ISSN 2307–3489 (Print), ІSSN 2307–6666 (Online)

Наука та прогрес транспорту. Вісник Дніпропетровського
національного університету залізничного транспорту, 2017, № 4 (70)



нетрадиційні види транспорту. машини та механізми

УДК 621.923:629.4.027.4

Р. П. ПОГРЕБНЯК1*

1*Каф. «Прикладна механіка», Національна металургійна академія України,
пр. Гагаріна, 4, Дніпро, Україна, 49005, тел. +038 (056) 743 32 76,

+38 (095) 499 75 54, ел. пошта pogrebnyakk@ukr.net, ORCID 0000-0002-4685-1818

пружна нелінійна динаміка руху супорта

карусельного верстата для обробки

суцільнокатаних залізничних коліс

Мета. У роботі передбачається визначити умови утворення динамічної погрішності контурної механічної обробки різанням поверхні гребеня реального залізничного колеса чашковим різцем та запропонувати способи її зменшення. Методика. Задача вирішувалася шляхом створення нелінійної динамічної розрахункової пружної моделі з подальшим моделюванням її навантаження зовнішніми силовими факторами, значення яких були отримані аналітичними та експериментальними методами. Розрахункова схема зрівноваженого супорта являє собою нелінійну двомасову систему, динамічна модель повзуна – одномасова, з одним ступенем волі. В основу математичного опису технологічних навантажень покладені результати заводських експериментів, а також аналітичні узагальнення, отримані методом зіставлення декількох схем формоутворення гребеня колеса. Аналітичне визначення складових сили різання враховує зміни кінематичних параметрів режиму різання при обробці профілю фасонним інструментом. Результати. При обробці гребеня колеса радіальна й осьова складові сили різання, що навантажують супорт і повзун верстата, знакозмінні. Існують умови, при яких у приводі подачі супорта й повзуна розкриваються зазори, причому це можливо за будь-якої геометрії профілю колеса. Особливості навантаження супорта й повзуна, що формують гребінь реального колеса (з бігармонійним припуском), ведуть до виникнення ділянок обробки, на яких відбувається багаторазове розкриття зазорів у передачах приводів подач та збільшується помилка формоутворення. Динамічна система приводу повзуна досить жорстка та високочастотна і чутлива до наявності зазорів. Наукова новизна. Автором створені пружні нелінійні динамічні моделі супорта і повзуна. Складені у відповідності моделі, вирішені рівняння руху мас та навантаження зв’язків. З’ясовані умови стійкого руху. Практична значимість. Моделюванням визначені якісні й кількісні умови, при яких нестійкий рух супорта та повзуна з перекладанням зазорів не відбувається: для цього рекомендовано змінити вагу противаги.

Ключові слова: залізничне колесо; верстати для обробки залізничних коліс; динамічні навантаження; динамічна точність; зазори; коливання

Вступ

Технологія виробництва залізничних коліс гарячою прокаткою не дозволяє одержати виріб достатньої точності й шорсткості поверхні безпосередньо з прокатного стану, а зовнішні шари прокатаного обіду зневуглецьовані і насичені неметалічними включеннями. Тому механічній обробці прокатаної заготовки обов’язково підлягає поверхня катання, гребінь, обід із внутрішньої й зовнішньої сторони колеса, а також, розточується отвір у маточині, при цьому собівартість механічної обробки складає більш ніж 50 %. Операційна технологія механічної обробки на кожному підприємстві індивідуальна, враховує можливості встановленого устаткування та технічні вимоги до отриманої продукції. Крім того, технологія ця різна для обробки різних коліс у рамках одного підприємства. Зрозуміло, фінішна обробка термічно обробленого колеса дозволяє усунути геометричних похибок форми й розмірів, але скорочує продуктивність верстатів і значно збільшує витрату різального інструменту. Твердість готового колеса постійно росте й досягає вже величини 400 НВ, тому для чистової механічної обробки загартованих коліс необхідні спеціальні верстати й інструмент. Колеса швидкісного рухливого складу або колеса з особливими вимогами після термообробки начисто обточуються по всій поверхні.

Основу технологічного потоку масової механічної обробки становлять спеціальні колесотокарні верстати карусельного типу. В основному застосовують важкі одне- або двостоєчні карусельні верстати із двома- чотирма супортами, які оснащені електрокопіювальними пристроями або ПЧПК та зрівноваженими важкими боковими супортами

Найбільш сучасні верстати виробляють провідні європейські компанії: «Hegenscheіdt – MDF» (Німеччина), «Kreven», «Dorries Scharmann» (Великобританія), «Седин» (Росія), «Rafamet» (Польща), «Morando», «Marіo Carnaghі» (Італія), «Sculfort» (Франція), «TOSHULІn» (Чехія), «BOST» (Іспанія).

Одним з найважливіших показників динамічної якості верстатів є точність обробки, що визначається відносним зсувом інструмента й деталі по нормалі до обробленої поверхні. Точність переміщення супорта характеризується величиною помилки або відхиленням дійсної координати робочого органа верстата від заданої. У важконавантажених верстатах вирішальний вплив на точність обробки складають динамічні й пружні похибки. «При обробці фасонних поверхонь змінної кривизни домінуюча складова динамічної похибки копіювання викликається відносним зсувом щупа й інструмента в площині профілюючого руху» [5, стор. 117].

Основні роботи з динаміки металорізальних верстатів В. А. Кудінова, B. C. Gegg, В. Э. Пуша, С. М. Кожевнікова, С. С. Кедрова, C. Brecher та ін. у значній мірі присвячені визначенню й оцінці динамічної точності обробки. питання динамічної точності формоутворення фасонних поверхонь освітлені в роботах українських вчених В. К. Кулика, Ю. В Петракова, В. Н. Попова, М. Л Орликова, В. Б. Струтинського та ін. Удосконалювалися методики розрахунків верстатів на змушені коливання при обробці фасонних поверхонь [3, 8, 9, 13]. Ці методики загального характеру розроблялися для універсальних верстатів із широким діапазоном забезпечення режимів обробки й без обліку специфіки навантаження, яка властива спеціальним верстатам.

У роботі [4] виконаний аналіз нестійкості гальмування врівноваженого супорта, коли час гальмування механічної системи більше часу гальмування приводу, що при наявності зазору приводить до довільного позиціювання супорта в його зоні. У режимі обробки деталі відрив супорта від тягнучого органа знижує точність одержуваного розміру. Питанням моделювання нелінійних рівнянь динаміки металорізальних верстатів, у тому числі в режимі нестаціонарного навантаження, присвячені роботи [3, 6–9, 11, 12].

Проблема. В умовах виробництва на металургійному підприємстві та яскраво вираженої нестаціонарності динамічного навантаження при обробці окремих ділянок колеса нерідко спостерігаються значні відхилення геометрії отриманої поверхні від заданої, відзначені також «врізи» в поверхню гребеня, що призводить до відбраковування коліс і повторному переточуванню. Такого роду помилки копіювання обумовлені низькою динамічною точністю переміщення та позиціювання супорта і повзуна верстата. Нераціональність схеми обробки проявляється в тому, що складові сили різання супортів спрямовані на відрив колеса від планшайби й супортів від напрямних. Ця обставина істотно впливає на утворення підвищених зазорів і значно знижує стійкість напрямних і ходових гвинтів. Однієї з головних причин невисокої точності обробки є недостатній облік специфічних особливостей динамічних процесів при формоутворенні профілю за обраною схемою обробки.

Мета

Під дією сил різання вимушені коливання створюють інструмент і щуп, які закріплені на одному супорті. пружна деформація супорта впливає на взаємне розташування щупа і копіра: при досягненні величини більшій, чим зона нечутливості щупа (адаптера) подається помилковий сигнал на переміщення супорта, що й викликає похибку. Тому абсолютна деформація супорта визначає динамічну похибку копіювання. Визначенню умов утворення динамічної похибки обробки поверхні гребеня реального залізничного колеса й способів її зменшення присвячене нижченаведене дослідження.

Методика

Рішення поставленого завдання здійснюється за допомогою аналізу рівнянь руху методами інженерної динаміки машин і імітаційного моделювання приводу подач супорта верстата, що обробляє фасонну поверхню гребеня залізничного колеса.

Результати

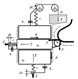
На рис. 1 представлена динамічна модель зрівноваженого бічного супорта колесообробного верстата. Супорт (m1+m3) і повзун m3 переміщуються під дією погодженого кінематичного збурювання ξy(τ) і ξx(τ). Супорт зрівноважений через канат с2 противагою m2; с1 і с3 відповідно наведені жорсткості ланцюгів подач супорта й повзуна. Кінематичне збурювання передається на супорт і повзун через самогальмівні передачі «гвинт–гайка ковзання» з наведеними зазорами Δx и Δy. Розрахункова схема врівноваженого супорта являє собою нелінійну двомасову систему. динамічна модель повзуна – одномасова з одним ступенем вільності.

Після виділення коливальної складової переміщення заміною змінних: x1=X1–ξx, x2=X2–ξx, y=Y–ξy, де ξx=Sx·τ, ξy=Sy·τ, – рух маси супорта (m1+m3) і противаги m2 опишеться системою нелінійних рівнянь:

Рівняння руху повзуна:

.

Тут: Sx, Sy – стала швидкість подачі в режимі обробки; kx1, ky, kx2 – коефіцієнти непружного опору в приводі, напрямних в канаті вузла зрівноважування; γx і γy – коефіцієнти нелінійної характеристики зв’язків (зазор); Px, Py, Fx, Fy – складові сили різання та сили тертя в напрямних ковзання; Мт/r – сила тертя в системі відхиляючих блоків, r – радіус підшипника блоку.

В основу математичного опису технологічних навантажень покладені результати заводських експериментів, спостережень за поводженням супортів, а також аналітичні узагальнення, отримані в результаті зіставлення декількох схем формоутворення гребеня колеса. Аналітичне визначення складових сили різання виконано з урахуванням зміни кінематичних параметрів режиму різання при фасонній обробці профілю фасонним інструментом [14] (все у кН):

,

Рис. 1. Динамічна модель супортів колесообробних верстатів (m1=1716 кг; m2=2050 кг; m3=500 кг; с1=174·106 Н/м; с2=4,27·106 Н/м; с3=570·106 Н/м; kx1=ky=201400 кг/с; kx2=7800 кг/с; Δx=Δy=0,150 мм)

Fig. 1. Dynamical model of the supports of wheel processing machines (m1=1716 kg; m2=2050 kg;
m3=500 kg; c1=174.106 N/m; c2=4.27x106 N/m;
c3=570.106 N/m; kx1=ky=201400 kg/s;
kx2=7800 kg/s; Δxy=0.150 mm)

Тут позначено: tп – наведена глибина різання, мм; Sк – подача на криволінійній опуклій радіусній ділянці профілю, об/хв; V – швидкість різання, м/хв; – кут напрямку сходу стружки; α – кут нахилу дотичній до профілю (еквідистанти); t – глибина різання, мм; R – радіус кола еквідистанти, що описує профіль, мм; r – радіус інструмента, мм; D – діаметр колеса, м; y – ріст висоти гребеня по середній величині припуску, м; n – частота обертання планшайби, об/хв; х0, у0 – координати центра кола еквідистанти, що описує профіль; Rо – її радіус.

Сили тертя і опору пересуванню задаються статичними та визначають за залежними:

;

Моделювання навантаження верстата при обробці профілю за ДСТУ ГОСТ 10761:2016 [4] здійснювалось засобами MathCad.

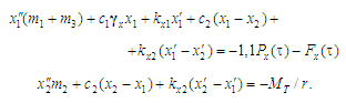
Головна складова сили різання Рz зростає та набуває максимуму в галтелі переходу із гребеня до поверхні кочення колеса, а при обробці відновлених наплавленням залізничних коліс припуск на обробку повинен бути ще збільшений на 1 мм [2].

Складові Ру і Рх (рис. 2) визначають навантаженість повзуна й супорта відповідно верстата. Рух супорта на ділянці після вершини гребеня відбувається під дією постійно зменшуваної складової Рx, а за умови –Px = Fx (наприкінці обробки) створюються умови для розкриття зазору. Дотримання цієї умови залежить від геометрії профілю, стабільності сили тертя, величини й характеру зміни припуску. Рух супорта не реверсивний, але складова Рх наприкінці обробки змінює знак, що при значній її величині приводить до розкриття зазору. рух повзуна на первісному етапі обробки відбувається під дією поступово зменшуваної сили Рy, а після зміни знака складової рух без розкриття зазору в передачі «гвинт–гайка» здійснюється доти, поки Рy не перевершить силу Fy тертя на основній і бічній напрямних повзуна.

Рис. 2. Розрахункова схема (а) і графіки (б, в) зміни складових сили різання й сил тертя при обробці фасонної поверхні гребеня колеса за
ДСТУ ГОСТ 10761:2016 в положенні
«гребенем донизу»

Fig. 2. Calculation scheme (a) and graphs (b, c) of the force components of the cutting and frection forces when processsing the profiled surface of the wheel flange according to the State Standard 10761: 2016 in the position «flange down»

Несприятливий характер зміни складових Рх і Ру додатково погіршується змінністю припуску, що спричинений ексцентриситетом установки «колеса – заготовки» на планшайбі (t1=0 – 1,5 мм), а також наявністю огранювання колеса (t2=1,3–1,6 мм) [9]. З урахуванням ексцентриситету установки глибина різання змінюється за залежністю:

,

де t0 – середня глибина різання відрізка профілю;
t2 – амплітуда хвилеутворювання (огранювання);
ω – частота обертання планшайби, с
-1; τ – поточний час, с;
φ – фазовий зсув між ексцентриситетом і хвилеутворюванням.
Обидві гармонійні складові складаються на поверхні колеса, і коливання припуску носить бігармонійний характер.

На рис. 3, а представлений фрагмент моделювання пружного переміщення супорта (m1+m3) на ділянці, де створюються умови розкриття зазору в приводі подачі. Спостерігається значний ріст амплітуди коливального переміщення супорта з періодичністю, що втричі перевищуэ зворотну. За даних умов амплітуда незатухаючих коливань перевищує настроювання зони нечутливості адаптера, і система керування дає команди на вмикання або вимикання подачі за цією координатою із частотою вибірки зазору. У результаті на поверхні гребеня залізничного колеса з’являються «врізи» й опуклості, що викликає необхідне переточування колеса.

При русі повзуна m3 у приводі його подачі також виникають умови для формування зазору (рис. 3, б) і відбувається це до реверса подачі.

Рис. 3. Нестійкий рух:
а – супорта та противаги на ділянці розкриття зазору
в приводі вертикальної подачі;
б – повзуна на ділянці розкриття зазору в приводі горизонтальної подачі
(
t1=0,5 мм; t2=1,5 мм; φ=π/3 р)

Fig. 3. Unstable motion:
aof support and counterweight in the section for opening the gap in the vertical drive; bof slide at the section of the the gap opening in the drive of horizontal feed (t1= 0.5 mm,
t2=1.5 mm, φ=π/3 r)

На ділянці профілю, де створюються умови для рівності –Py=Fy, відбувається вибірка зазору в передачі, а змінний характер сил різання і тертя робить вибірку зазору багаторазовою й швидко збільшує зазор. Динамічна система приводу повзуна досить жорстка та високочастотна, тому чутлива до вибірки зазору. Режим нестійкого руху з періодичною вибіркою зазору при русі супорта можна вимикнути, якщо зменшити вагу противаги m2 для того, щоб збільшити силу Fx. Це трохи збільшить статичне навантаження на ходовий гвинт, але забезпечить у нереверсивній за цією координатою передачі однобічне розташування зазору й тим самим вимкнуть його вибірку.

На рис. 4, а представлений результат моделювання руху супорта зі зменшеною до необхідного масою противаги. Як видно, нестійкий режим руху з розкриттям зазору в приводі відсутній. Вимкнути вибірку зазору в реверсивному приводі руху повзуна неможливо, для забезпечення достатньої точності одержуваного профілю передачу «гвинт – гайка» і напрямні ковзання повзуна необхідно оснастити пристроєм постійної вибірки зазору або його регулюванням до величини, що не перевищує настроювання зони нечутливості адаптера.

На рис. 4, б представлений результат моделювання проходження зони вибірки зазору при зменшеній його величині.

Рис. 4. Стійкий рух:
а – супорта зі зменшеною масою противаги в приводі вертикальної подачі; бповзуна зі зменшеним зазором
у приводі горизонтальної подачі

Fig. 4. Stable motion:
a – of the support with a reduced weight of counterweight
in the drive
of vertical feed; b of slide with reduced gap
in the drive of horizontal
feed

Наукова новизна та практична
значимість

Створені пружні нелінійні динамічні моделі супорта і повзуна. Складені, відповідно, моделі, і вирішені рівняння руху мас та навантаження зв’язків.

Моделюванням визначені якісні й кількісні умови, при яких нестійкий рух супорта і повзуна з перекладанням зазорів не відбувається. Рекомендовано змінити масу противаги.

Висновки

При обробці гребеня колеса радіальна й осьова складові сили різання, що навантажують супорт і повзун верстата, знакозмінні.

Існують умови, при яких у приводі подачі супорта й повзуна розкриваються зазори, причому це можливо при будь-якої геометрії профілю колеса.

Особливості навантаження супорта й повзуна, що формують гребінь реального (з бігармонійним припуском) колеса ведуть до виникнення ділянок обробки, на яких відбувається багаторазове розкриття зазорів у передачах приводів подач і збільшується помилка формо-утворення.

Визначені якісні та кількісні умови при обробці різних профілів колеса, за якими нестійкий рух з перекладанням зазорів в приводах супорта та повзуна не відбувається.


СПИСОК ВИКОРИСТАНИХ ДЖЕРЕЛ

  1. Васильев, Г. Н. Автоматизация проектирования металлорежущих станков / Г. Н. Васильев. – Москва : Машиностроение, 1987. – 280 с.

  2. Гайворонський, О. А. Умови забезпечення якості відновлених наплавленням залізничних коліс /
    О. А. Гайворонський // Наука та прогрес транспорту. – 2016. – № 5 (65). – С. 136–151.

    doi: 10.15802/stp2016/84078.

  3. ДСТУ ГОСТ 10761:2016. Колеса суцільнокатані. Технічні умови. – На заміну ГОСТ 10761-2004 та ГОСТ 9036-88. – Чинний від 2016–09–01. – Київ : Держспоживстандарт України, 2016. – 15с.

  4. Кедров, С. С. Колебания металлорежущих станков / С. С. Кедров. – Москва : Машиностроение, 1978. – 199 с.

  5. Кулик, В. К. Прогрессивные процессы обработки фасонных поверхностей / В. К. Кулик, Ю. В. Петраков, В. В. Иотов. – Київ : Техніка, 1987. – 176 с.

  6. Левин, А. И. Математическое моделирование в исследованиях и проектировании станков / А. И. Левин. – Москва : Машиностроение, 1978. – 184 с.

  7. Петраков, Ю. В. Контурная обработка фасонных поверхностей деталей / Ю. В. Петраков, И. Г. Федоренко // Металлорежущие станки : респ. межвед. науч.-техн. сб. – Киев, 1984. – Вып. 12. – С. 39–42.

  8. Петраков, Ю. В. Моделирование гашения колебаний при токарной обработке / Ю. В. Петраков // Вісн. нац. техн. ун-ту України «Київський політехнічний інститут». Серія: Машинобудування : зб. наук. пр. / Нац. техн. ун-т України «Київ. політехн. ін-т». – Київ, 2016. – № 2. – С. 119–124.

  9. Погребняк, Р. П. Экспериментальное исследование формы прокатанной заготовки железнодорожного колеса / Р. П. Погребняк // Производство проката. – 2012. – № 2. – С. 29–33.

  10. Струтинський, В. Б. Вібраційні процеси механічної обробки : монографія / В. Б. Струтинський,
    І. В. Перфілов // Нац. техн. ун-т України «Київ. політехн. ін-т». – Київ, 2015. – 579
    c.

  11. Струтинський, В. Б. Математичне моделювання процесів та систем механіки / В. Б. Струтинський. – Житомир : ЖІТІ, 2001. – 612 с.

  12. Gegg, B. C. Machine Tool Vibrations and Cutting Dynamics/ B. C. Gegg, C. S. Suh, A. Luo. – New York : Springer, 2011. 179 p. doi: 10.1007/978-1-4419-9801-9.

  13. Multipoint Constraints for Modeling of Machine Tool Dynamics / С. Brecher, М. Fey, С. Tenbrock,
    М. Daniels //
    Journal of Manufacturing Science and Engineering. – 2016. – Vol. 138 (5). – P. 117124.
    doi: 10.1115/1.4031771.

  14. Pogrebnyak, R. Load and shaping precision of a complex railroad-wheel surface / R. Pogrebnyak // Russian engineering research. – New York : Allerton Press, Inc., 2012. – T. 32, No. 4. – P. 407–411.
    doi: 10.3103/S1068798X12040211.

Р. П. ПОГРЕБНЯК1*

1*Каф. «Прикладная механика», Национальная металлургическая академия Украины,
пр. Гагарина, 4, Днипро,Украина, 49005, тел. +038 (056) 743 32 76,
+38 (095) 499 75 54, эл. почта pogrebnyakk@ukr.net, ORCID 0000-0002-4685-1818

УПРУГАЯ НЕЛИНЕЙНАЯ ДИНАМИКА ДВИЖЕНИЯ

СУППОРТОВ КАРУСЕЛЬНОГО СТАНКА

ДЛЯ ОБРАБОТКИ ЖЕЛЕЗНОДОРОЖНЫХ КОЛЕС

Цель. В работе предполагается определить условия образования динамической погрешности контурной механической обработки резанием поверхности гребня реального железнодорожного колеса чашечным резцом и предложить способы ее уменьшения. Методика. Задача решалась путем создания нелинейной динамической расчетной упругой модели с последующим моделированием ее нагружения внешними силовыми факторами, значение которых были получены аналитическим и экспериментальным методами. Расчетная схема уравновешенного суппорта представляет собой нелинейную двухмассовую систему, динамическая модель ползуна – одномассовая, с одной степенью свободы. В основу математического описания технологических нагрузок положены результаты заводских тестов, а также аналитические обобщения, полученные методом сопоставления нескольких схем формообразования гребня колеса. Аналитическое определение составляющих силы резания учитывает изменения кинематических параметров режима резания при обработке профиля фасонным инструментом. Результаты. При обработке гребня колеса радиальная и осевая составляющие силы резания, нагружающие суппорт и ползун станка, знакопеременны. Существуют условия, при которых в приводе подачи суппорта и ползуна раскрываются зазоры, причем это возможно при любой геометрии профиля колеса. Особенности нагрузки суппорта и ползуна, формирующие гребень реального колеса (с бигармоническим припуском), ведут к возникновению участков обработки, на которых происходит многократное раскрытие зазоров в передачах приводов подач и увеличивается ошибка формообразования. Научная новизна. Автором созданы упругие нелинейные динамические модели суппорта и ползуна. Составлены в соответствии модели, решены уравнения движения масс и нагружения связей. Определены условия устойчивого движения. Практическая значимость. Моделированием определены качественные и количественные условия, при которых неустойчивое движение суппорта и ползуна с перекладыванием зазоров не происходит: для этого рекомендуется изменить вес противовеса.

Ключевые слова: железнодорожное колесо; станки для обработки железнодорожных колес; динамические нагрузки; динамическая точность; зазоры; колебания

R. P. POGREBNYAK1*

1*Dep. «Applied Mechanics», National Metallurgical Academy of Ukraine,
Gagarin Av., 4, Dnipro, Ukraine, 49005,
tel. +038 (056) 743 32 76,
+38 (095) 499 75 54, e-mail pogrebnyakk@ukr.net, ORCID 0000-0002-4685-1818

ELASTIC NONLINEAR DYNAMICS OF MOTION

OF
SLIDE OF VERTICAL TURNING MACHINE

FOR WORKING OF SOLID-ROLLED RAILWAY WHEELS

Purpose. The article is aimed to determine the conditions of a dynamic error formation of contour machine cutting of surface of the real railway wheel flange by the cup-tip tool and propose the ways of reducing the errors. Methodology. The problem was solved by the creation of dynamic nonlinear and elastic calculation model with further modeling of its loading by the external force factors. The values of forces were obtained by analytical and experimental methods. The calculation scheme of the equilibrium support is a nonlinear two-mass system, a dynamic model of slide - single-mass with one degree of freedom. The basis of the mathematical description of technological loads is the results of factory experiments, as well as analytical generalizations obtained as a result of the comparison of several schemes of the formation of the wheel flange. Analytical determination of the components of the cutting force takes into account the changes in the kinematic parameters of the cutting mode when the profiling is done using a shaped tool. Findings. During processing of the wheel flange the radial and axial components of the cutting forces that load slide and slide-block of machine are alternating. There are conditions in drive of slide and slide-block when the gaps appear, and it is possible at any profile geometry of the wheel. The peculiarities of loading of the slide and slide-block forming a flange (with biharmonic allowance) cause the occurrence of the processing areas where the gaps increase many times in drives of mechanical transmissions and error of forms increases. The dynamic system of the drive is quite tough and high-frequency and it is sensitive to the presence of gaps. Originality. The author created elastic nonlinear dynamic models of support and slide. In accordance with the model it is written and solved equations of motion of the masses and loading of the connections. The conditions of the stable motion were found. Practical value. It is determined by modeling the qualitative and quantitative terms of stable motion without gaps. It is recommended to change the weight of counterweight.

Keywords: railway wheel; railway wheel processing machines; dynamic loading; dynamic precision; gaps; vibrations

REFERENCES

  1. Vasilev, G. N. (1987). Avtomatizatsiya proyektirovaniya metallorezhushchikh stankov. Moscow: Mashinostroyeniye.

  2. Haivoronskyi, O. A. (2016). Terms of ensuring quality of the railway wheels built up by welding. Science and Transport Progress, 5(65), 136-151. doi:10.15802/stp2016/84078

  3. Kolesa sutsilnokatani. Tekhnichni umovy, DSTU HOST 10761:2016 (2016).

  4. Kedrov, S. S. (1978). Kolebaniya metallorezhushchikh stankov. Moscow: Mashinostroyeniye.

  5. Kulik, V. K., Petrakov, Y. V., & Iotov, V. V. (1987). Progressivnyye protsessy obrabotki fasonnykh poverkhnostey. Kyiv: Tekhníka.

  6. Levin, A. I. (1978). Matematicheskoye modelirovaniye v issledovaniyakh i proyektirovanii stankov. Moscow: Mashinostroyeniye.

  7. Petrakov, Y. V., & Fedorenko, I. G. (1984). Konturnaya obrabotka fasonnykh poverkhnostey detaley. Metallorezhushchiye stanki, 12, 39-42.

  8. Petrakov, Y. (2016). Simulation of chatter suppression for lathe machining. Journal of Mechanical Engineering of the National Technical University of Ukraine «Kyiv Polytechnic Institute», 2(77), 119-124.

  9. Pogrebnyak, R. P. (2012). Experimental investigation of rolled blank shape for railway wheel. Proizvodstvo prokata, 2, 29-33.

  10. Strutynskyi, V. B., & Perfilov, I. V. (2015). Vibratsiini protsesy mekhanichnoi obrobky [Monograph]. Kyiv: National Technical University of Ukraine «Kyiv Polytechnic Institute».

  11. Strutynskyi, V. B. (2001). Matematychne modeliuvannia protsesiv ta system mekhaniky. Zhytomyr: Zhytomyr Institute of Engineering and Technology.

  12. Gegg, B. C., Suh, C. S., & Luo, A. C. J. (2011). Machine Tool Vibrations and Cutting Dynamics. New York: Springer-Verlag. doi:10.1007/978-1-4419-9801-9

  13. Brecher, C., Fey, М., Tenbrock, С., & Daniels, М. (2016). Multipoint Constraints for Modeling of Machine Tool Dynamics. Journal of Manufacturing Science and Engineering, 138(5), 117-124. doi:10.1115/1.4031771

  14. Pogrebnyak, R. P. (2012). Load and shaping precision of a complex railroad-wheel surface. Russian engineering research, 32(4), 407-411. doi:10.3103/S1068798X12040211


Стаття рекомендована до друку д.т.н., проф. С. В. Ракшею (Україна); д.т.н.,
проф. І. В. Добровим (Україна)


Надійшла до редколегії: 17.03.2017

Прийнята до друку: 22.06.2017


doi 10.15802/stp2017/109606 © Р. П. Погребняк, 2017