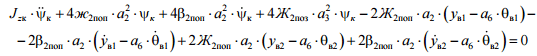
Кузов

Підстрибування

Галопування

Бокове хитання

Посмикування

Боковий винос

Виляння

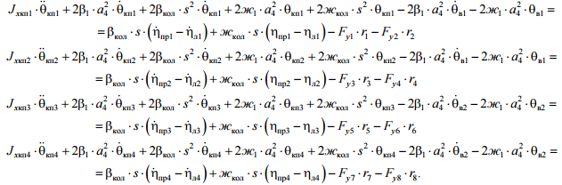
Візки № 1–2

Підстрибування

Посмикування



Боковий винос

Галопування

Бокове хитання

Виляння

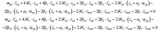
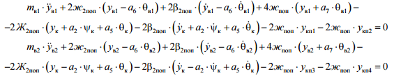
Колісна пара №1–4.

Підстрибування

Посмикування


Боковий винос

Бокове хитання


Виляння

.

Наукова новизна та практична
значимість

Вперше для вагона дизель-поїзда ДПКр-2 була розроблена його просторова математична модель із урахуванням особливостей взаємодії окремих елементів його конструкції та можливості просадки рейкової колії. При побудові математичної моделі було запропоновано враховувати податливість рейкової колії за допомогою пружних та дисипативних елементів.

Математична модель вагона дизель-поїзда буде використовуватися для вивчення динамічних явищ та визначення динамічних навантажень елементів конструкції у процесі експлуатації. Вивчення цих явищ необхідно для оптимального вибору схеми і параметрів обладнання рухомого складу, зокрема віброзахисних пристроїв (ресорного підвішування, горизонтальних, поздовжніх та поперечних в’язей колісних пар із рамою візка, візка з кузовом), а також для зменшення динамічних сил, які діють на елементи конструкції рухомого складу та рейкову колію.

Висновки

1. На основі прийнятої розрахункової схеми була побудована просторова математична модель вагона дизель-поїзда ДПКр-2 для вивчення динамічних явищ, які виникають у рухомому складі та рейковій колії.

2. Розрахунки математичної моделі будуть проводитися в комп’ютерному середовищі Maple.

3. Отримані результати будуть порівнюватися з результатами експериментальних досліджень.

4. Напрямками подальших досліджень є використання отриманої моделі для дослідження силової взаємодії рухомого складу з рейковою колією при його русі як на прямих, так і на кривих ділянках колії.



СПИСОК ВИКОРИСТАНИХ ДЖЕРЕЛ

  1. Динамика локомотивов : учеб. пособие / М. А. Ибрагимов, В. И. Киселев, В. А. Рамлов, А. В. Скалин. – Москва : РГОТУПС, 2005. – 128 с.

  2. Динамика установившегося движения локомотивов в кривых / С. М. Куценко, А. Э. Руссо, Э. П. Елбаев [и др.] ; под ред. С. М. Куценко. – Харьков : Высш. шк., 1975. – 132 с.

  3. Доронин, С. В. Движение многосекционных локомотивов в кривых малого радиуса : монография / С. В. Доронин. – Хабаровск : Изд-во ДВГУПС, 2009. – 220 с.

  4. Ибраев, Б. М. Параметры пневматического рессорного подвешивания рельсового автобуса для Казахстанской железной дороги : автореф. дис. … канд. техн. наук : 05.22.07 / Ибраев Бейбит Максутович ; Моск. гос. ун-т путей сообщения. – Москва, 2009. – 24 с.

  5. Кузишин, А. Я. Побудова механічної моделі вагона дизель-поїзда ДПКр-2 та її особливості / А. Я. Кузишин, А. В. Батіг // Наука та прогрес транспорту. – 2017. – № 6 (72). – С. 20–29.
    doi: 10.15802/stp2017/117936.

  6. Мазнев, А. С. Конструкции и динамика электрического подвижного состава : монография / А. С. Мазнев, А. М. Евстафьев. – Москва : ФГБОУ «Учеб.-метод. центр по образованию на ж.-д. трансп.», 2013. – 248 с.

  7. Рейдемейстер, А. Г. Зависимость свойств пневматической рессоры от пневматического сопротивления дросселя / А. Г. Рейдемейстер, А. В. Кивишева // Наука та прогрес транспорту. – 2016. – № 2 (62). – С. 157–164. doi: 10.15802/stp2016/67339.

  8. Сокол, Э. Н. Железнодорожно-транспортное происшествие и его механизм (Судебная экспертиза. Элементы теории и практики) : монография / Э. Н. Сокол. – Львов : ПАІС, 2011. – 376 с.

  9. Сокол, Э. Н. «Классический» сход с рельсов подвижного состава : метод. пособие / Э. Н. Сокол, А. А. Переймыбида, Д. А. Радкевич ; под ред. Э. Н. Сокола. – Киев : Феникс, 2006. – 168 с.

  10. Сокол, Э. Н. Крушения железнодорожных поездов (Судебная экспертиза. Элементы теории и практики) : монография / Э. Н. Сокол. – Киев : Феникс, 2007. – 355 с.

  11. Сокол, Э. Н. Сходы с рельсов и столкновения подвижного состава (Судебная экспертиза. Элементы теории и практики) / Э. Н. Сокол. – Киев : Транспорт України, 2004. – 386 с.

  12. Трофимович, В. В. Динамика электроподвижного состава : курс лекций / В. В. Трофимович. – Хабаровск : Изд-во ДВГУПС, 2004. – 94 с.

  13. Application of an inclined, spinning ball-on-rotating disc apparatus to simulate railway wheel and rail contact problems / Y. Xi, M. Björling, Y. Shi, J. Mao, R. Larsson // Wear. – 2017. – Vol. 374–375. – P. 46–53.doi: 10.1016/j.wear.2016.12.034.

  14. Kalker, J. J. On the rolling contact of two elastic bodies in the presence of dry friction : Ph.D. Thesis /
    J. J. Kalker ; University of Technology. – Delft, 1967. – 112 p.

  15. Non-steady state modelling of wheel–rail contact problem / A. Guiral, A. Alonso, L. Baeza, J. G. Giménez // Vehicle System Dynamics. – 2013. – Vol. 51. – Iss. 1. – P. 91–108. doi: 10.1080/00423114.2012.713499.

  16. Wheel–rail contact: experimental study of the creep forces–creepage relationships / A. Alonso, A. Guiral, L. Baeza, S. Iwnicki // Vehicle System Dynamics. – 2014. – Vol. 52. – Iss. sup1. – P. 469–487. doi: 10.1080/00423114.2014.907923.

С. А. КОСТРИЦА1*, Ю. Г. СОБОЛЕВСКАЯ2*, А. Я. КУЗЫШИН3*, А. В. БАТИГ4*

1*Каф. «Теоретическая и строительная механика», Днепропетровский национальный
университет железнодорожного транспорта имени академика В. Лазаряна,
ул. Лазаряна, 2, Днипро, Украина, 49010, тел. +38 (056) 373 15 11,
эл. почта
kossa571@gmail.com
, ORCID 0000-0002-7922-0975
2*Каф. «Фундаментальные дисциплины», Днепропетровский национальный
университет железнодорожного транспорта имени академика В. Лазаряна
(Львовский филиал), ул. И. Блажкевича, 12-а, Львов, Украина, 79052,
тел. (032) 267 99 74, эл. почта sobolevskyu@gmail.com,
ORCID 0000-0002-8087-2014
3*Лаб. «Железнодорожно-транспортные исследования», Львовский
научно-исследовательский институт судебных
экспертиз, ул. Липинского, 54, Львов, Украина,
79024, тел +38 (032) 231 76 13, эл. почта kuzyshyn1993@gmail.com
,
ORCID 0000-0002-3012-5395
4*Лаб. «Железнодорожно-транспортные исследования», Львовский
научно-исследовательский институт судебных
экспертиз, ул. Липинского, 54, Львов, Украина,
79024, тел +38 (032) 231 76 13, эл. почта batigasha1992@gmail.com,
ORCID 0000-0003-1205-6004



МАТЕМАТИЧЕСКАЯ МОДЕЛЬ ВАГОНА

ДИЗЕЛЬ-ПОЕЗДА
ДПКр-2

Цель. В научной работе на основе механической модели вагона дизель-поезда ДПКр-2 производства Крюковского вагоностроительного завода нужно построить его математическую модель для изучения динамических явлений, возникающих при движении подвижного состава по рельсовому пути как на прямых, так и на кривых участках. Методика. Для построения математической модели составляется система из 38 дифференциальных уравнений движения дизель-поезда. При использовании в центральном рессорном подвешивания пневматической рессоры ее эквивалентная механическая модель представляется в виде узла Кельвина-Фойгта, который включает в себя параллельно расположенный упругий элемент и элемент вязкого трения. Податливость рельсового пути учитывается упругим и диссипативным элементами. При моделировании принималось, что колесная пара и взаимодействующая с ней масса пути движутся безотрывно. В качестве возмущения при исследовании вынужденных вертикальных и горизонтальных колебаний приняты геометрические неровности левой и правой рельсов. Результаты. На основе принятой механической модели вагона дизель-поезда была построена математическая модель, которая состоит из 38 дифференциальных уравнений движения. Научная новизна. Впервые для вагона дизель-поезда ДПКр-2 была разработана его пространственная математическая модель с учетом особенностей взаимодействия отдельных элементов конструкции и возможности просадки рельсового пути. При построении математической модели было предложено учитывать податливость рельсового пути упругим и диссипативным элементами. Практическая значимость. Математическая модель вагона дизель-поезда будет использоваться для изучения динамических явлений и определения динамических нагрузок элементов конструкции в процессе эксплуатации. Изучение этих явлений необходимо для оптимального выбора схемы и параметров оборудования подвижного состава, в частности виброзащитных устройств (рессорного подвешивания, горизонтальных, продольных и поперечных связей колесных пар с рамой тележки, тележки с кузовом), а также для уменьшения динамических сил, действующих на элементы конструкции подвижного состава и рельсовый путь.

Ключевые слова: математическая модель; дизель-поезд; система дифференциальных уравнений; пневматическая рессора; рессорное подвешивание

S. A. Kostritsa1*, Y. H. Sobolevsʹka2*, A. Y. KUZYSHYN3*, А. V. BATIH4*

1*Каф. «Теоретическая и строительная механика», Днепропетровский национальный
университет железнодорожного транспорта имени академика В. Лазаряна,
ул. Лазаряна, 2, Днипро, Украина, 49010, тел. +38 (056) 373 15 11,
эл. почта
kossa571@gmail.com
, ORCID 0000-0002-7922-0975
2*Каф. «Фундаментальные дисциплины», Днепропетровский национальный
университет железнодорожного транспорта имени академика В. Лазаряна
(Львовский филиал), ул. И. Блажкевича, 12-а, Львов, Украина, 79052,
тел. (032) 267 99 74, эл. почта sobolevskyu@gmail.com,
ORCID 0000-0002-8087-2014
3*Лаб. «Железнодорожно-транспортные исследования», Львовский
научно-исследовательский институт судебных
экспертиз, ул. Липинского, 54, Львов, Украина,
79024, тел +38 (032) 231 76 13, эл. почта kuzyshyn1993@gmail.com
,
ORCID 0000-0002-3012-5395
4*Лаб. «Железнодорожно-транспортные исследования», Львовский
научно-исследовательский институт судебных
экспертиз, ул. Липинского, 54, Львов, Украина,
79024, тел +38 (032) 231 76 13, эл. почта batigasha1992@gmail.com,
ORCID 0000-0003-1205-6004



MATHEMATICAL MODEL OF DPKR-2

DYZEL TRAIN CAR

Purpose. In order to study the dynamic phenomena arising when rolling stock moves along a rail track both in the straight and curved track sections, the article is aimed to construct a mathematical model of DPKr-2 diesel train car. It will be constructed on the basis of mechanical model of this car of Kryukiv Railway Car Building Works. Methodology. To construct a mathematical model a system of 38 differential equations of the diesel train movement is formed. When it is used a pneumatic spring in the core stage of spring suspension, its equivalent mechanical mo-del is presented as Kelvin-Voigt knot. It includes a parallel elastic element and an element of viscous friction. Rail track flexibility is taken into account by elastic and dissipative elements. During simulation it was assumed that the wheel pair and the track weight interacting with it were moving intact. Geometric inequalities of the left and right rails were accepted as disturbances when studying the forced vertical and horizontal oscillations. Findings. On the basis of the adopted mechanical model of the diesel train car we constructed the mathematical model consisting of 38 differential equations of motion . Originality. For the first time, for the DPKr-2 diesel train car we developed its spatial mathematical model taking into account the features of the interaction of individual elements of its construction and the possibilities of the rail track depression. When constructing the mathematical model, it was proposed to take into account the flexibility of the rail track by elastic and dissipative elements. Originality. The mathematical model of the diesel train car will be used for studying the dynamic phenomena and determining the dynamic loads of structural elements during operation. The study of these phenomena is necessary for optimal choice of the scheme and parameters of rolling stock equipment, in particular antivibration devices (spring suspension, horizontal, longitudinal and transverse joints of wheel pairs with the bogie frame, bogie with the body), as well as for reduction of dynamic forces acting on the elements of rolling stock construction and rail track.

Keywords: mathematical model; diesel train; system of differential equations; pneumatic spring; spring suspension

REFERENCES

  1. Ibragimov, M. A., Kiselev, V. I., Ramlov, V. A., & Skalin, A. V. (2005). Dinamika lokomotivov: Uchebnoe posobie. Moscow: RGOTUPS. (in Russian)

  2. Kutsenko, S. M. (Ed.) (1975). Dinamika ustanovivshegosya dvizheniya lokomotivov v krivykh. Kharkiv: Vysshaya shkola. (in Russian)

  3. Doronin, S. V. (2009). Dvizhenie mnogosektsionnykh lokomotivov v krivykh malogo radiusa: Monografiya. Khabarovsk: DVGUPS Publisher. (in Russian)

  4. Ibraeyv, B. M. (2009). Parametry pnevmaticheskogo ressornogo podveshivaniya relsovogo avtobusa dlya Kazakhstanskoy zheleznoy dorogi. (Avtoreferat dissertatsii kandidata tekhnicheskikh nauk). Moscow: Moscow State University of Railway Engineering. (in Russian)

  5. Kuzyshyn, A. Y., & Batih, A. V. (2017). Construction of mechanical model of the diesel-train DPKr-2 car and its features. Science and Transport Progress, 6(72), 20-29. doi: 10.15802/stp2017/117936. (in Ukranian)

  6. Maznev, A. S., & Yevstafev, A. M. (2013). Konstruktsii i dinamika elektricheskogo podvizhnogo sostava: Monografiya. Moscow: FGBOU «Uchebno-metodicheskiy tsentr po obrazovaniyu na zheleznodorozhnom transporte». (in Russian)

  7. Reidemeister, O. H., & Kivisheva, A. V. (2016). Dependence of air spring parameters on throttle resistance. Science and Transport Progress, 2(62), 157-164. doi: 10.15802/stp2016/67339. (in English)

  8. Sokol, E. N. (2011). Zheleznodorozhno-transportnoe proisshestvie i ego mekhanizm (Sudebnaya ekspertiza. Elementy teorii i praktiki): Monografiya. Lvіv: PAІS. (in Russian)

  9. Sokol, E. N., Pereymybida, A. A., & Radkevich, D. A. (2006). «Klassicheskiy» skhod s relsov podvizhnogo sostava: Methodical manual. Kyiv: Feniks. (in Russian)

  10. Sokol, E. N. (2007). Krusheniya zheleznodorozhnykh poezdov (Sudebnaya ekspertiza. Elementy teorii i praktiki): Monografiya. Kyiv: Feniks. (in Russian)

  11. Sokol, E. N. (2004). Skhody s relsov i stolknoveniya podvizhnogo sostava (Sudebnaya ekspertiza. Elementy teorii i praktiki). Kyiv: Transport Ukrainy. (in Russian)

  12. Trofimovich, V. V. (2004). Dinamika elektropodvizhnogo sostava: Kurs lektsiy. Khabarovsk: DVGUPS. (in Russian)

  13. Björling, Y. Xi, M., Shi, Y., Mao, J., & Larsson, R. (2017). Application of an inclined, spinning ball-on-rotating disc apparatus to simulate railway wheel and rail contact problems. Wear, 374-385, 46-53.
    doi: 10.1016/j.wear.2016.12.034. (in English)

  14. Kalker, J. J. (1967). On the rolling contact of two elastic bodies in the presence of dry friction. Delft: University of Technology. (in English)

  15. Guiral, A., Alonso, A., Baeza, L., & Giménez, J. G. (2013). Non-steady state modeling of wheel-rail contact problem. Vehicle System Dynamics, 51(1), 91-108. doi: 10.1080/00423114.2012.713499. (in English)

  16. Alonso, A., Guiral, A., Baeza, L., & Iwnicki, S. (2014). Wheel-railcontact: experimental study of the creep forces-creepage relationships. Vehicle System Dynamics, 52(1), 469-487.
    doi: 10.1080/00423114.2014.907923. (in English)


Стаття рекомендована до публікації д.т.н., доц. М. О. Кузіним (Україна)


Надійшла до редколегії: 12.10.2017

Прийнята до друку: 9.01.2018

doi: 10.15802/stp2018/123079 © С. А. Костриця, Ю. Г. Соболевська, А. Я. Кузишин, А. В. Батіг, 2018